Алкалоиды
5.5. Алкалоиды
Из веществ, экстрагируемых органическим растворителем из щелочного раствора, наибольшее токсикологическое значение имеют алкалоиды.
Алкалоиды - органические азотистые основания сложного состава, встречающиеся в растениях (реже в животных организмах) и обладающие сильным фармакологическим действием.
Токсикологическое значение алкалоидов
Токсикологическое значение алкалоидов очень велико и связано со следующими факторами:
1. Алкалоиды обладают высокой токсичностью, но в то же время широко применяются в медицинской практике в качестве лекарственных веществ. Медицинское применение алкалоидов очень разнообразно, т.к. каждый из них обладает своим специфическим действием, иногда очень ценным и незаменимым.
Как лекарственные препараты алкалоиды проявляют фармакологический эффект в очень малых дозах. С другой стороны, алкалоиды обладают выраженной токсичностью и при превышении терапевтических доз могут являться причиной отравлений и даже смерти.
2. Некоторые алкалоиды применяются в сельском хозяйстве в качестве инсектицидов (никотин, анабазин). Их токсичность и доступность может также привести к отравлениям.
3. Наконец, широкое распространение алкалоидсодержащих растений (многие из них растут как сорняки), их доступность приводят к тому, что при поедании частей растений, содержащих алкалоиды, детьми или домашними животными, наблюдаются отравления различной степени тяжести, нередко со смертельным исходом. Известны отравления ягодами белладонны, плодами белены, дурмана, паслена сладко-горького, болиголова и других алкалоидсодержащих растений.
Рекомендуемые материалы
Отравления отдельными алкалоидами могут давать характерную картину: судороги при отравлении стрихнином, расширение зрачков при отравлении тропановыми алкалоидами. Однако, чаще всего картина отравления и, тем более, патологоанатомического исследования, нехарактерны. Поэтому главное значение при доказательстве отравлений алкалоидами приобретает химико-токсикологическое (судебно-химическое) исследование. При отравлении растениями большую помощь может оказать фармакогностическое исследование частей растений в содержимом желудка.
В зависимости от химического строения алкалоиды, имеющие токсикологическое значение, можно разделить на 10 групп:
- Производные пиридина, пиперидина и хинолизидина (жидкие алкалоиды):

а) моноциклические (конин, ареколин)
б) бициклические (анабазин, никотин)
в) полициклические (пахикарпин)
- Производные тропана (пиперидил-пирролидина)

атропин, гиосциамин, скополамин, кокаин
- Производные хинолина (бензопиридина)

хинин
- Производные изохинолина (бензопиридина)-группа опийных алкалоидов

а) производные фенантренизохинолина (морфин, кодеин, дионин, апоморфин, героин)
б) производные бензилизохинолина (папаверин, наркотин)
- Производные индола (бензопиррола)

стрихнин, бруцин, резерпин
- Производные пурина

кофеин, теобромин, теофиллин
- Производные 1-метилпирролизидина

саррацин, платифиллин
- Ациклические алкалоиды

9. Алкалоиды стероидоподобного строения (вератрин)
10. Алкалоиды неустановленного строения (аконитин)
Из перечисленных групп алкалоидов, согласно приказа № 1021 от 25.12.73 Министерства здравоохранения СССР, при проведении общего судебно-химического анализа обязательному исследованию подлежат: алкалоиды - никотин, пахикарпин; тропановые алкалоиды; производные изохинолина (опийные алкалоиды); производные индола - стрихнин.
Физико-химические свойства алкалоидов, которые имеют значение в химико-токсикологическом анализе.
1. Большинство алкалоидов - твердые кристаллические, реже аморфные вещества без запаха, горького вкуса. Исключение составляют жидкие алкалоиды кониин, ареколин, никотин, анабазин, пахикарпин, основания которых являются летучими маслянистыми жидкостями, обладающими характерным запахом.
2 Растворимость алкалоидов-оснований и их солей различна. Основания алкалоидов практически нерастворимы в воде и легко растворяются в органических растворителях - эфире, хлороформе, этаноле, дихлорэтане и др.
Наоборот, соли алкалоидов легко растворимы в воде и спирте, но, как правило, нерастворимы в органических растворителях.
Однако, алкалоиды-жидкости составляют исключение, их основания растворяются и в воде, и в органических растворителях, что приходится учитывать при проведении судебно-химического исследования на наличие алкалоидов.
Соли некоторых алкалоидов, например, хлористоводородные соли кокаина, наркотина, папаверина, йодистоводородная соль пахикарпина способны растворяться в хлороформе.
Алкалоиды с малой величиной константы диссоциации (КД=10-14 – 10-12 ) кофеин, теобромин, теофиллин, папаверин, стрихнин и бруцин - дают непрочные соли, гидролизующиеся даже в кислой среде, поэтому способны экстрагироваться из кислого водного раствора.
3. За счет гетероатома азота (третичного), содержащегося в молекуле, алкалоиды:
а) обладают основными свойствами и дают соли с кислотами аммиака и аминов).
б) вступают во взаимодействие с солями тяжелых металлов, с некоторыми кислотами с образованием нерастворимых осадков (реакции с общеалкалоидными реактивами и микрокристаллоскопические реакции).
4. Некоторые алкалоиды способны давать окрашенные соединения с кислотами за счет дегидратации. Окрашенные продукты могут получаться при окислительно-восстановительных реакциях алкалоидов, при реакциях конденсации.
5. Большинство алкалоидов, имеющих хромофорную систему, обладает характерным светопоглощением в УФ области спектра.
6. Алкалоиды имеют характерное светопоглощение в ИК - области спектра.
Химико-токсикологическое исследование на алкалоиды складывается из ряда этапов:
1. Изолирование алкалоидов из биологического объекта.
2. Очистка полученного извлечения от сопутствующих (балластных) веществ.
3. Идентификация алкалоидов.
4. Количественное определение.
1. Изолирование алкалоидов из биологического материала можно проводить общими методами для группы «нелетучих» ядов - подкисленным спиртом, водой, подкисленной щавелевой кислотой, либо частным методом -водой, подкисленной серной кислотой, по В.Ф. Крамаренко. Для жидких алкалоидов, основания которых летучи с водяным паром, в качестве метода изолирования может быть применена перегонка с водяным паром. Для некоторых алкалоидов, например, для пахикарпина, разработан метод электродиализа.
Оптимальное значение рН для изолирования алкалоидов на 1 стадии - при настаивании биологического материала с полярными растворителями (вода или этанол) - должно быть 2 - 3, чтобы перевести алкалоиды в солеобразные ионизированные формы, хорошо растворимые в воде. При этом степень ионизации a 100%. Кислая реакция среды, кроме того, способствует разрушению комплексов алкалоидов с белками, что увеличивает выход алкалоидов.
На 2 стадии изолирования - при экстрагирования алкалоидов из жидкой фазы неполярным органическим растворителем - рН устанавливается в пределах 9 - 10, что дает возможность перевести алкалоиды из солей в основания, т.е. молекулярные формы, хорошо растворимые в органических растворителях. При этом a → 0%.
Оптимальным экстрагентом для большинства алкалоидов является хлороформ, для некоторых алкалоидов, например, морфина – смесь хлороформ: н-бутанол (9:1).
2. Очистка извлечений от балластных веществ.
Грубая очистка извлечений, содержащих алкалоиды, от балластных веществ, в частности белков, предусмотрена в некоторых методах изолирования. Так, в методе Стаса-Отто проводится осаждение белков абсолютным этанолом, а в методе В.Ф. Крамаренко - сульфатом аммония. Как правило, грубая очистка приводит к потерям алкалоидов за счет их соосаждения с белками.
К более тонким методам очистки относятся:
1. Экстракционная очистка.
2. Хроматография.
3. Электродиализ
1. Экстракционная очистка связана с экстракцией балластных веществ органическими растворителями из кислого водного раствора. При этом алкалоиды в виде солей остаются в водной фазе. Для выделения очищенных алкалоидов из водного раствора водную фазу подщелачивают гидроксидом аммония или натрия. При этом алкалоиды-соли переходят в алкалоиды-основания, которые экстрагируют органическим растворителем (хлороформом). Органическую фазу отделяют, растворитель испаряют, и остаток исследуют на наличие алкалоидов. При сильно загрязненных извлечениях очистку повторяют. Экстракционная очистка связана с частичными потерями алкалоидов за счет их перераспределения между водной и органической фазами. Такой вид очистки предусмотрен в методе В.Ф. Крамаренко, где балластные вещества экстрагируются из кислой водной фазы эфиром.
2 . Хроматографические методы очистки являются более экономичными по сравнению с экстракционными. Используются следующие разновидности метода:
• Адсорбционная колоночная хроматография (применена Л.М. Власенко для выделения и очистки морфина).
• Гель-хроматография - разновидность колоночной хроматографии (предложена В.Ф. Крамаренко)
• Хроматография в тонком слое сорбента (ХТС)
• Электрофорез - применен для выделения и очистки резерпина Л.В. Песаховичем.
Наибольшего внимания из перечисленных методов очистки заслуживает ТСХ благодаря своей доступности, простоте выполнения и высокой разрешающей способности.
3. Электродиализ применен Н.И. Вестфаль для очистки пахикарпина и стрихнина при выделении их из биологического материала. При этом в диализаторе создается электрическое поле, под действием которого ускоряется переход алкалоидов в водное извлечение через полупроницаемую мембрану, которая не пропускает крупные молекулы белков и продукты их распада, за счет чего и достигается очистка.
3. Идентификация выделенных алкалоидов.
С этой целью могут быть использованы как химические, так и физико-химические методы анализа.
План судебно-химического исследования на наличие алкалоидов включает следующие этапы:
а) Анализ начинают с общеалкалоидных осадительных реакций - в качестве предварительных групповых проб.
б) Затем проводят ХТС-скрининг - также в качестве предварительного теста, но более специфичного, благодаря индивидуальным величинам Rf для различных алкалоидов.
в) Далее выполняют частные реакции на отдельные алкалоиды – реакции окрашивания и микрокристаллические реакции.
г) Снимают спектральные характеристики алкалоидов в УФ и ИК-областях спектра.
д) Для некоторых алкалоидов проводят фармакологические пробы.
Исследование с общеалкалоидными осадительными реактивами проводится в качестве предварительных испытаний на наличие алкалоидов.
Применение этих реактивов основано на свойстве алкалоидов давать даже в разбавленных растворах простые или комплексные соли с некоторыми кислотами, солями тяжелых металлов, комплексными иодидами и рядом других соединений.
В литературе описано большое количество осадительных реактивов для алкалоидов. В настоящее время их известно более 250.
Общеалкалоидные осадительные реактивы делят на 2 большие группы:
1. Реактивы, дающие с алкалоидами простые соли:
1. Раствор таннина, пикриновая, пикролоновая и некоторые другие органические кислоты.
2. Реактивы, дающие с алкалоидами комплексные соединения, которые делятся на 2 подгруппы:
а) реактивы, содержащие в своем составе металлоиды:
1) I2/КI - реактив Бушарда-Вагнера,
2) Н3РО4 .12МоО3 - фосфорномолибденовая кислота (реактив Зонненшейна),
3) Н3РО4 . 12WО3 . 2Н2О- фосфорновольфрамовая кислота (реактив Шейблера).
б) реактивы, содержащие в своем составе металлы:
1)ВI3/КI-реактив Драгендорфа (К[ВiI4]),
2) CdI3/KI - реактив Марме (K2[CdI4]),
3) HgI2/KI - реактив Несслера (К2[НgI4]),
4) H2[PtCl4] - платинохлористоводородная кислота,
5) Н[АuCl4] - золотохлористоводородная кислота.
Чувствительность реактивов неодинакова по отношению к различным алкалоидам. Наиболее чувствительными и чаще всего применяемыми в судебно-химической практике являются реактивы Шейблера, Зонненшейна, Драгендорфа и Бушарда-Вагнера (чувствительность реакций лежит в пределах 0,1-0,01 мкг)
Обычно предварительные испытания на наличие алкалоидов проводят с двумя-тремя общеалкалоидными реактивами, чтобы получить достоверные результаты (т.к. не все алкалоиды одинаково реагируют со всеми реактивами, и реакции обладают различной чувствительностью). Реакции выполняются с солями алкалоидов. Для того, чтобы перевести алкалоид-основание, в виде которого он выделяется из биологического материала, в алкалоид-соль, остаток после испарения хлороформа растворяют в 1-2 каплях 0,1 М раствора HCl. Затем только добавляют реактив и наблюдают за результатом. При наличии алкалоидов наблюдается выпадение осадков или помутнение капли.
Судебно-химическая оценка реакций.
Все общеалкалоидные осадительные реактивы не являются специфичными для алкалоидов. Кроме алкалоидов, осадки с указанными реактивами дают другие
вещества, содержащие гетероатом азота (третичный). Это могут быть синтетические лекарственные вещества, белки и продукты их распада, аминокислоты и многие другие соединения. Исходя из этого, реакциям с общеалкалоидными осадительными реактивами придается только отрицательное судебно-химическое значение.
Отрицательный результат реакций дает основание эксперту-химику сделать заключение о ненахождении алкалоидов и исключить их из дальнейшего хода исследования.
Положительный результат (образование осадка) свидетельствует о присутствии в исследуемом объекте алкалоидов либо других азотсодержащих веществ основного характера и требует проведения подтверждающих исследований.
ТСХ-скрининг алкалоидов более специфичен по сравнению с общеалкалоидными осадительными реактивами, хотя ему также придается ориентирующее значение в связи с неспецифичностью реагентов-проявителей алкалоидов на хроматограмме. Хроматографирование проводится в закрепленном тонком слое сорбента – силикагеля. В качестве подвижной фазы используются системы растворителей:
- диоксан:хлороформ:ацетон:25% раствор аммиака (47,5:45:5:2,5),
- толуол:ацетон:этанол:25% раствор аммиака (45:45:7,5:2,5) – в экспресс-анализа интоксикаций,
- ацетон:хлороформ:25% раствор аммиака (24:12:1).
Пробег растворителей составляет 10 см. Детектирование алкалоидов и синтетических лекарственных веществ основного характера на хроматограмме проводится реактивом Драгендорфа. В зонах расположения веществ появляются красно-оранжевые пятна.
Чувствительность обнаружения составляет десятые доли микрограмма.
Идентификацию алкалоидов и синтетических лекарственных веществ проводят по величине Rf относительно метчиков. В качестве метчиков используют хлороформные растворы стандартных веществ с определенной концентрацией. Величины Rf большинства токсикологически важных алкалоидов и азотсодержащих веществ основного характера приведены в справочных таблицах.
Необходимость использования метчиков связана с колебаниями значений Rf ввиду трудностей соблюдения абсолютно стандартных условий хроматографического разделения.
ХТС-скринингу придается отрицательное судебно-химическое значение.
При отсутствии пятен на хроматограмме можно сделать заключение о ненахождении алкалоидов и других азотсодержащих лекарственных веществ основного характера и исключить их из дальнейшего хода исследования.
Совпадение величины Rf испытуемого вещества с величиной Rf метчика дает возможность сделать предварительное заключение об их идентичности. Последующее подтверждение присутствия алкалоида проводится более специфичными реакциями и методами.
В качестве подтверждающих реакций после хроматографического исследования используют реакции окрашивания и микрокристаллические реакции.
1. Реакции окрашивания основаны на следующих процессах:
а) отнятие воды (дегидратация) под действием концентрированной серной кислоты (вератрин, бруцин и др.),
б) окисление алкалоидов (кофеин - мурексидная проба, хинин - таллейохинная проба),
в) одновременное окисление и отнятие воды (реакция с калия дихроматом в присутствии концентрированной кислоты серной - на стрихнин),
г) конденсация с альдегидами (реактив Марки с опийными алкалоидами).
Чаще всего для реакций окрашивания используются:
1. Концентрированная кислота серная.
2. Концентрированная кислота азотная.
3. Смесь концентрированных серной и азотной кислот (реактив Эрдмана).
4. Формалинсерная кислота (реактив Марки).
5. Раствор молибдата аммония в концентрированной серной кислоте (реактив Фреде).
6. Раствор ванадиевой кислоты (ванадата аммония) в концентрированной серной кислоте (реактив Манделина).
Реакции окрашивания выполняются с основаниями алкалоидов Соответствующий реактив наносится на сухой остаток после испарения хлороформного извлечения.
Реакции окрашивания могут быть специфичными для некоторых алкалоидов (бруцин, вератрин), или могут давать возможность обнаружения группы алкалоидов. Например, реактив Марки является групповым реагентом на опийные алкалоиды. Большинство реактивов, используемых для реакций окрашивания, имеют в своем составе концентрированную серную кислоту, поэтому при исследовании сильно загрязненных остатков может наблюдаться обугливание соэкстрактивных органических веществ. Поэтому степень чистоты остатка имеет немаловажное значение.
Чувствительность реакций окрашивания составляет от нескольких мкг до сотых долей микрограмма.
2. Микрокристаллические реакции являются очень ценными для доказательства алкалоидов в судебно-химическом анализе. Они основаны на способности алкалоидов образовывать кристаллы характерной формы при взаимодействии с некоторыми кислотами (пикриновой, пикролоновой, платино- и золотохлористоводородной - H2[PtCl4], Н[АuCl4]), солями тяжелых металлов и комплексными йодидами.
Судебно-химическая оценка метода.
Микрокристаллические реакции обладают высокой чувствительностью, надежностью и доказательностью. Результаты их наглядны, они могут быть зафиксированы в виде фотографий и представлены судебно-следственным органам в качестве приложения к акту судебно-химической экспертизы.
Определение кристаллооптических констант образующихся продуктов значительно повышает надежность микрокристаллических реакций. В области кристаллооптического анализа алкалоидов большая работа проведена профессором В.Т. Поздняковой (Львовский медицинский институт). В ее монографии «Микрокристаллоскопический анализ фармацевтических препаратов и ядов» (1968 г.) рекомендован целый ряд микрокристаллических реакций на алкалоиды, пригодных для исследования биологического материала. Определены кристаллооптические константы продуктов реакций (угол погасания, знак удлинения, показатели преломления).
Являясь ценным методом доказательства алкалоидов, микрокристаллические реакции, в то же время, не лишены недостатков:
при исследовании биологического материала присутствие соэкстрактивных веществ приводит к появлению кристаллов нехарактерной формы, нарушаются кристаллооптические константы, отмечается полиморфизм (присутствие одновременно кристаллов различных форм), поэтому требуется высокая степень чистоты выделенных веществ. Значительное влияние на надежность метода оказывает квалификация химика, навык в выполнении этих реакций.
УФ- и ИК-спектроскопия является одним из наиболее важных способов идентификации алкалоидов. Для доказательства алкалоидов, выделенных из биологического материала, чаще используют УФ-спектроскопию как наиболее чувствительный метод. Гетероциклы, лежащие в основе строения отдельных групп алкалоидов, часто имеют характерные максимумы поглощения в УФ-свете. Так, производные пиридина имеют максимум при длине волны 260 нм, хинолина (изохинолина) – при 250, 290, 310 нм, индола – 260 (255) и 300 нм, пурина – 220, 260, 270 нм.
Спектральные методы анализа требуют высокой степени чистоты выделенных веществ и сочетаются с предварительной очисткой.
Фармакологические пробы
В том случае, если алкалоид оказывает характерное действие на живой организм, могут быть выполнены фармакологические пробы на животных, которые проводятся квалифицированным специалистом-фармакологом. Например, при доказательстве атропина капают водный раствор испытуемого вещества в глаз кошки. При наличии атропина наблюдается характерное стойкое расширение зрачка. Стрихнин и никотин, нанесенные на спинку лягушки, вызывают ее гибель в характерной позе («молящаяся лягушка» - стрихнин, «сидящая» - никотин).
Фармакологические пробы оказывают существенную помощь химику-эксперту при доказательстве алкалоидов. В ряде случаев эти пробы не менее чувствительны и более специфичны, чем химические реакции.
4. Количественное определение алкалоидов проводится фотометрическим и спектрофотометрическим методами (в видимой и УФ-областях спектра).
1. Определение в УФ-области (200-400 нм) проводится по специфическому поглощению (абсорбции) самого алкалоида при наличии у него хромофорной системы. Интенсивность поглощения пропорциональна концентрации. Расчет ведут по уравнению закона Бугера-Ламберта-Бера.
Определение проводится на спектрофотометре, т.к. закон Бера справедлив только для монохроматического излучения.
2. Определение в видимой области (400-700 нм) основано на измерении абсорбции окрашенных комплексов алкалоидов с кислотными реагентами (пикриновой кислотой, тропеолином 00, метиловым оранжевым, бромфеноловым синим и т.п.). В этом случае образуются ионные ассоциаты, для образования которых большое значение имеет рН среды, т.к. в момент реакции и алкалоиды, и реагенты должны быть ионизированы. Окрашенные ионные ассоциаты могут быть экстрагированы из водной фазы органическим растворителем. Такое определение носит название экстракционно-фотометрического.
Окрашенные продукты могут быть получены также в реакциях окисления, восстановления, конденсации, азосочетания и некоторых других.
Измерение абсорбции можно вести как на фотоэлектроколориметрах, так и на спектрофотометрах.
Расчет концентрации проводится по градуировочному графику. При использовании спектрофотометрии можно использовать уравнение Бугера-Ламберта-Бера.
Фотометрические методы анализа позволяют определять очень малые (несколько микрограммов) количества алкалоидов, но требуют высокой степени чистоты выделенного вещества, поэтому сочетаются с ТСХ- очисткой полученных извлечений.
АЛКАЛОИДЫ, ПРОИЗВОДНЫЕ ТРОПАНА
5.5.1. АТРОПИН

Атропин (сложный эфир троповой кислоты и тропина) содержится в красавке и скополии карниолийской и в некоторых др. растениях. Экстрагируется органическими растворителями из щелочных растворов.
ТОКСИКОЛОГИЧЕСКОЕ ЗНАЧЕНИЕ
Токсикологическое значение атропина определяется как широким применением его в медицинской практике (возможность передозировки), так и широким распространением растении, содержащих производные тропана (отравление частями растений). В медицине атропин применяется в глазной практике как средство, расширяющее зрачок, а также как спазмолитическое при бронхиальной астме, спастических коликах и т. п.
Токсическое действие атропина и других алкалоидов этой группы характеризуется возбуждением, выражающимся в галлюцинациях, повышенной подвижности, громком бессознательном разговоре, смехе и т. п.; после такого возбуждения наступает угнетение. Атропин парализует также окончания парасимпатических нервов, иннервирующих мускулатуру (глаз, сердца, легких, желудка, кишечника), и железы (слюнные, потовые и др.). Впоследствии наступает расширение зрачков, сохраняющееся часто даже после смерти, нарушение зрения, сухость в носу, хрипота, кожа становится сухой и горячей; обнаруживаются и другие признаки отравления.
Смертельная доза для человека 0,1 г. Из организма атропин выводится с мочой.
Картина вскрытия трупа обычно малохарактерна. В доказательстве отравления важную роль может сыграть судсбно-фармакогностическое исследование остатков частей растений, если они найдены в желудке.
ФАРМАКОЛОГИЧЕСКОЕ ИСПЫТАНИЕ. Остаток после извлечения из щелочного раствора наносят на конъюнктиву глаза кошки или белой мыши. Для этого часть остатка растворяют в 1-3 каплях 1% раствора кислоты соляной и полученный раствор выпаривают без нагревания на часовом стекле. Затем остаток растворяют в 1-2 каплях воды и при помощи пипетки раствор наносят на слизистую оболочку (конъюнктиву) одного глаза кошки и наблюдают расширение зрачка. Другой глаз животного является контролем. Разница в величине зрачков особенно наглядна при поднесении к глазам яркого источника света. Расширение зрачка наступает обычно через 20-60 мин. Чувствительность реакции 0,02 мг. При очень малых количествах остатка реакцию удобнее производить на глазе белой мыши, но такое испытание требует большей подготовки и должно производиться фармакологом.
РЕАКЦИИ ОБНАРУЖЕНИЯ
1. Реакции с реактивами группового осаждения алкалоидов
1.1. Реакция переведения атропина в полинитропроизводное и доказательство последнего (реакция Витали – Морена)
В фарфоровую чашку вносят несколько капель хлороформного раствора исследуемого вещества и при комнатной температуре выпаривают досуха. К сухому остатку прибавляют 1 мл концентрированной азотной кислоты, жидкость на кипящей водяной бане выпаривают досуха. При этом сухой остаток приобретает жёлтую окраску. К сухому остатку с одной стороны прибавляют 3 – 5 капель ацетона, а с другой 1 – 2 капли 10% спиртового раствора калия гидроксида. При соприкосновении указанных растворов с сухим остатком появляется быстроисчезающая фиолетовая окраска.
Реакция неспецифична. Открываемый минимум 1 мкг.

тропин троповая кислота


1.2. Гидроксамовая проба
К сухому остатку (после испарения хлороформа) добавляют едкий натр до рН = 11, затем добавляют гидроксиламин и доводят рН до 1, с помощью концентрированной хлороводородной кислоты, и прибавляют 2 – 3 капли раствора железа (III) хлорида. Наблюдают красное окрашивание.
Реакция неспецифична.



1.3. Реакция с п–диметиламинобензальдегидом и кислотой серной
К 2 –3 каплям исследуемого раствора прибавляют 3 – 5 капель 0,5% раствора п–диметиламинобензальдегида в концентрированной серной кислоте. Жидкость взбалтывают, а затем нагревают на кипящей водяной бане 5 – 10 мин. При наличии атропина появляется красная окраска, переходящая в вишнёво–красную, а затем и фиолетовую.
Реакция неспецифична.
МИКРОКРИСТАЛЛИЧЕСКИЕ РЕАКЦИИ
1. Реакция с солью Рейнеке
Сухой остаток исследуемого вещества растворяют в капле 0,1 моль/л раствора хлороводородной кислоты и соединяют на предметном стекле с каплей свежеприготовленного 1% раствора соли Рейнеке, выделяется аморфный сиреневого цвета осадок, быстро кристаллизующийся при стоянии. Образование сростков кристаллов с ромбовидными концами указывает на наличие атропина в пробе.
Открываемый минимум 0,1 мкг.
2. Реакция с пикриновой кислотой
Сухой остаток исследуемого вещества на предметном стекле растворяют в капле 0,1 моль/л раствора хлороводородной кислоты и соединяют с каплей 0,5% раствора пикриновой кислоты. При наличии атропина через 15 – 20 мин образуются тонкие пластинки пикрата атропина светло–жёлтого цвета, отдельные и собранные в сростки.
Открываемый минимум 5 мкг.
3. Реакция с бромной водой
Остаток исследуемого вещества обрабатывают каплей 0,1 моль/л раствора хлороводородной кислоты и каплей насыщенного раствора брома. В ту же минуту выделяется осадок, состоящий из жёлтых и красно–бурых кристаллов рисообразной и игольчатой формы. При стоянии препаратов кристаллы растворяются.
Открываемый минимум 0,016 мкг.
ФАРМАКОЛОГИЧЕСКИЕ ИСПЫТАНИЯ
При нанесении исследуемого раствора на конъюнктиву глаза кошки (мыши) наблюдают расширение зрачка.
5.5.2. СКОПОЛАМИН

Скополамин относится к числу алкалоидов, которые содержатся в некоторых видах дурмана, скополии японской и др. Он представляет собой сложный эфир спирта скопина и троповой кислоты. Экстрагируется из щелочных растворов.
ТОКСИКОЛОГИЧЕСКОЕ ЗНАЧЕНИЕ
Скополамин применяется в качестве успокаивающего и снотворного средства при состояниях моторного возбуждения, маниакальных состояниях, бессоннице.
По физиологическому действию скополамин напоминает атропин. Однако у скополамина более выражено действие на центральную нервную систему, а парасимпатический эффект менее стоек и проявляется лишь при больших дозах препарата. Смертельной дозой считают 0,1 г скополамина, но отмечается и повышенная чувствительность к нему (Э. Штаркенштейп, Э. Рост и И. Поль).
РЕАКЦИИ ОБНАРУЖЕНИЯ
1. Реакции с общеалкалоидными реактивами
1.1. Реакция Витали – Морена
1.2. Гидроксамовая проба
1.3. Реакция с солью Рейнеке
1.4. Реакция с п–диметиламинобензальдегидом
(Методики выполнения реакций 1 – 4 см. атропин).
1.5. Реакция образования бромаурата скополамина
Несколько капель хлороформного раствора исследуемого вещества наносят на предметное стекло и выпаривают досуха. К сухому остатку прибавляют каплю 0,1 моль/л раствора хлороводородной кислоты и каплю реактива (смесь равных объёмов 5% раствора золотохлороводородной кислоты, концентрированной хлороводородной кислоты и ацетона). После этого к жидкости прибавляют 3 – 4 кристаллика калия бромида. При наличии скополамина образуются односторонние зубчатые дендриты светло–коричневого, жёлтого и красно–оранжевого цвета.
Открываемый минимум 3 мкг.
Эта реакция используется для отличия от атропина.
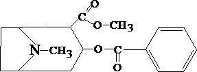
5.5.3. КОКАИН

Кокаин получают из различных видов эритроксилона. Кокаин – дважды сложный эфир спиртокислоты экгонина, метилового спирта и бензойной кислоты. Экстрагируется из щелочных растворов.
ТОКСИКОЛОГИЧЕСКОЕ ЗНАЧЕНИЕ
Кокаин является ценным местноанестезирующим средством и применяется в глазной практике и для смазывания слизистой оболочки носоглотки. При приеме кокаина может возникнуть тяжелейшая наркомания - кокаинизм. Кокаин очень токсичен. Смертельная доза его по Кункелю и Коберту, составляет 1,2 г, хотя смерть может наступить и от приема 0,1-0,3 г. Симптомы отравления кокаином разнообразны и характеризуются действием как на центральную, так и на периферическую нервную систему. Действие кокаина проявляется в виде опьяняющего веселья, галлюцинаций, позднее появляются бред, страх, притупление пли потеря ощущения вкуса, слуха, зрения, расширение зрачков и понижение аккомодационной способности, конвульсии, паралич.
Кокаин вызывал многочисленные отравления. В настоящее-время вследствие все большей замены его синтетическими анестетиками он сравнительно редко встречается как яд при химико-токсикологических исследованиях.
Патологоанатомическая картина малохарактерна. Судьба его в организме достаточно не изучена, .хотя известно, что в печени животных под влиянием ферментов он прежде всего омыляется сначала с образованием бензоплэкгопнна, а затем экгонина и бензойной кислоты, которые обладают меньшей, чем кокаин, фармакологической активностью. Обнаружение кокаина в органах трупа возможно только через непродолжительное время после наступления смерти. Максимальные сроки, указанные в литературе, не превышают
РЕАКЦИИ ОБНАРУЖЕНИЯ
1. Реакции с реактивами группового осаждения алкалоидов.
2. Реакции образования бензойно–этилового эфира.
К сухому остатку прибавляют 2 мл концентрированной серной кислоты и 2 мл этилового спирта. Смесь нагревают на водяной бане в течение 5 мин – ощущается характерный запах бензойно–этилового эфира, запах ощущается лучше, если к смеси прибавить 5 – 10 кратный объём холодной воды.
Реакция малочувствительна, её можно применять при исследовании порошков и т.п.


Микрокристаллические реакции
1. Реакции с калия перманганатом
Несколько капель хлороформного раствора исследуемого вещества наносят на предметное стекло и при комнатной температуре выпаривают досуха. Сухой остаток растворяют в 1 капле 10% раствора хлороводородной кислоты. Этот раствор также выпаривают досуха и при комнатной температуре. Операцию переведения основания кокаина в гидрохлорид повторяют 2 – 3 раза. Затем к сухому остатку прибавляют каплю 1% раствора калия перманганата. При наличии кокаина через 10 – 20 мин проявляются красно–фиолетовые кристаллы, имеющие форму прямоугольных пластинок.
Открываемый минимум 4 мкг.
2. Реакции образования хлорплатината кокаина
К сухому остатку исследуемого вещества на предметном стекле прибавляют каплю 0,1 моль/л раствора хлороводородной кислоты и каплю 10% раствора платинохлороводородной кислоты. При наличии кокаина образуются светло–жёлтые кристаллы, имеющие форму перистых дендритов.
Открываемый минимум 3 мкг.
ФАРМАКОЛОГИЧЕСКИЕ ИСПЫТАНИЯ
Для большей доказательности заключения о нахождении кокаина и объектах исследования производят опыт на животном. Остаток после испарении хлороформа из щелочной хлороформной вытяжки растворяют в 1-2 каплях 1% раствора соляной кислоты и выпаривают при комнатной температуре. Сухой остаток растворяют в нескольких каплях воды и вводят (как при исследовании на наличие атропина) в глаз кошки, лягушки или белой мыши. В присутствии кокаина наблюдается расширение зрачка. При исследовании таких объектов, как остатки порошка, пилюли (по не внутренние органы трупа и не рвотные массы), каплю раствора наносят на язык - появляется характерное онемение, потеря чувствительности.
В присутствии кокаина наблюдается расширение зрачка, при нанесении на язык (если исследуется остаток порошка, пилюли, но не внутренние органы трупа и рвотные массы) появляется характерное онемение, потеря чувствительности.
ПРОИЗВОДНЫЕ П–АМИНОБЕНЗОЙНОЙ КИСЛОТЫ
5.5.4. НОВОКАИН

Синтетический заменитель кокаина. Бесцветные кристаллы без запаха, горько вяжущего вкуса. При нанесении чистого препарата на кончик языка возникает чувство онемения. Экстрагируется из щелочных растворов.
ТОКСИКОЛОГИЧЕСКОЕ ЗНАЧЕНИЕ
Новокаин является местноанестезирующим средством. Отравления им связаны тишь с его медицинским применением (передозировка, идиосинкразия к препарату и т. п.). Будучи введен в организм человека, он быстро поступает в кровь и в течение 24 часов выделяется мочой. При этом только - 2% его выводится в неизмененном состоянии. Около 90% вещества выделяется в виде метаболитов продукта его гидролиза п-аминобензойной кислоты.
РЕАКЦИИ ОБНАРУЖЕНИЯ
1. Реакции с реактивами группового осаждения алкалоидов
2. Гидроксамовая проба
(См. обнаружение атропина)
3. Реакция образования азокрасителя
К исследуемому раствору прибавляют 1% раствор хлороводородной кислоты, а затем по каплям 1% раствор натрия нитрита до тех пор, пока не начнёт окрашиваться в синий цвет йодкрахмальная бумажка. Через 5 мин жидкость подщелачивают 2% раствором едкого натра до щелочной реакции и прибавляют щелочной раствор b–нафтола. При наличии новокаина раствор приобретает красно–оранжевую окраску.


3. Реакция с калия перманганатом
К исследуемому раствору добавляют калия перманганат. При наличии новокаина происходит моментальное обесцвечивание.
Микрокристаллические реакции
1. Реакции с реактивом Драгендорфа
От прибавления капли реактива Драгендорфа к сухому остатку исследуемого вещества образуется осадок. При наличии новокаина кристаллический осадок состоит из прямоугольных пластинок красно–бурого цвета.
2. Реакции с реактивом, состоящим из раствора свинца йодида в калия йодиде
К исследуемому раствору прибавляют раствор свинца йодида в калия йодиде. Полученный осадок, состоящий из рыхлых скоплений кристаллов, сравнивают под микроскопом с кристаллами, полученными из чистого новокаина.
5.5.5. ДИКАИН

Синтетический заменитель кокаина. Экстрагируется органическими растворителями из щелочных растворов. Дикаин - желтоватый кристаллический порошок без запаха, горьковатого вкуса, хорошо растворим в воде и спирте, нерастворим в эфире.
Изолируется из биологического материала подкисленным спиртом или подкисленной водой, а затем органическим растворителем из щелочных растворов.
ТОКСИКОЛОГИЧЕСКОЕ ЗНАЧЕНИЕ
Дикаин широко применяется в медицинской практике как сильное местноанестезирующее средство. Он токсичнее новокаина в несколько раз. Имели место отравления, связанные с ошибочным введением дикаина вместо новокаина.
РЕАКЦИЯ ОБНАРУЖЕНИЯ
1. Реакции с реактивами группового осаждения алкалоидов
2. Гидроксамовая проба
(См. обнаружение атропина)
3. Реакция Витали – Морена
(См. обнаружение атропина)
4. Реакция с раствором натрия нитрита
К 1 капле исследуемого раствора прибавляют каплю 30% раствора натрия нитрита. При наличии дикаина в растворе образуется осадок, состоящий из тонких, раздвоенных на концах призм.
Открываемый минимум 0,01 мкг.
Реакция используется для отличия от новокаина (с новокаином осадок не выделяется).

АЛКАЛОИДЫ ПРОИЗВОДНЫЕ 1–МЕТИЛПИРРОЛИЗИДИНА
5.5.6. ПЛАТИФИЛЛИН

Является одним из алкалоидов крестовников семейства сложноцветных. Экстрагируется из щелочных растворов.
Реакции обнаружения
1. Реакции с реактивами группового осаждения алкалоидов
2. Гидроксамовая проба
(См. обнаружение атропина)

платинецин сенециониновая кислота

3. Микрокристаллическая реакция образования рейнеката платифиллина
Остаток исследуемого вещества растворяют в капле 0,1 моль/л раствора хлороводородной кислоты и соединяют на предметном стекле с каплей свежеприготовленного 1 % раствора соли Рейнеке. Через 10 – 15 мин выделяются игольчатые кристаллы, собранные в сфероиды.
Открываемый минимум 2,7 мкг.
4. Микрокристаллическая реакция образования бромаурата платифиллина
При наличии платифиллина образуются сростки светло–коричневых игольчатых кристаллов в виде снопов и пучков.
Открываемый минимум 4 мкг.
АЛКАЛОИДЫ, ПРОИЗВОДНЫЕ ХИНОЛИНА
5.5.7. ХИНИН

Хинин является одним из главных алкалоидов хинной коры. Исследование на наличие хинина производится при специальных заданиях или наводящих данных. Экстрагируется из щелочных растворов.
ТОКСИКОЛОГИЧЕСКОЕ ЗНАЧЕНИЕ
Применение хинина в медицине основано на его специфической токсичности но отношению к плазмодиям - возбудителям малярии. Являясь средством, усиливающим сокращение матки, хинин неоднократно приводил к криминальным отравлениям. Смерть при отравлении хинином наступает от паралича дыхания и сердца.
Побочное общетоксическое действие хинина как лекарственного средства, проявляющееся при больших дозах в сильной головной боли, шуме в ушах, поносе, кожных сыпях, расстройстве зрения и слуха и т. п., служило поводом к детальному изучению химии хинина и синтезу антималярийных препаратов, содержащих в своей основе гетероциклическую систему хинина, а также акридина.
Будучи введен в организм, хинин претерпевает ряд превращений п выводится с мочой и частично с калом. Метаболитами хинина в моче являются 2-гидроксихинин и 2-гидроксихинин, т. е. продукты окисления хинина в положении 2 хинуклидинового ядра и в положении 2-хинолнна.
РЕАКЦИЯ ОБНАРУЖЕНИЯ
1. Реакции с реактивами группового осаждения алкалоидов
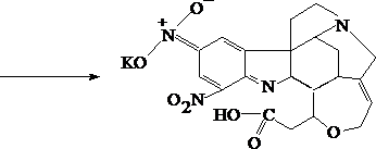
2. Обнаружение хинина по флуоресценции
Часть исследуемого хлороформного раствора помещают в пробирку, хлороформ испаряют при нагревании на теплой водяной бане. К сухому остатку добавляют 1 мл воды очищенной и 1 мл разведённой серной кислоты. При наличии хинина появляется голубая флуоресценция, особенно хорошо наблюдаемая в УФ–свете. От прибавления к этой жидкости нескольких капель 0,1 моль/л раствора едкого натра интенсивность голубой флуоресценции ослабевает, а затем (при рН = 9) появляется фиолетовая флуоресценция.
Если к раствору хинина, подкисленному серной кислотой, прибавить несколько капель бромной воды, разбавленной десятикратным объёмом воды (до полного тушения флуоресценции), а затем прибавить несколько капель 25 % раствора аммония гидроксида до щелочной реакции, то появляется жёлто–зелёная флуоресценция.
3. Талейохинная реакция
Сухой остаток в фарфоровой чашке (после удаления хлороформа при нагревании на теплой водяной бане) смешивают с 1 мл воды очищенной. К раствору добавляют 2 – 3 капли (избегая избытка) насыщенной бромной воды, 2 – 3 капли 25 % раствора аммония гидроксида и 0,5 мл хлороформа. При наличии хинина наблюдают ярко–зелёное окрашивание хлороформного слоя; при подкислении окрашивание меняется, становится сначала синим (нейтральная реакция среды), а затем фиолетовым или красным (кислая среда).
Формула талейохина выглядит следующим образом:

4. Эритрохинная реакция
Несколько капель исследуемого раствора выпаривают досуха. К сухому остатку прибавляют 1 мл воды, затем 1 – 2 капли 1% раствора серной кислоты, каплю бромной воды и каплю 10 % раствора калия гексациано - (III) феррата. Полученную жидкость хорошо взбалтывают, а затем к ней по каплям прибавляют аммиак до щелочной реакции. При наличии хинина появляется розовая или красно–фиолетовая окраска, которая при взбалтывании с хлороформом переходит в хлороформный слой.
Открываемый минимум 10 мкг.
5. Реакция с раствором аммония роданида
К сухому остатку на предметном стекле добавляют каплю 0,1 моль/л раствора кислоты хлороводородной и каплю 10% раствора аммония роданида. Через 10 – 15 мин под микроскопом наблюдают игольчатые бесцветные кристаллы, собранные в сростки в виде характерных пучков.
АЛКАЛОИДЫ, ПРОИЗВОДНЫЕ ИНДОЛА
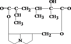
5.5.8. РЕЗЕРПИН

Главный алкалоид раувольфии змеиной. Представляет собой дважды сложный эфир, который при щелочном гидролизе распадается на метиловый спирт, резерпиновую и триметоксибензойную кислоты. Под влиянием света, воздуха, окислителей легко разлагается. Экстрагируется из щелочных растворов.
ТОКСИКОЛОГИЧЕСКОЕ ЗНАЧЕНИЕ
Резерпин и различные его препараты имеют широкое применение в медицине.
Резерпин токсичен. Он относится к нейролептическим веществам с выраженным «антипсихотическим» седативным действием. Резерпин обладает способностью кумулироваться в организме. При его приемах со стороны центральной нервной системы и Желудочно-кишечного тракта могут возникать разнообразные симптомы.
Неправильное применение препаратов, содержащих резерпин, его передозировки его неоднократно служили причиной отравлений, в ряде случаев с летальным исходом. Как на симптомы отравления резерпином и его препаратами указывают на глубокий длительный: сон, адинамию, сонливость, суженные.зрачки,- одутловатость лица, гиперемию кожи, тошноту, рвоту, нарушение психики и т.д.
Патологоанатомическая картина при отравлении резерпином нехарактерна. Одним из метаболитов резерпина (в моче и каловых массах) является продукт
РЕАКЦИЯ ОБНАРУЖЕНИЯ
1. Реакции с реактивами группового осаждения алкалоидов
2. Реакция флуоресценции
Несколько капель хлороформного раствора исследуемого вещества вносят в фарфоровую чашку и выпаривают досуха. К сухому остатку прибавляют 2 – 3 капли 1% раствора кислоты уксусной, затем жидкость облучают УФ–светом. Появление жёлто–зелёной флуоресценции жидкости указывает на наличие резерпина.
3. Реакция с ванилином в концентрированной серной кислоте
К раствору исследуемого вещества прибавляют 2 – 3 капли 2% раствора ванилина в концентрированной серной кислоте. При наличии резерпина появляется фиолетовая окраска.
Открываемый минимум 0,6 мкг.
Микрокристаллические реакции
1. Реакции с раствором аммония роданида
Сухой остаток растворяют в 1 капле 1% раствора уксусной кислоты. К полученному раствору прибавляют каплю 5% раствора аммония роданида. В присутствии резерпина образуются сростки кристаллов в виде дендритов (иногда через 2 ч).
Реакция специфична. Открываемый минимум 0,1 мкг.
2. Реакции с раствором ртути (II) хлорида в растворе натрия хлорида
Несколько капель исследуемого раствора наносят на предметное стекло и прибавляют каплю реактива (раствор, содержащий 1,0 г натрия хлорида и 0,5 г ртути (II) хлорида в 10 мл воды). Через 45 мин, а иногда и более минут образуются сферолиты из узких мечевидных пластинок.
Открываемый минимум 0,1 мкг.
5.5.9. СТРИХНИН

Это главный алкалоид различных видов чилибухи. Стрихнин экстрагируется органическими растворителями, как из кислых, так и из щелочных растворов.
ТОКСИКОЛОГИЧЕСКОЕ ЗНАЧЕНИЕ
В медицине широко применяется нитрат стрихнина. Использование нитрата стрихнина для уничтожения хищников приводило к случайным отравлениям, например, в результате смешивания стрихнина с порошками от головной боли и т. п. В местах произрастания растений рода Strichnos части его издавна использовались для уничтожения крупных хищников. Встречались случаи отравления семенами.
Известны случаи применения стрихнина в качестве орудия убийства.
Стрихнин относится к числу сильных ядов, действующих на нервную систему. Смертельной дозой его считают 0,05-0,1 - 0,12-0,2 г. Дети в первые дни после рождения малочувствительны к этому алкалоиду. Стрихнин быстро всасывается слизистыми оболочками и медленно выделяется из организма, обладает свойством кумулироваться. Действует стрихнин главным образом на спинной и продолговатый мозг, повышает рефлекторную возбудимость спинномозговых центров, что клинически выражается в приступах титанических судорог, следующих друг за другом через небольшие промежутки времени, сознание сохраняется. Смерть наступает при явлениях асфиксии.
При отравлениях применяют производные барбитуровой кислоты, хлоралгидрат, эфир, производят промывание желудка раствором калия перманганата, что необходимо учитывать при проведении исследования.
Патологоанатомическая картина при отравлениях стрихнином нехарактерна. Отмечаются явления асфиксии с мелкими кровоизлияниями во внутренние органы. В органах трупа стрихнин довольно хорошо сохраняется. Данные различных авторов и наш опыт позволяют полагать, что этот алкалоид можно обнаружить в трупе даже через несколько лет (до 6 лет).
РЕАКЦИИ ОБНАРУЖЕНИЯ
1. Реакции с реактивами группового осаждения алкалоидов
2. Реакция окисления калия бихроматом в концентрированой кислоте серной
В фарфоровую чашку вносят несколько капель хлороформного раствора исследуемого вещества и выпаривают досуха. К сухому остатку прибавляют каплю концентрированной серной кислоты (смесь с водой 5 : 1). Содержимое перемешивают, а затем прибавляют кристаллик калия бихромата, который передвигают в растворе стеклянной палочкой. При наличии стрихнина наблюдается синее окрашивание в виде струек. Через некоторое время эта окраска переходит в фиолетовую, красную, а затем исчезает.
Открываемый минимум 1 мкг.
Этой реакции мешают бруцин, хинин, морфин, азотная кислота и др.
3. Реакция с натрия ванадатом в концентрированой серной кислоте (реактив Манделина)
К сухому остатку в фарфоровой чашке добавляют 1 каплю реактива Манделина. Наблюдают сине–фиолетовую окраску, постепенно переходящую в красную.
4. Реакция Витали – Морена
(Технику выполнения см. атропин) При этой реакции стрихнин даёт красно–фиолетовую окраску, а атропин – фиолетовую.

5. Гидроксамовая проба
(См. атропин).
Микрокристаллические реакции
1. Реакция с платинохлороводородной кислотой
Каплю исследуемого хлороформного раствора испаряют на предметном стекле, остаток обрабатывают каплей 1% раствора азотной кислоты и испаряют досуха при комнатной температуре. Сухой остаток растворяют в капле воды очищенной и добавляют каплю 10% раствора платинохлороводородной кислоты. Через 5 – 10 мин образуются бесцветные призмы, у которых 2 грани расположены Х–образно (напоминают конверты).
Лекция "Часть 10" также может быть Вам полезна.
Открываемый минимум 0,5 мкг.
2. Реакция с раствором пикриновой кислоты
Остаток на предметном стекле растворяют в капле 0,1 моль/л раствора кислоты хлороводородной и добавляют 0,5% раствора пикриновой кислоты. Сразу же образуется жёлтый осадок, состоящий из мелких игольчатых кристаллов с закрученными концами, располагающихся отдельно и в виде сростков.
Открываемый минимум 0,17 мкг.
БИОЛОГИЧЕСКОЕ ИСПЫТАНИЕ
При нанесении исследуемого раствора на спинку лягушки наблюдается при наличии стрихнина усиление рефлексов, тетанические судороги, затем в состоянии столбняка лягушка погибает в характерной позе.






















