Ответ на вопрос №330640: Чему равны корни системы уравнений: (1, 0, 0) (1, 1, 1) (0, 0, 1) (1, 0, 1) Чему равны корни системы уравнений: (1, 0, 0) (1, 1, 1) (0, 0, 1) - Ответ на вопрос №330640Чему равны корни системы уравнений: (1, 0, 0) (1, 1, 1) (0, 0, 1) - Ответ на вопрос №330640
2025-04-072025-04-07СтудИзба
Чему равны корни системы уравнений: (1, 0, 0) (1, 1, 1) (0, 0, 1) - Ответ на вопрос №330640
-32%
Вопрос
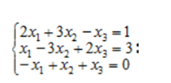
Чему равны корни системы уравнений:
- (1, 0, 0)
- (1, 1, 1)
- (0, 0, 1)
- (1, 0, 1)
Ответ
Этот вопрос в коллекциях

Гарантия сдачи без лишних хлопот! ✅🎓 Ответы на тесты по любым дисциплинам, базы вопросов, работы и услуги для Синергии, МЭИ и других вузов – всё уже готово! 🚀 🎯📚 Гарантия качества – или возврат денег! 💰✅


















