Вопрос есть в коллекциях
Дана естественная механическая характеристика АД. Укажите точку на механической характеристике, соответствующую режиму идеального холостого хода. (выбрать один правильный ответ из пяти и в поле ввода ввести целое число от 1 до 5, без пробелов)
![]()

meimei1337

iFate

zzyxel













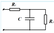
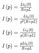
Постоянная времени в этом случае будет равна...
cognucus



















































