Ответ на вопрос по физике №948874: 2.20. Внешние сопротивления R и n одинаковых источников тока с ЭДС ε и внутренними сопротивлениями r соединены последовательно. По какой формуле вычисляется сила тока в замкнутой электрической цепи? 1) 2) 3) 4) 2.20. Внешние сопротивления R и n одинаковых источников - Ответ на вопрос по физике №9488742.20. Внешние сопротивления R и n одинаковых источников - Ответ на вопрос по физике №948874
2025-08-262025-08-26СтудИзба
2.20. Внешние сопротивления R и n одинаковых источников - Ответ на вопрос по физике №948874
Вопрос
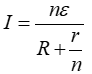
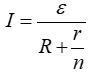
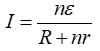
2.20. Внешние сопротивления R и n одинаковых источников тока с ЭДС ε и внутренними сопротивлениями r соединены последовательно. По какой формуле вычисляется сила тока в замкнутой электрической цепи?- 1)
![]()
- 2)
![]()
- 3)
![]()
- 4)
![]()
Ответ
Этот вопрос в коллекциях

🎓Помощь студентам Ивановских ВУЗов🎓 ❤️ Каждая приобретенная работа служит стимулом для добавления новых материалов и упрощает учебный процесс.






















