Ответ на вопрос №37735: Укажите все правильные ответы. Представлено выражение, которое применяют для ... увеличения точности измерения уменьшения случайной составляющей погрешности уменьшения систематической составляющей погрешности Укажите все правильные ответы. Представлено выражение, которое - Ответ на вопрос №37735Укажите все правильные ответы. Представлено выражение, которое - Ответ на вопрос №37735
2024-03-092024-03-09СтудИзба
Укажите все правильные ответы. Представлено выражение, которое - Ответ на вопрос №37735
-47%
Вопрос
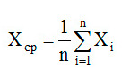
Укажите все правильные ответы.Представлено выражение, которое применяют для ...

- увеличения точности измерения
- уменьшения случайной составляющей погрешности
- уменьшения систематической составляющей погрешности
Ответ

Гарантия сдачи без лишних хлопот! ✅🎓 Ответы на тесты по любым дисциплинам, базы вопросов, работы и услуги для Синергии, МЭИ и других вузов – всё уже готово! 🚀 🎯📚 Гарантия качества – или возврат денег! 💰✅
meimei1337


















