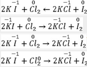
Ответ на вопрос по информатике №17666: Формулу ввели с клавиатуры в одну строку следующим образом: 2K labove-1+Clabove 0 _2 to 2K Clabove-1+Iabove 0 _2 Как эта формула будет отображаться в профессиональном формате? Выберите один ответ: Формулу ввели с клавиатуры в одну строку следующим - Ответ на вопрос по информатике №17666Формулу ввели с клавиатуры в одну строку следующим - Ответ на вопрос по информатике №17666
2024-01-302024-01-30СтудИзба
Формулу ввели с клавиатуры в одну строку следующим - Ответ на вопрос по информатике №17666
Вопрос
Формулу ввели с клавиатуры в одну строку следующим образом:2K labove-1+Clabove 0 _2 to 2K Clabove-1+Iabove 0 _2
Как эта формула будет отображаться в профессиональном формате?
Выберите один ответ:

nastia1998l






















