Ответ на вопрос по электрическим машинам №720696: Расположите в правильной последовательности обозначения векторов на диаграмме синхронного компенсатора в режиме генерации реактивной мощности, в порядке возрастания нумерации на рисунке. 1 Iск 2 Iл 3 I 4 φ 5 φл Расположите в правильной последовательности - Ответ на вопрос по электрическим машинам №720696Расположите в правильной последовательности - Ответ на вопрос по электрическим машинам №720696
2025-06-082025-06-08СтудИзба
Расположите в правильной последовательности - Ответ на вопрос по электрическим машинам №720696
Вопрос
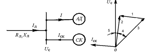
Расположите в правильной последовательности обозначения векторов на диаграмме синхронного компенсатора в режиме генерации реактивной мощности, в порядке возрастания нумерации на рисунке.

- 1 Iск
- 2 Iл
- 3 I
- 4 φ
- 5 φл
Ответ
Этот вопрос в коллекциях
Коллекция: Электрические машины
350 руб.