Вопрос есть в коллекциях
Установите соответствия между свойствами для угловых и разрешающих угловых коэффициентов
![]()

- Разрешающий угловой коэффициент, взаимность
- Угловой коэффициент, замкнутость
- Разрешающий угловой коэффициент, замкнутость
- Угловой коэффициент, замкнутость
studizboss









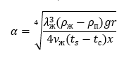
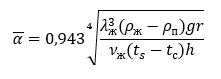
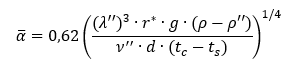
запишите ответ в Кельвинах с точностью до целых.





































