Трансактный анализ Э.Берна
Тема 6. Трансактный анализ Э.Берна
1. Модель эго-состояний
2. Транзакции
3. Структурирование времени.
4.Игры и анализ игр.
Транзактный анализ (от лат. transactio — сделка и греч. analysis — разложение, расчленение) — психотерапевтическая методика группового и личностного роста, предложенная американским психологом и психиатром Эриком Берном. Этот метод психотерапии основан на процедуре анализа структуры личности. В качестве личностных структур, как интериориза-ций социального опыта, здесь рассматриваются особенности и взаимодействие трех состояний Я: «Родитель», «Ребенок» и «Взрослый». «Родитель» представляет собой авторитарные тенденции индивида, «Ребенок» — подчиненную позицию, «Взрослый» — умение отстаивать собственное мнение и организовать взаимоотношения с другими на основе равноправного партнерства.
Существует несколько ключевых идей, которые лежат в основе теории транзактного анализа: модель эго-состояний, транзакции, поглаживания, структурирование времени, жизненный сценарий и игры.
1. Модель эго-состояний
Практика терапии психосоматических заболеваний в транзактном анализе базируется на последовательном теоретическом подходе, основой которого является убеждение, что ранние решения, которые человек принимает в детстве о том, какие у него должны быть сценарные паттерны поведения, мыслей и чувств, могут быть изменены. В транзактном анализе говорят: «Для того чтобы лучше себя чувствовать, необязательно болеть».
Рекомендуемые материалы
Основная цель этого психотерапевтического метода — актуализация «Взрослого» в человеке, реконструкция личности на основе пересмотра жизненных позиций, непродуктивных стереотипов поведения, формирование новой системы ценностей. В процессе терапии должен учитываться актуальный психологический конфликт и влияние социальных факторов.
Данный вид психотерапии основан на контрактном методе, при котором пациент и терапевт несут взаимную ответственность за достижение целей контракта. Эти цели направлены на выход из сценария и достижение автономии, получение пациентом новых Родительских посланий, создание интегрированного Взрослого.
Кроме того, транзактный анализ позволяет проанализировать игры людей, страдающих психосоматическими расстройствами, и преимущества (выигрыши), вытекающие из них. Выигрыш всех игр направлен в той или иной степени на укрепление самозащиты, получение привилегий, уклонение от близких отношений и уход от ответственности.
Основой транзактного анализа является модель эго-состояний («модель РВД»). Эго-состояние — это совокупность связанных друг с другом поведений, мыслей и чувств как способ проявления нашей личности в данный момент. Модель описывает три различных эго-состояния:
Р — эго-состояние Родителя: поведение, мысли и чувства, скопированные у родителей или парентальных фигур
В — эго-состояние Взрослого: поведение, мысли и чувства, которые являются прямым реагированием на «здесь и теперь»
Д — эго-состояние Ребенка (Дитяти): поведение, мысли и чувства, присущие детскому возрасту.
Модель эго-состояний позволяет устанавливать надежную связь между поведением, мыслями и чувствами.
2. Транзакции
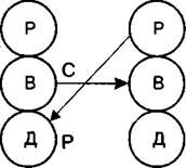
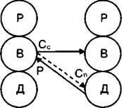
Транзакция имеет место тогда, когда я предлагаю вам какой-то вид коммуникации (общения), а вы отвечаете мне. Начало коммуникации называется стимулом, ответ — реакцией. Берн считал транзакцию «основной единицей социального взаимодействия». Общение между людьми всегда принимает форму подобных цепочек транзакций. Транзакции бывают параллельные (дополняющие), пересекающиеся и скрытые. Примеры схем транзакций приведены на рис. 3.

Пересекающаяся транзакция В—В, Р—Д: С — стимул, Р — реакция

Пересекающаяся транзакция Р—Д, В—В: С — стимул, Р — реакция

Двойная скрытая транзакция:
социальный уровень В—В, В—В;
психологический уровень Р—Д, Д—Р:
Сс, Сп — социальный и психологический
стимулы; Рс, Рп — социальная и
психологическая реакции

Угловая скрытая транзакция:
Сс, Сп — социальный
и психологический стимулы;
Р — реакция
Рис. 3. Схемы транзакций
3. Структурирование времени. При встречах людей в группах или парах существует всего шесть различных способов проводить свое время. Эрик Берн дал следующие определения этим шести видам структурирования времени: уход, ритуалы, времяпрепровождение, деятельность, игры, интимность. По мнению Берна, все эти способы способствуют удовлетворению структурного голода человека. Он предлагает рассматривать шесть форм социального поведения - четыре основные и два пограничных случая:
На оном полюсе пограничный случай - замкнутость, когда явная коммуникация между людьми отсутствует. Человек физически присутствует, но психологически - вне контакта, он будто бы окутан собственными мыслями.
Ритуалы - привычные, повторяющиеся действия, не не сущие смысловой нагрузки:
неформальный характер (приветствия, благодарности)
официальный (дипломатический этикет)
Цель этого типа общения - возможность провести время совместно, но не сближаясь.
Времяпрепровождения - полуритуальные разговоры о проблемах и событиях, известных всем. Оно всегда социально запрограммировано: говорить можно лишь в определенном стиле и только на допустимые темы.
Цель этого типа общения - структурирование времени не только ради поддержания приятельских отношений, но отчасти социальный отбор, когда человек ищет новые полезные знакомства.
Совместная деятельность - взаимодействие между людьми на работе, целью является эффективное выполнение поставленной задачи.
Игры - наиболее сложный тип общения, т.к. в играх каждая сторона неосознанно старается достичь превосходства над другой и получить вознаграждение. Особенность игр - скрытая мотивация их участников.
Близость - второй пограничный случай. Двустороннюю близостью можно определить как свободное от игр общение, предполагающее теплое заинтересованное отношение между людьми, исключающее извлечение выгоды.
Поглаживание определяется как единица транзакции. Можно классифицировать поглаживания следующим образом: вербальные или невербальные, позитивные или негативные, условные или безусловные.
Сценарий жизни. В детстве каждый из нас пишет свой собственный сценарий жизни. Основной сюжет мы пишем в раннем детстве до того, как научились говорить. Позднее лишь добавляем детали к нашему сценарию. К семи годам сценарий в основном написан, а в юношеском возрасте мы можем его пересмотреть. Будучи взрослыми, мы обычно не осознаем, что написали для себя сценарий жизни, но тем не менее в точности ему следуем. Без осознания этого факта мы устраиваем нашу жизнь таким образом, что движемся к той финальной сцене, которую определили в детстве. Наряду с моделью эго-состОяний концепция сценария жизни является краеугольным камнем транзактного анализа. Она особенно важна в психотерапевтической деятельности. При анализе сценария мы используем концепцию сценария жизни для понимания того, как люди могут неосознанно создавать себе проблемы и как они решают их.
Берн выдвинул идею о том, что еще на раннем этапе формирования сценария маленький ребенок уже имеет определенные представления о себе и окружающих его людях. Эти представления, по-видимому, остаются с ним всю жизнь и могут быть охарактеризованы следующим образом: «я — ОК» или «я — не ОК»; «ты — ОК» или «ты — не ОК».
Если объединить эти положения во всех возможных комбинациях, мы получим четыре установки о себе и других людях:
1.Я-ОК, ты-ОК;
2. Я - не ОК, ты - ОК;
3. Я - ОК, ты - не ОК;
4. Я — не ОК, ты — не ОК.
Игнорирование в транзактном анализе — это бессознательное игнорирование информации, связанной с решением какой-то проблемы.
Мировосприятие и искажение. Каждый человек воспринимает окружающий мир по-своему, и твое восприятие мира будет отличаться от моего. Мировосприятие определяют как структуру ассоциативных ответов, интегрирующую различные эго-состояния при реагировании на определенные стимулы. Мировосприятие предоставляет человеку целостный перцептуальный, концептуальный, эмоциональный и двигательный набор, который используется для определения себя, других людей и окружающего мира.
Для облегчения понимания этого формального определения мировосприятие предлагают рассматривать как «фильтр на реальность».
Симбиоз имеет место тогда, когда двое или более людей ведут себя так, как будто вместе образуют одного человека. Люди, принимающие участие в таких взаимодействиях, не используют все имеющиеся у них эго-состояния. Обычно один из них исключает Ребенка и использует лишь Родителя и Взрослого, а другой занимает противоположную позицию, оставаясь в Ребенке и блокируя два других эго-состояния. При вхождении в симбиоз его участники чувствуют себя более комфортно. Каждый играет роль, которую от него ожидают, однако этот комфорт достигается за определенную плату: находящиеся в симбиозе блокируют многие свои способности и возможности, присущие им как взрослым.
Чувство рэкета определяется как обычная эмоция, зафиксированная и поощряемая в детстве, переживаемая в самых различных стрессовых ситуациях и не способствующая взрослому решению проблем. Рэкет представляет собой набор сценарных поведений, используемых вне нашего осознания как средство манипулирования окружением и включающее в себя переживания (ощущение) человеком чувства рэкета.
Игры и анализ игр. Можно выделить несколько характерных особенностей, присущих играм.
Ещё посмотрите лекцию "3 Тонко бело полотенечко, хитромудро рукодельице" по этой теме.
1. Игры постоянно повторяются. Время от времени каждый человек играет в свою любимую игру, при этом игроки и обстоятельства могут меняться, однако паттерн игры всегда остается одним и тем же.
2. Игры проигрываются вне осознания Взрослого. Несмотря на то что люди играют в одни и те же игры, они не осознают этого. Лишь на заключительной стадии игры игрок может спросить себя: «Как это опять могло случиться со мной?» Даже в этот момент люди обычно не понимают, что они сами начали игру.
3. Игры всегда заканчиваются тем, что игроки испытывают рэкетные чувства.
4. Игроки во время игр обмениваются скрытыми транзакциями. В любой игре на психологическом уровне происходит нечто совершенно отличное от того, что имеет место на социальном уровне. Мы знаем об этом потому, что люди играют в свои игры снова и снова, находя партнеров, игры которых подходят к их играм.
5. Игры всегда включают в себя момент удивления или смущения. В этот момент игрок ощущает, что случилось нечто неожиданное.
Описание приведенных ниже техник предполагает достаточно глубокое знакомство с положениями транзактного анализа. Для этого можно порекомендовать следующие работы:
























