Ответ на вопрос по электротехнике №747944: В цепи, схема которой показана на рисунке, известен ток I. Тогда ток I1 может быть получен: В цепи, схема которой показана на рисунке, - Ответ на вопрос по электротехнике №747944В цепи, схема которой показана на рисунке, - Ответ на вопрос по электротехнике №747944
2025-06-292025-06-29СтудИзба
В цепи, схема которой показана на рисунке, - Ответ на вопрос по электротехнике №747944
Вопрос
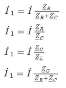
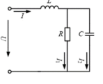
В цепи, схема которой показана на рисунке, известен ток I. Тогда ток I1 может быть получен:

Ответ

Гарантия сдачи без лишних хлопот! ✅🎓 Ответы на тесты по любым дисциплинам, базы вопросов, работы и услуги для Синергии, МЭИ и других вузов – всё уже готово! 🚀 🎯📚 Гарантия качества – или возврат денег! 💰✅
meimei1337

















