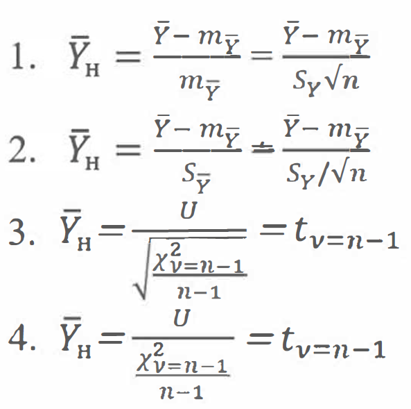
Ответ на вопрос №195915: В законе распределения среднего, если дисперсия не известна и my известно, нормировка принимает вид: В законе распределения среднего, если дисперсия не известна и my - Ответ на вопрос №195915В законе распределения среднего, если дисперсия не известна и my - Ответ на вопрос №195915
2024-11-182024-11-18СтудИзба
В законе распределения среднего, если дисперсия не известна и my - Ответ на вопрос №195915
-47%
Вопрос
В законе распределения среднего, если дисперсия не известна и my известно, нормировка принимает вид:

























