Понятие случайного процесса
Теория марковских случайных процессов
1. Понятие случайного процесса.
Случайным процессом называется множество или семейство случайных величин, значения которых индексируются временным параметром. Например, число студентов в аудитории, атмосферное давление или температура в этой аудитории как функции времени являются случайными процессами.
Случайные процессы находят широкое применение при изучении сложных стохастических систем как адекватные математические модели процесса функционирования таких систем.
Основными понятиями для случайных процессов являются понятия состояния процесса и перехода его из одного состояния в другое.
Значения переменных, которые описывают случайный процесс, в данный момент времени называются состоянием случайного процесса. Случайный процесс совершает переход из одного состояния в другое, если значения переменных, задающих одно состояние, изменяются на значения, которые определяют другое состояние.
Число возможных состояний (пространство состояний) случайного процесса может быть конечным или бесконечным. Если число возможных состояний конечно или счетно (всем возможным состояниям могут быть присвоены порядковые номера), то случайный процесс называется процессом с дискретными состояниями. Например, число покупателей в магазине, число клиентов в банке в течение дня описываются случайными процессами с дискретными состояниями.
Если переменные, описывающие случайный процесс, могут принимать любые значения из конечного или бесконечного непрерывного интервала, а, значит, число состояний несчетно, то случайный процесс называется процессом с непрерывными состояниями. Например, температура воздуха в течение суток является случайным процессом с непрерывными состояниями.
Для случайных процессов с дискретными состояниями характерны скачкообразные переходы из одного состояния в другое, тогда, как в процессах с непрерывными состояниями переходы являются плавными. Далее будем рассматривать только процессы с дискретными состояниями, которых часто называют цепями.
Если Вам понравилась эта лекция, то понравится и эта - 7 Культура Древнего Египта.
Обозначим через g(t) случайный процесс с дискретными состояниями, а возможные значения g(t), т.е. возможные состояния цепи, - через символы E0, E1, E2, … . Иногда для обозначения дискретных состояний используют числа 0, 1, 2,... из натурального ряда.
Случайный процесс g(t) называется процессом с дискретным временем, если переходы процесса из состояния в состояние возможны только в строго определенные, заранее фиксированные моменты времени t0, t1, t2, …. Если переход процесса из состояния в состояние возможен в любой, заранее неизвестный момент времени, то случайный процесс называется процессом с непрерывным временем. В первом случае, очевидно, что интервалы времени между переходами являются детерминированными, а во втором - случайными величинами.
Процесс с дискретным временем имеет место либо, когда структура системы, которая описывается этим процессом, такова, что ее состояния могут изменяться только в заранее определенные моменты времени, либо когда предполагается, что для описания процесса (системы) достаточно знать состояния в определенные моменты времени. Тогда эти моменты можно пронумеровать и говорить о состоянии Ei в момент времени ti.
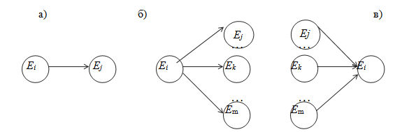
Случайные процессы с дискретными состояниями могут изображаться в виде графа переходов (или состояний), в котором вершины соответствуют состояниям, а ориентированные дуги - переходам из одного состояния в другое. Если из состояния Ei возможен переход только в одно состояние Ej, то этот факт на графе переходов отражается дугой, направленной из вершины Ei в вершину Ej (рис.1,а). Переходы из одного состояния в несколько других состояний и из нескольких состояний в одно состояние отражается на графе переходов, как показано на рис.1,б и 1,в.

Рис.1. Фрагменты графа переходов.
























