Для студентов ИГЭУ им. Ленина по предмету ФизикаПостоянный электрический токПостоянный электрический ток
5,00575
2025-08-262025-08-26СтудИзба
Ответы к контрольной работе 2: Постоянный электрический ток
Описание
Постоянный электрический ток
- 2.1. На рисунке показана зависимость силы тока в проводнике от времени. Определить заряд (в мКл), прошедший по проводнику за время от 0 до 10с.
2) 150
3) 400
4) 300
- 2.2. На рисунке представлена зависимость плотности тока j, протекающего в проводниках 1 и 2, от напряженности электрического поля E. Определить отношение удельных проводимостей этих проводников σ1/σ2.

2) 4
3) 1/4
4) 1/2
- 2.3. Вольтамперные характеристики резисторов 1 и 2 представлены на рисунке. Определить отношение их сопротивлений R1/R2.

1) 4
2) 2
3) 1/4
4) 1/2
- 2.4. Установить соответствие математических формул, перечисленным физическим законам.

2) 1-B, 2-D, 3-Е
3) 1-D, 2-С, 3-Е
4) 1-С, 2-В, 3-Е
- 2.5. На каком рисунке изображена зависимость удельного сопротивления металлического проводника от температуры?




- 2.6. На каком рисунке изображена зависимость удельного сопротивления проводника от температуры в области сверхпроводящего перехода?




- 2.7. Как изменяется электрическое сопротивление металлов и полупроводников при повышении температуры?
2) Сопротивление металлов увеличивается; сопротивление полупроводников уменьшается
3) Сопротивление металлов и полупроводников уменьшается
4) Сопротивление металлов и полупроводников увеличивается
- 2.8. На рисунке представлена вольтамперная характеристика лампы накаливания. Определить мощность лампы при U=100B.

1) 10 Вт
2) 37,5 Вт
3) 90 Вт
4) 40 Вт
- 2.9. Вольтамперные характеристики резисторов 1 и 2 представлены на рисунке. Определить отношение мощностей электрических токов P1/P2, при напряжении 20 В.
2) 4
3) 2
4) 1/2
- 2.10. На рисунке представлена зависимость силы тока в проводнике от времени. Определить заряд (в мКл), прошедший по проводнику за время от 10 до 20 с.

2) 150
3) 400
4) 300
- 2.11. На рисунке представлена зависимость силы тока в проводнике от времени. Определить заряд (в мКл), прошедший по проводнику за время от 0 до 20 с.

2) 150
3) 400
4) 300
- 2.12. На рисунке представлена зависимость плотности тока j, протекающего в проводниках 1 и 2, от напряженности электрического поля . Определить отношение удельных проводимостей вещества этих проводников σ1/σ2.

2) 4
3) 1,4
4) 1/2
- 2.13. Вольтамперные характеристики резисторов 1 и 2 представлены на рисунке. Определить отношение их сопротивлений R1/R2.

2) 2
3) 1,4
4) 0,5
- 2.14. Установить соответствие математических формул, перечисленным физическим законам.

2) 1-А, 2-В, 3-D, 4-E.
3) 1-D, 2-C, 3-E, 4-B.
4) 1-C, 2-B, 3-E, 4-A.
- 2.15. Установить соответствие математических формул перечисленным физическим законам.

2) 1-B, 2-C, 3-D, 4-E, 5-A.
3) 1-C, 2-B, 3-E, 4-A, 5-D.
4) 1-D, 2-E, 3-A, 4-C, 5-D.
- 2.16. На каком рисунке изображена зависимость удельного сопротивления полупроводника от температуры?




- 2.17. Как изменится электрическое сопротивление металлов и полупроводников при понижении температуры?
2) Электрическое сопротивление металлов увеличится; электрическое сопротивление полупроводников уменьшится
3) Электрическое сопротивление металлов уменьшится; электрическое сопротивление полупроводников увеличится
4) Электрическое сопротивление металлов и полупроводников увеличится
- 2.18. На рисунке представлена вольтамперная характеристика лампы накаливания. Определить сопротивление лампы при напряжении 100 В.

2) 200 Ом
3) 250 Ом
4) 300 Ом
5) 400 Ом
- 2.19. Вольтамперные характеристики резисторов 1 и 2 представлены на рисунке. При напряжении 20 В определить отношение тепловых мощностей выделяемых на сопротивлениях при прохождении электрического тока P1/P2.

2) 4
3) 2
4) 1/2
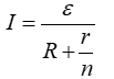
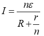
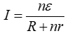
- 2.20. Внешние сопротивления R и n одинаковых источников тока с ЭДС ε и внутренними сопротивлениями r соединены последовательно. По какой формуле вычисляется сила тока в замкнутой электрической цепи?




- 2.21. Вольтамперные характеристики резисторов 1 и 2 представлены на рисунке. Какая тепловая мощность выделяется на резисторе 1 при токе 15 мА?

2) 450 Вт
3) 0,30 Вт
4) 15 Вт
- 2.22. Вольтамперные характеристики резисторов 1 и 2 представлены на рисунке. Какая тепловая мощность выделяется на резисторе 2 при токе 10 мА?

2) 0,45 Вт
3) 0,30 Вт
4) 0,5 Вт
- 2.23. Какие заряженные частицы являются носителями тока в металлических проводниках?
2) Носителями тока являются электроны.
3) Носителями тока являются положительные ионы и электроны.
- 2.24. Какие из приведенных утверждений являются положениями классической теории проводимости металлов?
2) Ионы кристаллической решетки неподвижны.
3) Электроны подобны «идеальному газу».
- 2.25. Какую размерность в системе СИ имеет плотность тока?
2) А/м2
3) Кл/м
4) Кл/м2
- 2.26. Какое наименование в системе СИ имеет единица измерения проводимости вещества?
2) Вольт
3) Ом
4) Тесла
5) Сименс
- 2.27. Через электрическую лампу, подключенную к источнику тока с ЭДС 8 В и внутренним сопротивлением 1 Ом протекает ток 2 А. Какой график соответствует зависимости силы тока от приложенного к лампе напряжения?

2) 4
3) 2
4) 3
- 2.28. Как изменится удельная тепловая мощность тока, если напряженность электрического поля в проводнике уменьшить в два раза?
2) Не изменится
3) Уменьшится в 4 раза
4) Уменьшится в 2 раза
5) Увеличится в 4 раза
- 2.29. На рисунке изображена вольтамперная характеристика (ВАХ) вакуумного диода. В какой области ВАХ все электроны, вылетающие из катода в результате термоэлектронной эмиссии, достигают анода?

2) 1
3) 4
4) 3
5) 2
- 2.30. В течение 10 с сила тока в проводнике равномерно возрастает от 1 А до 3 А. Какой заряд проходит через поперечное сечение проводника за это время?
2) 40 Кл
3) 30 Кл
4) 10 Кл
- 2.31. Вольтамперные характеристики двух нагревательных элементов изображены на рисунке. На сколько сопротивление первого элемента больше сопротивления второго?

2) На 12,5 Ом
3) На 80 Ом
4) На 0,5 Ом
- 2.32. К источнику тока с ЭДС 12 В подключили реостат. На рисунке показан график зависимости силы тока в цепи от сопротивления реостата. Определить внутреннее сопротивление источника тока.

2) 0 Ом
3) 0,5 Ом
4) 1 Ом
5) 2 Ом
- 2.33. Сила тока в проводнике с течением времени изменяется так, как показано на рисунке. Какой заряд прошел через сечение проводника 3t?

2) 0
3) q = 4I0t
4) q = I0t
- 2.34. На рисунке представлен график зависимости количества теплоты, которое выделяется в двух последовательно соединенных резисторах, от времени. Определить отношение сопротивлений резисторов

2) 4
3) 0,25
4) 2
- 2.35. На рисунке представлен график зависимости количества теплоты, которое выделяется в двух параллельно соединенных резисторах, от времени. Определить отношение сопротивлений резисторов

2) 4
3) 0,25
4) 2
- 2.36. К источнику тока с ЭДС 12 В подключили реостат. На рисунке показан график зависимости силы тока в цепи от сопротивления реостата. Определить коэффициент полезного действия электрической цепи при силе тока 6 А.

2) 40%
3) 50%
4) 70%
- 2.37. К источнику тока подключили реостат. На рисунке показан график зависимости силы тока в цепи от сопротивления реостата. Определить внутреннее сопротивление источника тока.

1) 6 Ом
2) 0,5 Ом
3) 1 Ом
4) 2 Ом
5) 4 Ом
Список вопросов
2.29. На рисунке изображена вольтамперная характеристика (ВАХ) вакуумного диода. В какой области ВАХ все электроны, вылетающие из катода в результате термоэлектронной эмиссии, достигают анода?
![]()

2.20. Внешние сопротивления R и n одинаковых источников тока с ЭДС ε и внутренними сопротивлениями r соединены последовательно. По какой формуле вычисляется сила тока в замкнутой электрической цепи?
2.21. Вольтамперные характеристики резисторов 1 и 2 представлены на рисунке. Какая тепловая мощность выделяется на резисторе 1 при токе 15 мА?
![]()

2.22. Вольтамперные характеристики резисторов 1 и 2 представлены на рисунке. Какая тепловая мощность выделяется на резисторе 2 при токе 10 мА?
![]()

2.23. Какие заряженные частицы являются носителями тока в металлических проводниках?
2.24. Какие из приведенных утверждений являются положениями классической теории проводимости металлов?
2.25. Какую размерность в системе СИ имеет плотность тока?
2.26. Какое наименование в системе СИ имеет единица измерения проводимости вещества?
2.27. Через электрическую лампу, подключенную к источнику тока с ЭДС 8 В и внутренним сопротивлением 1 Ом протекает ток 2 А. Какой график соответствует зависимости силы тока от приложенного к лампе напряжения?
![]()

2.28. Как изменится удельная тепловая мощность тока, если напряженность электрического поля в проводнике уменьшить в два раза?
2.19. Вольтамперные характеристики резисторов 1 и 2 представлены на рисунке. При напряжении 20 В определить отношение тепловых мощностей выделяемых на сопротивлениях при прохождении электрического тока P1/P2.
![]()

2.30. В течение 10 с сила тока в проводнике равномерно возрастает от 1 А до 3 А. Какой заряд проходит через поперечное сечение проводника за это время?
2.31. Вольтамперные характеристики двух нагревательных элементов изображены на рисунке. На сколько сопротивление первого элемента больше сопротивления второго?
![]()

2.32. К источнику тока с ЭДС 12 В подключили реостат. На рисунке показан график зависимости силы тока в цепи от сопротивления реостата. Определить внутреннее сопротивление источника тока.
![]()

2.33. Сила тока в проводнике с течением времени изменяется так, как показано на рисунке. Какой заряд прошел через сечение проводника 3t?
![]()

2.34. На рисунке представлен график зависимости количества теплоты, которое выделяется в двух последовательно соединенных резисторах, от времени. Определить отношение сопротивлений резисторов
![]()


2.35. На рисунке представлен график зависимости количества теплоты, которое выделяется в двух параллельно соединенных резисторах, от времени. Определить отношение сопротивлений резисторов
![]()


2.36. К источнику тока с ЭДС 12 В подключили реостат. На рисунке показан график зависимости силы тока в цепи от сопротивления реостата. Определить коэффициент полезного действия электрической цепи при силе тока 6 А.
![]()

2.37. К источнику тока подключили реостат. На рисунке показан график зависимости силы тока в цепи от сопротивления реостата. Определить внутреннее сопротивление источника тока.
![]()

2.10. На рисунке представлена зависимость силы тока в проводнике от времени. Определить заряд (в мКл), прошедший по проводнику за время от 10 до 20 с.
![]()

2.2. На рисунке представлена зависимость плотности тока j, протекающего в проводниках 1 и 2, от напряженности электрического поля E. Определить отношение удельных проводимостей этих проводников σ1/σ2.
![]()

2.3. Вольтамперные характеристики резисторов 1 и 2 представлены на рисунке. Определить отношение их сопротивлений R1/R2.
![]()

2.4. Установить соответствие математических формул, перечисленным физическим законам.
![]()

2.5. На каком рисунке изображена зависимость удельного сопротивления металлического проводника от температуры?
2.6. На каком рисунке изображена зависимость удельного сопротивления проводника от температуры в области сверхпроводящего перехода?
2.7. Как изменяется электрическое сопротивление металлов и полупроводников при повышении температуры?
2.8. На рисунке представлена вольтамперная характеристика лампы накаливания. Определить мощность лампы при U=100B.
![]()

2.9. Вольтамперные характеристики резисторов 1 и 2 представлены на рисунке. Определить отношение мощностей электрических токов P1/P2, при напряжении 20 В.
![]()

2.1. На рисунке показана зависимость силы тока в проводнике от времени. Определить заряд (в мКл), прошедший по проводнику за время от 0 до 10с. ![]()

2.11. На рисунке представлена зависимость силы тока в проводнике от времени. Определить заряд (в мКл), прошедший по проводнику за время от 0 до 20 с.
![]()

2.12. На рисунке представлена зависимость плотности тока j, протекающего в проводниках 1 и 2, от напряженности электрического поля . Определить отношение удельных проводимостей вещества этих проводников σ1/σ2.
![]()

2.13. Вольтамперные характеристики резисторов 1 и 2 представлены на рисунке. Определить отношение их сопротивлений R1/R2.
![]()

2.14. Установить соответствие математических формул, перечисленным физическим законам.
![]()

2.15. Установить соответствие математических формул перечисленным физическим законам.
![]()

2.16. На каком рисунке изображена зависимость удельного сопротивления полупроводника от температуры?
2.17. Как изменится электрическое сопротивление металлов и полупроводников при понижении температуры?
2.18. На рисунке представлена вольтамперная характеристика лампы накаливания. Определить сопротивление лампы при напряжении 100 В.
![]()

Характеристики ответов (шпаргалок) к КР
Тип
Коллекция: Ответы (шпаргалки) к контрольной работе
Предмет
Учебное заведение
Семестр
Номер задания
Просмотров
3
Качество
Идеальное компьютерное
Количество вопросов

🎓Помощь студентам Ивановских ВУЗов🎓 ❤️ Каждая приобретенная работа служит стимулом для добавления новых материалов и упрощает учебный процесс.