Ответ на вопрос №936465: Функция полезности потребителя задана 𝒖(𝒙, 𝒚) = Какую долю занимает товар y в доходе потребителя? 0,25 1 0,75 0,5 Функция полезности потребителя задана 𝒖(𝒙, 𝒚) = Какую долю занимает - Ответ на вопрос №936465Функция полезности потребителя задана 𝒖(𝒙, 𝒚) = Какую долю занимает - Ответ на вопрос №936465
2025-08-162025-08-16СтудИзба
Функция полезности потребителя задана 𝒖(𝒙, 𝒚) = Какую долю занимает - Ответ на вопрос №936465
Вопрос
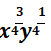
Функция полезности потребителя задана 𝒖(𝒙, 𝒚) =
- 0,25
- 1
- 0,75
- 0,5
Ответ
Этот вопрос в коллекциях

Гарантия сдачи без лишних хлопот! ✅🎓 Ответы на тесты по любым дисциплинам, базы вопросов, работы и услуги для Синергии, МЭИ и других вузов – всё уже готово! 🚀 🎯📚 Гарантия качества – или возврат денег! 💰✅