Ответ на вопрос по математике №960528: Чему равна сумма Ф(а)+Ф(-а), где Чему равна сумма Ф(а)+Ф(-а), где - Ответ на вопрос по математике №960528Чему равна сумма Ф(а)+Ф(-а), где - Ответ на вопрос по математике №960528
2025-09-022025-09-02СтудИзба
Чему равна сумма Ф(а)+Ф(-а), где - Ответ на вопрос по математике №960528
Вопрос
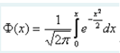
Чему равна сумма Ф(а)+Ф(-а), где
Ответ
Этот вопрос в коллекциях
-14%

📚Помощь в сдаче любых видов работ✒️Более 6000 готовых студенческих работ и тестов для НСПК, ОСЭК, НИИДПО, НАДПО и других ВУЗов👨🏫Гарантирую результат или полностью верну деньги!✅💰

















