Ответ на вопрос по математике №24875: Пусть дана система уравнений A = } x1 - 2x2 + x3 = 3, тогда определитель (2x1 + 3x2x2 = 9 [4] этой системы равен ... x1 +2х3=2 Пусть дана система уравнений A = } x1 - 2x2 + x3 = 3, - Ответ на вопрос по математике №24875Пусть дана система уравнений A = } x1 - 2x2 + x3 = 3, - Ответ на вопрос по математике №24875
1,0052
2024-02-102024-02-10СтудИзба
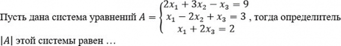
Пусть дана система уравнений A = } x1 - 2x2 + x3 = 3, - Ответ на вопрос по математике №24875
Вопрос
Пусть дана система уравнений A = } x1 - 2x2 + x3 = 3, тогда определитель (2x1 + 3x2x2 = 9[4] этой системы равен ...
x1 +2х3=2

Ответ
Этот вопрос в коллекциях
-25%
Коллекция: Высшая математика
400 299 руб.

Ваше экономие времени является моей ГЛАВНОЙ задачей! Если я Вам хоть чуть-чуть помог, пожалуйста, сделайте и мне приятное, оставьте 5 ЗВЁЗД и позитивный комментарий. Большое спасибо!