представлено уравнение Бернулли в форме давлений уравнение Бернулли - Ответ на вопрос №73338
Вопрос
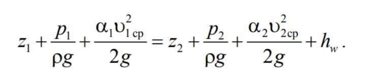
представлено
- уравнение Бернулли в форме давлений
- уравнение Бернулли в форме напоров
- уравнение Архимеда
- уравнение Бернулли в форме энергии
Ответ
Этот вопрос в коллекциях
Коллекция: Гидравлика. УдГУ
1 800 руб.













