Ответ на вопрос №1042826: Установите соответствие между уравнением и его формулой Коэффициент теплоотдачи при пузырьковом кипении в объеме Коэффициент теплоотдачи при пленочной конденсации на вертикальной трубе (ламинарное движение пленки) Коэффициент теплоотдачи при пленочном кипении на вертикальной трубе Коэффициент теплоотдачи при пленочном кипении на горизонтальной трубе Установите соответствие между уравнением и его формулой Коэффициент - Ответ на вопрос №1042826Установите соответствие между уравнением и его формулой Коэффициент - Ответ на вопрос №1042826
2025-11-102025-11-10СтудИзба
Установите соответствие между уравнением и его формулой Коэффициент - Ответ на вопрос №1042826
Вопрос
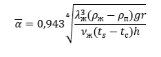
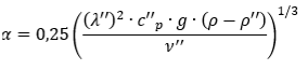
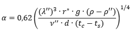
Установите соответствие между уравнением и его формулой- Коэффициент теплоотдачи при пузырьковом кипении в объеме
- Коэффициент теплоотдачи при пленочной конденсации на вертикальной трубе (ламинарное движение пленки)
- Коэффициент теплоотдачи при пленочном кипении на вертикальной трубе
- Коэффициент теплоотдачи при пленочном кипении на горизонтальной трубе
Ответ
Этот вопрос в коллекциях

Гарантия сдачи без лишних хлопот! ✅🎓 Ответы на тесты по любым дисциплинам, базы вопросов, работы и услуги для Синергии, МЭИ и других вузов – всё уже готово! 🚀 🎯📚 Гарантия качества – или возврат денег! 💰✅





















