Смещение кривой производственных возможностей на рисунке означает…
![]()

- достижение цели не за счет роста ресурсов, а счет более интенсивного их использования.
- рост ресурсов и постановку цели: увеличить расходы на фундаментальные науки (физику и биологию).
- рост ресурсов и постановку цели: увеличить расходы на производство сельскохозяйственной техники при сохранении количества голов скота.
- рост ресурсов и постановку цели: увеличение расходов на производство сельскохозяйственной техники, приобретение племенного скота и обучение работников, использующих современную технику.

Согласно теории сравнительного преимущества Рикардо, ...
Если цена товара х равна 5 ден. ед., то расходы на приобретение равновесного набора будут равны…







На рисунке представлено равновесие на товарном рынке, наступившее...
Если страна решит импортировать товар, то ее функция импорта примет вид:
Ответ дайте в ден. ед. с точностью до целого значения.
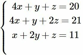
В ответ введите сумму элементов 2-го столбца матрицы
Найдите собственное число, отвечающее ему.
Найдите элемент 
Выберите верное утверждение. 




































