Ответ на вопрос №717835: Чему равен определитель матрицы 8 нет верного ответа 6 1 2 Чему равен определитель матрицы 8 нет верного ответа 6 1 2 - Ответ на вопрос №717835Чему равен определитель матрицы 8 нет верного ответа 6 1 2 - Ответ на вопрос №717835
 2025-06-042025-06-04СтудИзба
 
Чему равен определитель матрицы 8 нет верного ответа 6 1 2 - Ответ на вопрос №717835
Вопрос
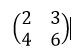
Чему равен определитель матрицы
- 8
 - нет верного ответа
 - 6
 - 1
 - 2
 
Ответ
Этот вопрос в коллекциях
-61%
   


















