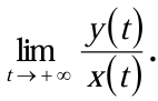
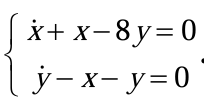
Ответ на вопрос по математике №960417: Решить систему Вычислить Решить систему Вычислить - Ответ на вопрос по математике №960417Решить систему Вычислить - Ответ на вопрос по математике №960417
2025-09-022025-09-02СтудИзба
Решить систему Вычислить - Ответ на вопрос по математике №960417
Этот вопрос в коллекциях
-14%

📚Помощь в сдаче любых видов работ✒️Более 6000 готовых студенческих работ и тестов для НСПК, ОСЭК, НИИДПО, НАДПО и других ВУЗов👨🏫Гарантирую результат или полностью верну деньги!✅💰



















