Ответ на вопрос по физике №952054: 2.48. Космический корабль движется относительно Земли со скоростью v, соизмеримой со скоростью света c. Длительность некоторого процесса в космическом корабле, измеренная по часам этого корабля, составляет Δt0. Длительность этого процесса Δt, измеренная по часам, находящихся на Земле, определяется уравнением… 1) 2) 3) 4) 2.48. Космический корабль движется относительно Земли со - Ответ на вопрос по физике №9520542.48. Космический корабль движется относительно Земли со - Ответ на вопрос по физике №952054
2025-08-282025-08-28СтудИзба
2.48. Космический корабль движется относительно Земли со - Ответ на вопрос по физике №952054
Вопрос
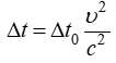
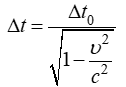
2.48. Космический корабль движется относительно Земли со скоростью v, соизмеримой со скоростью света c. Длительность некоторого процесса в космическом корабле, измеренная по часам этого корабля, составляет Δt0. Длительность этого процесса Δt, измеренная по часам, находящихся на Земле, определяется уравнением…- 1)
![]()
- 2)
![]()
- 3)
![]()
- 4)
Ответ
Этот вопрос в коллекциях
Коллекция: Квантовые свойства света
240 руб.

🎓Помощь студентам Ивановских ВУЗов🎓 ❤️ Каждая приобретенная работа служит стимулом для добавления новых материалов и упрощает учебный процесс.





















