Ответ на вопрос по математике №21983: Система Дифференциальных уравнений может быть сведена к уравнению Система Дифференциальных уравнений может быть сведена к - Ответ на вопрос по математике №21983Система Дифференциальных уравнений может быть сведена к - Ответ на вопрос по математике №21983
2024-02-062024-02-06СтудИзба
Система Дифференциальных уравнений может быть сведена к - Ответ на вопрос по математике №21983
-47%
Вопрос
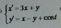
Система Дифференциальных уравнений может быть сведена к уравнению
Ответ

Если нужен другой вариант работы или отдельная задача из любой работы, пишите в комментарии
















