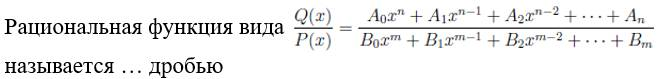
Рациональная функция вида называется .... дробью - Ответ на вопрос по математике №201797
-42%
Вопрос
Рациональная функция вида называется .... дробью
Ответ
Этот вопрос в коллекциях

🎓 Поможем сдать всё — тесты, практику, экзамены, курсовые, дипломы, отчёты! Закроем долги под ключ 🔑 Ведём от первой сессии до диплома 🏆 Работаем с Синергией, МЭИ, МТИ и другими вузами 🤝 Гарантия результата или возврат денег 💰 Пиши! 🚀
















