Для студентов ИГЭУ им. Ленина по предмету ФизикаКвантовые свойства светаКвантовые свойства света
5,00571
2025-08-282025-08-28СтудИзба
Ответы к контрольной работе 2: Квантовые свойства света
Описание
Квантовые свойства света
- 2.1. Абсолютно черное тело и серое тело имеют одинаковые температуры. При этом интенсивность излучения (энергетическая светимость)...
2) больше у абсолютно черного тела
3) одинаковая у обоих тел
4) больше у серого тела
- 2.2. На рисунке представлены графики зависимости спектральной плотности энергетической светимости абсолютно черного тела от частоты при различных температурах. Наименьшей температуре соответствует график...
2) 2
3) 3
- 2.3. На рисунке представлены графики зависимости спектральной плотности энергетической светимости абсолютно черного тела от длины волны при различных температурах. Наибольшей температуре тела соответствует график...
2) 3
3) 2
- 2.4. На рисунках по оси абсцисс отложена длина волны теплового излучения , по оси ординат – спектральная плотность энергетической светимости абсолютно черного тела. Кривые соответствуют двум температурам, причем T1λ) для абсолютно черного тела?


3)


- 2.5. На рисунке показаны кривые зависимости спектральной плотности энергетической светимости абсолютно черного тела от длины волны при различных температурах. Если длину волны, соответствующую максимуму rλ, увеличить в 4 раза, то температура абсолютно черного тела...
2) уменьшиться в 2 раза
3) увеличиться в 2 раза
4) увеличиться в 4 раза
- 2.6. На рисунке показаны кривые зависимости спектральной плотности энергетической светимости абсолютно черного тела от длины волны при разных температурах. Если длина волны, соответствующая максимуму rλ, уменьшилась в 4 раза, то температура абсолютно черного тела...
2) уменьшилась в 2 раза
3) увеличилась в 2 раза
4) уменьшилась в 4 раза
- 2.7. На рисунке показана кривая зависимости спектральной плотности энергетической светимости абсолютно черного тела от длины волны при Т=6000 К. Если температуру тела уменьшить в 4 раза, то длина волны, соответствующая максимуму rλ абсолютно черного тела, ...
2) уменьшилась в 2 раза
3) увеличилась в 2 раза
4) увеличилась в 4 раза
- 2.8. На рисунке показаны кривые зависимости спектральной плотности энергетической светимости абсолютно черного тела от длины волны при различных температурах. Если кривая 2 соответствует rλ абсолютно черного тела при температуре 1500 К, то кривая 1 соответствует температуре (в К)...
2) 3000
3) 1000
4) 750
- 2.9. На рисунке показаны кривые зависимости спектральной плотности энергетической светимости абсолютно черного тела от длины волны при различных температурах. Если кривая 1 соответствует абсолютно черного тела при температуре 6000 К, то кривая 2 соответствует температуре (в К)...
2) 1500
3) 1000
4) 3000
- 2.10. На рисунке показана кривая зависимости спектральной плотности энергетической светимости абсолютно черного тела от длины волны при Т=6000 К. Если температуру тела уменьшить в 2 раза, то энергетическая светимость абсолютно черного тела уменьшится...
2) в 2 раза
3) в 4 раза
4) в 8 раз
- 2.11. Красная граница фотоэффекта приходится на зеленый свет. Фотоэффект будет наблюдаться при освещении катода...
2) желтым светом
3) фиолетовым светом
4) красным светом
- 2.12. Свет вызывает эмиссию электронов из металла. Если интенсивность света уменьшается, то...
2) количество выбитых электронов увеличивается, а их кинетическая энергия уменьшается
3) количество выбитых электронов остается неизменным, а их кинетическая энергия увеличивается
4) количество выбитых электронов и их кинетическая энергия увеличиваются
5) количество выбитых электронов уменьшается, а их кинетическая энергия остается неизменной
- 2.13. Максимальная скорость фотоэлектронов зависит от...
2) величины напряжения, приложенного к фотоэлементу
3) частоты излучения
4) интенсивности излучения
- 2.14. Полному торможению электронов на вольтамперной характеристике фотоэлемента соответствует область, отмеченная цифрой…
2) 3
3) 1
4) 4
5) 2
- 2.15. На рисунке представлены зависимости задерживающего напряжения U3 от частоты v падающего на металл света. Укажите верные утверждения:
2) зависимости получены для двух различных металлов
3) с помощью этих зависимостей можно определить значение постоянной Планка
- 2.16. Зависимость задерживающего напряжение U3 от импульса падающих фотонов изображена на рисунке...




- 2.17. В опытах по внешнему фотоэффекту изучалась зависимость кинетической энергии Wk фотоэлектронов от частоты падающего света. Для некоторого материала фотокатода эта зависимость представлена линией b. При замене материала фотокатода на материал с меньшей работой выхода зависимость будет соответствовать прямой...
2) c, имеющий меньший угол наклона, чем линия b
3) b, т.е. останется той же самой
4) a, параллельной линии b
- 2.18. На графике представлена зависимость кинетической энергии фотоэлектронов от частоты света. Для частоты v1 энергия фотона равна...
2) 1 эВ
3) 2 эВ
4) 4 эВ
- 2.19. Длина волны света, падающего на фотоэлемент постоянна. При увеличении светового потока Ф2 > Ф1 вольтамперная характеристика изменяется так, как показано на рисунке…



- 2.20. На рисунке представлены вольтамперные характеристики фотоэлемента. E – освещенность фотоэлемента; v – частота падающего света. Вольтамперные характеристики получены при условии…
2) v1 +v2, E1 > E2
3) v1 < v2, E1 = E2
4) v1 = v2, E1 < E2
- 2.21. Длина волны фотона при рассеянии увеличилась в 2 раза. Импульс фотона при этом...
2) увеличился в 2 раза
3) уменьшился в 2 раза
4) увеличился в 4 раза
- 2.22. При комптоновском рассеянии фотонов максимальное изменение длины волны равно (∅ – угол рассеяния)…




- 2.23. В опыте, изображенном на рисунке, детектор (D), который регистрирует длину волны рассеянных гамма квантов, расположен под углом ∅. При увеличении угла ∅ длина волны регистрируемых квантов будет…
2) уменьшаться
3) не будет изменяться
4) увеличиваться
- 2.24. Фотон, энергия которого равна энергии покоя электрона, в результате рассеяния на электроне, потерял треть энергии. Кинетическая энергия электрона отдачи равна…





- 2.25. На рисунке показаны направления импульсов падающего фотона (y), рассеянного фотона (y') и электрона отдачи (e). Угол рассеяния фотона 90o, направление движения электрона отдачи составляет с направлением падающего фотона угол φ = 30o. Если импульс электрона отдачи Pe, то импульс рассеянного фотона равен…
2) 1,5√3Pe
3) 2√3Pe
4) √3Pe
- 2.26. На рисунке показаны направления импульсов падающего фотона (y), рассеянного фотона (y') и электрона отдачи (e). Угол рассеяния фотона 90o, направление движения электрона отдачи составляет с направлением падающего фотона угол φ = 30o. Если импульс электрона отдачи 3(МэВ*с)/м, то импульс рассеянного фотона (в тех же единицах) равен…
2) 2√3
3) √3
4) 1,5√3
- 2.27. На рисунке показаны направления импульсов падающего фотона (y), рассеянного фотона (y') и электрона отдачи (e). Угол рассеяния фотона 90o, направление движения электрона отдачи составляет с направлением падающего фотона угол φ = 30o. Если импульс электрона отдачи 3(МэВ*с)/м, то импульс падающего фотона (в тех же единицах) равен…
2) 2√3
3) 1,5
4) √3
- 2.28. На рисунке показаны направления импульсов падающего фотона (y), рассеянного фотона (y') и электрона отдачи (e). Угол рассеяния фотона 90o, направление движения электрона отдачи составляет с направлением падающего фотона угол φ = 30o. Если импульс падающего фотона 3(МэВ*с)/м, то импульс рассеянного фотона(в тех же единицах) равен…
2) 1,5
3) 2√3
4) 1,5√3
- 2.29. На рисунке показаны направления импульсов падающего фотона (y), рассеянного фотона (y') и электрона отдачи (e). Угол рассеяния фотона 90o, направление движения электрона отдачи составляет с направлением падающего фотона угол φ = 30o. Если импульс падающего фотона 3(МэВ*с)/м, то импульс электрона отдачи (в тех же единицах) равен…
2) 1,5√3
3) 1,5
4) √3
- 2.30. На рисунке показаны направления импульсов падающего фотона (y), рассеянного фотона (y') и электрона отдачи (e). Угол рассеяния фотона 90o, направление движения электрона отдачи составляет с направлением падающего фотона угол φ = 30o. Если импульс рассеянного фотона 2(МэВ*с)/м, то импульс падающего фотона (в тех же единицах) равен…
2) 4
3) √3
4) 1
- 2.31. На рисунке показаны направления импульсов падающего фотона (y), рассеянного фотона (y') и электрона отдачи (e). Угол рассеяния фотона 90o, направление движения электрона отдачи составляет с направлением падающего фотона угол φ = 30o. Если импульс рассеянного фотона 2(МэВ*с)/м, то импульс электрона отдачи (в тех же единицах) равен…
2) 2√3
3) √3
4) 1
- 2.32. Если увеличить в 2 раза объемную плотность энергии света, то его давление …
2) останется неизменным
3) увеличится в 2 раза
- 2.33. Давление света зависит от…
2) показателя преломления вещества, на которое падает свет
3) энергии фотона
4) скорости света в среде
- 2.34. Если зеркальную пластинку заменить черной той же площади, то давление света…
2) увеличится в 2 раза
3) останется неизменным
- 2.35. Если черную пластинку заменить зеркальной той же площади, то давление света…
2) останется неизменным
3) уменьшится в 2 раза
- 2.36. На легкой нерастяжимой нити подвешено коромысло с двумя лепестками, один из которых абсолютно черный, а другой – абсолютно белый. Свет на лепестки падает по нормали к их поверхности. При освещении установки…
2) направление поворота коромысла зависит от длины волны света
3) коромысло повернется против часовой стрелки
4) коромысло останется неподвижным
- 2.37. Параллельный пучок света падает по нормали на черную плоскую поверхность, производя давление Р. При замене поверхности на зеркальную давление света не изменится, если угол падения будет равен…
2) 45o
3) 30o
4) 60o
- 2.38. Давление параллельного пучка света, падающего на зеркальную плоскую поверхность под углом 60o, равно 3 мкПа. Если пучок света направить по нормали на такую же черную поверхность, то давление света будет равно…
2) 1,5 мкПа
3) 12 мкПа
4) 3 мкПа
5) 2,6 мкПа
- 2.39. Пи-ноль-мезон, двигавшийся со скоростью 0,8с (с – скорость света в вакууме) в лабораторной системе отсчета, распадается на два фотона y1 и y2. В собственной системе отсчета мезона фотон y1 был испущен вперед, а фотон y2 – назад относительно направления полета мезона. Скорость фотон y1 в лабораторной системе отсчета равна…
2) 0,8 c
3) 1,64 c
4) 1,8 c
- 2.40. Пи-ноль-мезон, двигавшийся со скоростью 0,8с (с – скорость света в вакууме) в лабораторной системе отсчета, распадается на два фотона y1 и y2. В собственной системе отсчета мезона фотон y1 был испущен вперед, а фотон y2 – назад относительно направления полета мезона. Скорость фотона y2 в лабораторной системе отсчета равна…
2) +0,8 c
3) -0,2 c
4) +1,0 c
- 2.41. Космический корабль летит со скоростью V=0,8 c (с – скорость света в вакууме). Один из космонавтов медленно поворачивает метровый стержень из положения 1, перпендикулярного направлению движения корабля, в положение 2 – параллельное этому направлению. Тогда длина этого стержня с точки зрения наблюдателя, находящегося на Земле…
2) 1,0 м при любой его ориентации
3) изменится от 1,0 м в положении 1 до 1,67 м в положении 2
4) изменится от 0,6 м в положении 1 до 1,0 м в положении 2
- 2.42. Космический корабль летит со скоростью V=0,8 c (с – скорость света в вакууме). Один из космонавтов медленно поворачивает метровый стержень из положения 1, перпендикулярного направлению движения корабля, в положение 2 – параллельное этому направлению. Тогда длина стержня с точки зрения другого космонавта…
2) изменится от 1,0 м в положении 1 до 0,6 м в положении 2
3) изменится от 1,0 м в положении 1 до 1,67 м в положении 2
4) изменится от 0,6 м в положении 1 до 1,0 м в положении 2
- 2.43. Космический корабль летит со скоростью V=0,8 c (с – скорость света в вакууме). Один из космонавтов медленно поворачивает метровый стержень из положения 1, параллельного направлению движения корабля, в положение 2, перпендикулярное этому направлению. Тогда длина стержня с точки зрения другого космонавта…
2) 1,0 м при любой его ориентации
3) изменится от 0,6 м в положении 1 до 1,0 м в положении 2
4) изменится от 1,0 м в положении 1 до 1,67 м в положении 2
- 2.44. Космический корабль пролетает мимо Вас со скоростью V=0,8 c. По Вашим измерениям его длина равна 90 м. В состоянии покоя его длина наиболее близка к…
2) 110 м
3) 55 м
4) 90 м
- 2.45. На борту космического корабля нанесена эмблема в виде геометрической фигуры. Из-за релятивистского сокращения длины эта фигура изменяет свою форму. Если корабль движется в направлении, указанном на рисунке стрелкой, со скоростью, сравнимой со скоростью света, то в неподвижной системе отсчета эмблема примет форму, указанную на рисунке…



- 2.46. На зеркальную пластинку падает свет. Если число фотонов, падающих на единицу поверхности в единицу времени, уменьшить в 2 раза, а зеркальную пластинку заменить черной, то давление света…
2) уменьшится в 4 раза
3) уменьшится в 2 раза
- 2.47. На борту космического корабля нанесена эмблема в виде геометрической фигуры. Из-за релятивистского сокращения длины эта фигура изменяет свою форму. Если корабль движется в направлении, указанном на рисунке стрелкой, со скоростью, сравнимой со скоростью света, то в неподвижной системе отсчета эмблема примет форму, указанную на рисунке…



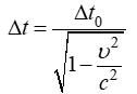
- 2.48. Космический корабль движется относительно Земли со скоростью v, соизмеримой со скоростью света c. Длительность некоторого процесса в космическом корабле, измеренная по часам этого корабля, составляет Δt0. Длительность этого процесса Δt, измеренная по часам, находящихся на Земле, определяется уравнением…




Список вопросов
2.37. Параллельный пучок света падает по нормали на черную плоскую поверхность, производя давление Р. При замене поверхности на зеркальную давление света не изменится, если угол падения будет равен…
2.26. На рисунке показаны направления импульсов падающего фотона (y), рассеянного фотона (y') и электрона отдачи (e). Угол рассеяния фотона 90o, направление движения электрона отдачи составляет с направлением падающего фотона угол φ = 30o. Если импульс электрона отдачи 3(МэВ*с)/м, то импульс рассеянного фотона (в тех же единицах) равен…
![]()

2.27. На рисунке показаны направления импульсов падающего фотона (y), рассеянного фотона (y') и электрона отдачи (e). Угол рассеяния фотона 90o, направление движения электрона отдачи составляет с направлением падающего фотона угол φ = 30o. Если импульс электрона отдачи 3(МэВ*с)/м, то импульс падающего фотона (в тех же единицах) равен…
![]()

2.28. На рисунке показаны направления импульсов падающего фотона (y), рассеянного фотона (y') и электрона отдачи (e). Угол рассеяния фотона 90o, направление движения электрона отдачи составляет с направлением падающего фотона угол φ = 30o. Если импульс падающего фотона 3(МэВ*с)/м, то импульс рассеянного фотона(в тех же единицах) равен…
![]()

2.29. На рисунке показаны направления импульсов падающего фотона (y), рассеянного фотона (y') и электрона отдачи (e). Угол рассеяния фотона 90o, направление движения электрона отдачи составляет с направлением падающего фотона угол φ = 30o. Если импульс падающего фотона 3(МэВ*с)/м, то импульс электрона отдачи (в тех же единицах) равен…
![]()

2.30. На рисунке показаны направления импульсов падающего фотона (y), рассеянного фотона (y') и электрона отдачи (e). Угол рассеяния фотона 90o, направление движения электрона отдачи составляет с направлением падающего фотона угол φ = 30o. Если импульс рассеянного фотона 2(МэВ*с)/м, то импульс падающего фотона (в тех же единицах) равен…
![]()

2.31. На рисунке показаны направления импульсов падающего фотона (y), рассеянного фотона (y') и электрона отдачи (e). Угол рассеяния фотона 90o, направление движения электрона отдачи составляет с направлением падающего фотона угол φ = 30o. Если импульс рассеянного фотона 2(МэВ*с)/м, то импульс электрона отдачи (в тех же единицах) равен…
![]()

2.32. Если увеличить в 2 раза объемную плотность энергии света, то его давление …
2.33. Давление света зависит от…
2.34. Если зеркальную пластинку заменить черной той же площади, то давление света…
2.35. Если черную пластинку заменить зеркальной той же площади, то давление света…
2.36. На легкой нерастяжимой нити подвешено коромысло с двумя лепестками, один из которых абсолютно черный, а другой – абсолютно белый. Свет на лепестки падает по нормали к их поверхности. При освещении установки…
![]()

2.25. На рисунке показаны направления импульсов падающего фотона (y), рассеянного фотона (y') и электрона отдачи (e). Угол рассеяния фотона 90o, направление движения электрона отдачи составляет с направлением падающего фотона угол φ = 30o. Если импульс электрона отдачи Pe, то импульс рассеянного фотона равен…
![]()

2.38. Давление параллельного пучка света, падающего на зеркальную плоскую поверхность под углом 60o, равно 3 мкПа. Если пучок света направить по нормали на такую же черную поверхность, то давление света будет равно…
2.39. Пи-ноль-мезон, двигавшийся со скоростью 0,8с (с – скорость света в вакууме) в лабораторной системе отсчета, распадается на два фотона y1 и y2. В собственной системе отсчета мезона фотон y1 был испущен вперед, а фотон y2 – назад относительно направления полета мезона. Скорость фотон y1 в лабораторной системе отсчета равна…
2.40. Пи-ноль-мезон, двигавшийся со скоростью 0,8с (с – скорость света в вакууме) в лабораторной системе отсчета, распадается на два фотона y1 и y2. В собственной системе отсчета мезона фотон y1 был испущен вперед, а фотон y2 – назад относительно направления полета мезона. Скорость фотона y2 в лабораторной системе отсчета равна…
2.41. Космический корабль летит со скоростью V=0,8 c (с – скорость света в вакууме). Один из космонавтов медленно поворачивает метровый стержень из положения 1, перпендикулярного направлению движения корабля, в положение 2 – параллельное этому направлению. Тогда длина этого стержня с точки зрения наблюдателя, находящегося на Земле…
2.42. Космический корабль летит со скоростью V=0,8 c (с – скорость света в вакууме). Один из космонавтов медленно поворачивает метровый стержень из положения 1, перпендикулярного направлению движения корабля, в положение 2 – параллельное этому направлению. Тогда длина стержня с точки зрения другого космонавта…
2.43. Космический корабль летит со скоростью V=0,8 c (с – скорость света в вакууме). Один из космонавтов медленно поворачивает метровый стержень из положения 1, параллельного направлению движения корабля, в положение 2, перпендикулярное этому направлению. Тогда длина стержня с точки зрения другого космонавта…
2.44. Космический корабль пролетает мимо Вас со скоростью V=0,8 c. По Вашим измерениям его длина равна 90 м. В состоянии покоя его длина наиболее близка к…
2.45. На борту космического корабля нанесена эмблема в виде геометрической фигуры. Из-за релятивистского сокращения длины эта фигура изменяет свою форму. Если корабль движется в направлении, указанном на рисунке стрелкой, со скоростью, сравнимой со скоростью света, то в неподвижной системе отсчета эмблема примет форму, указанную на рисунке…
![]()

2.46. На зеркальную пластинку падает свет. Если число фотонов, падающих на единицу поверхности в единицу времени, уменьшить в 2 раза, а зеркальную пластинку заменить черной, то давление света…
2.47. На борту космического корабля нанесена эмблема в виде геометрической фигуры. Из-за релятивистского сокращения длины эта фигура изменяет свою форму. Если корабль движется в направлении, указанном на рисунке стрелкой, со скоростью, сравнимой со скоростью света, то в неподвижной системе отсчета эмблема примет форму, указанную на рисунке…
![]()

2.48. Космический корабль движется относительно Земли со скоростью v, соизмеримой со скоростью света c. Длительность некоторого процесса в космическом корабле, измеренная по часам этого корабля, составляет Δt0. Длительность этого процесса Δt, измеренная по часам, находящихся на Земле, определяется уравнением…
2.13. Максимальная скорость фотоэлектронов зависит от...
2.2. На рисунке представлены графики зависимости спектральной плотности энергетической светимости абсолютно черного тела от частоты при различных температурах. Наименьшей температуре соответствует график...
![]()

2.3. На рисунке представлены графики зависимости спектральной плотности энергетической светимости абсолютно черного тела от длины волны при различных температурах. Наибольшей температуре тела соответствует график...
![]()

2.4. На рисунках по оси абсцисс отложена длина волны теплового излучения , по оси ординат – спектральная плотность энергетической светимости абсолютно черного тела. Кривые соответствуют двум температурам, причем T1<T2. На каком рисунке правильно изображены r(λ) для абсолютно черного тела?
2.5. На рисунке показаны кривые зависимости спектральной плотности энергетической светимости абсолютно черного тела от длины волны при различных температурах. Если длину волны, соответствующую максимуму rλ, увеличить в 4 раза, то температура абсолютно черного тела... ![]()

2.6. На рисунке показаны кривые зависимости спектральной плотности энергетической светимости абсолютно черного тела от длины волны при разных температурах. Если длина волны, соответствующая максимуму rλ, уменьшилась в 4 раза, то температура абсолютно черного тела... ![]()

2.7. На рисунке показана кривая зависимости спектральной плотности энергетической светимости абсолютно черного тела от длины волны при Т=6000 К. Если температуру тела уменьшить в 4 раза, то длина волны, соответствующая максимуму rλ абсолютно черного тела, ... ![]()

2.8. На рисунке показаны кривые зависимости спектральной плотности энергетической светимости абсолютно черного тела от длины волны при различных температурах. Если кривая 2 соответствует rλ абсолютно черного тела при температуре 1500 К, то кривая 1 соответствует температуре (в К)...
![]()

2.9. На рисунке показаны кривые зависимости спектральной плотности энергетической светимости абсолютно черного тела от длины волны при различных температурах. Если кривая 1 соответствует абсолютно черного тела при температуре 6000 К, то кривая 2 соответствует температуре (в К)...
![]()

2.10. На рисунке показана кривая зависимости спектральной плотности энергетической светимости абсолютно черного тела от длины волны при Т=6000 К. Если температуру тела уменьшить в 2 раза, то энергетическая светимость абсолютно черного тела уменьшится... ![]()

2.11. Красная граница фотоэффекта приходится на зеленый свет. Фотоэффект будет наблюдаться при освещении катода...
2.12. Свет вызывает эмиссию электронов из металла. Если интенсивность света уменьшается, то...
2.1. Абсолютно черное тело и серое тело имеют одинаковые температуры. При этом интенсивность излучения (энергетическая светимость)...
2.14. Полному торможению электронов на вольтамперной характеристике фотоэлемента соответствует область, отмеченная цифрой… ![]()

2.15. На рисунке представлены зависимости задерживающего напряжения U3 от частоты v падающего на металл света. Укажите верные утверждения:
![]()

2.16. Зависимость задерживающего напряжение U3 от импульса падающих фотонов изображена на рисунке...
2.17. В опытах по внешнему фотоэффекту изучалась зависимость кинетической энергии Wk фотоэлектронов от частоты падающего света. Для некоторого материала фотокатода эта зависимость представлена линией b. При замене материала фотокатода на материал с меньшей работой выхода зависимость будет соответствовать прямой...
![]()

2.18. На графике представлена зависимость кинетической энергии фотоэлектронов от частоты света. Для частоты v1 энергия фотона равна... ![]()

2.19. Длина волны света, падающего на фотоэлемент постоянна. При увеличении светового потока Ф2 > Ф1 вольтамперная характеристика изменяется так, как показано на рисунке…
2.20. На рисунке представлены вольтамперные характеристики фотоэлемента. E – освещенность фотоэлемента; v – частота падающего света. Вольтамперные характеристики получены при условии…
![]()

2.21. Длина волны фотона при рассеянии увеличилась в 2 раза. Импульс фотона при этом...
2.22. При комптоновском рассеянии фотонов максимальное изменение длины волны равно (∅ – угол рассеяния)…
2.23. В опыте, изображенном на рисунке, детектор (D), который регистрирует длину волны рассеянных гамма квантов, расположен под углом ∅. При увеличении угла ∅ длина волны регистрируемых квантов будет…
![]()

2.24. Фотон, энергия которого равна энергии покоя электрона, в результате рассеяния на электроне, потерял треть энергии. Кинетическая энергия электрона отдачи равна…
Характеристики ответов (шпаргалок) к КР
Тип
Коллекция: Ответы (шпаргалки) к контрольной работе
Предмет
Учебное заведение
Семестр
Номер задания
Просмотров
6
Качество
Идеальное компьютерное
Количество вопросов

🎓Помощь студентам Ивановских ВУЗов🎓 ❤️ Каждая приобретенная работа служит стимулом для добавления новых материалов и упрощает учебный процесс.