Анализ эффективности инновационной деятельности
Анализ эффективности инновационной деятельности
5.1 Система показателей эффективности инновационной деятельности.
Организация анализа эффективности инновационной деятельности.
Основы антикризисного управления организацией.
Санация инновационной организации.
Рекомендуемые материалы
5.1 Система показателей эффективности инновационной деятельности
Жизненный путь новшеств может развиваться по одному из трех путей:
1) накопление в инновационной организации (ИО);
2) превращение в ИО в инновацию;
3) продажа как товара.
Эффективность деятельности организации выражается через экономические и финансовые показатели. В условиях рыночных отношений не может быть унифицированной системы показателей. Каждый инвестор самостоятельно определяет эту систему исходя из особенностей инновационного проекта, профессионализма специалистов и менеджеров и других факторов.
К системе показателей предъявляются следующие требования:
1) показатели должны охватывать процессы на всех стадиях жизненного цикла товара;
2) показатели должны формироваться на перспективу, минимум на 3—5 лет, на основе ретроспективного анализа деятельности организации;
3) показатели должны опираться на данные по конкурентоспособности конкретных товаров на конкретных рынках за конкретный период;
4) важнейшие показатели должны быть выражены абсолютными, относительными и удельными величинами (например, прибыль, рентабельность товара и производства, удельная цена товара);
5) показатели должны быть состыкованы со всеми разделами плана;
6) показатели должны отражать все аспекты финансовой деятельности организации (доходы, расходы, страхование, ликвидность ценных бумаг и средств, налоги, эффективность использования ресурсов и др.);
7) проектирование окончательных показателей должно осуществляться на основе многовариантных расчетов, с определением степени риска и устойчивости финансовой деятельности, с использованием достаточного и качественного объема информации, характеризующей технические, организационные, экологические, экономические и социальные аспекты деятельности организации.
Одним из основных показателей эффективности и стабильности функционирования организации является показатель ее устойчивости.
Внедрение новшеств может дать четыре вида эффекта (рис.1):
• экономический эффект;
• научно-технический эффект;
• социальный эффект;
• экологический эффект.
За счет получения экономического эффекта в форме прибыли ИО осуществляет комплексное развитие и повышение благосостояния сотрудников.
Остальные виды эффекта несут в себе потенциальный экономический эффект. Например, разработанное ИО изобретение как новшество высшего уровня может дать экономический эффект либо после его продажи, либо после реализации товара ИО, разработанного на основе изобретения. Или, повышение степени удовлетворения физиологических потребностей сотрудников ИО и их семей сократит потери рабочего времени по болезням, повысит производительность труда, качество воспроизводства трудовых ресурсов и т. д., что не посчитаешь сразу в форме экономического эффекта. Снижение выбросов вредных компонентов в атмосферу, почву, воду сохраняет экосистему, увеличивает продолжительность жизни человека и т. д. Этот эффект невозможно сразу перевести в прибыль.
Приведенные примеры позволяют сделать следующий вывод: экономический эффект разработки, внедрения у себя (превращения в инновацию) или продажи новшеств может быть потенциальным или фактическим (реальным, коммерческим), а научно-технический, социальный и экологический эффекты могут иметь форму только потенциального экономического эффекта. По сути, если принимать в расчет только конечные результаты внедрения или продажи новшеств, то любой вид инновационной деятельности можно оценить в стоимостном выражении. Критериями конечной оценки здесь являются: время получения фактического экономического эффекта и степень неопределенности его получения (или уровень риска вложения инвестиций в инновации).
Альтернативные варианты решений должны приводиться в сопоставимый вид по 8 факторам:
¾ фактору времени;
¾ фактору качества;
¾ фактору масштаба;
¾ фактору освоенности объекта в производстве;
¾ методу получения информации;
¾ условиям применения объекта;
¾ фактору инфляции;
¾ фактору риска (прежде всего технологического и коммерческого) и неопределенности.

Рисунок 1. Система показателей эффективности инновационной деятельности
При проведении анализа эффективности инновационной деятельности организации следует учитывать перечисленные факторы сопоставимости вариантов анализа и оценки.
В настоящее время в соответствии с рекомендациями ЮНИДО (Организации Объединенных Наций по промышленному развитию) в зарубежной практике применяются следующие показатели оценки эффективности инновационной деятельности:
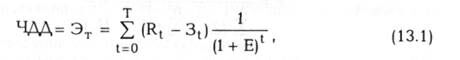
1) Чистый дисконтированный доход (ЧДД)

где Т — горизонт расчета, равный номеру шага расчета, на котором производится ликвидация объекта;
Rt — результаты, достигнутые на t-ом шаге расчета;
3t — затраты, осуществляемые на этом шаге;
Е — норма дисконта;
2) внутренняя норма прибыли (IRR) или коэффициент дисконтирования;
3) простая норма прибыли

где NP — чистая прибыль;
Р — проценты на заемный капитал;
I — общие инвестиционные издержки;
4) простая норма прибыли на акционерный капитал

где Q — акционерный капитал;
5) коэффициент финансовой автономности проекта (Кфа)

где Сс — собственные средства;
Z — заемные средства;
6) коэффициент текущей ликвидности (Кл)

где Оа — сумма оборотных активов проекта;
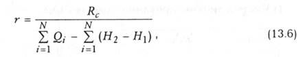
7) в качестве интегрального показателя, характеризующего эффективность инновационной деятельности организации, может быть использован коэффициент результативности работы (r)

где Rc — суммарные затраты по законченным работам, принятым (рекомендованным) для освоения в серийном производстве;
Q — фактические затраты на НИОКР за i-й год;
N — число лет анализируемого периода;
H1 — незавершенное производство на начало анализируемого периода в стоимостном выражении;
Н2 — то же на конец анализируемого периода.
К этим показателям следует включить еще показатель срока окупаемости инвестиций в инновационный проект (То)

где Пч — чистая годовая прибыль, получаемая в результате функционирования объекта.
5.2 Организация анализа эффективности инновационной деятельности
Целью анализа (аудита) эффективности инновационной деятельности ИО является изучение ее механизма и определение отдачи вложенных инвестиций. Из этой цели вытекают следующие задачи анализа:
1. Анализ обоснованности идеи и структуры проблемы.
2. Анализ рациональности структуры ИО.
3. Анализ профессионализма руководителя ИО, руководителей инновационных проектов, их команд.
4. Анализ правовой обоснованности проектов и государственной поддержки инновационной деятельности.
5. Анализ финансового и материально-технического обеспечения ИО.
6. Анализ качества нормативно-методического обеспечения ИО.
7. Анализ качества информационного обеспечения ИО.
8. Анализ совокупности примененных при проектировании научных подходов и современных методов менеджмента.
9. Анализ использования конкурентных преимуществ ИО.
10. Анализ структуры портфеля новшеств и инноваций (покупные новшества, новшества для внедрения в ИО, новшества для накопления, новшества собственной разработки, новшества для продажи).
11. Анализ качества экспертизы проектов.
12. Анализ качества расчетов показателей эффективности инновационной деятельности ИО.
13. Анализ системы мотивации и ответственности инновационной деятельности.
Анализ эффективности инновационной деятельности ИО следует осуществлять с соблюдением следующих принципов:
¾ принципы диалектики (системный подход, динамический подход, принцип проявления необходимости и случайности, принцип единства и борьбы противоположностей, принцип перехода количества в качество и качества в новое количество, принцип "отрицание отрицания");
¾ принцип единства анализа и синтеза;
¾ принцип ранжирования;
¾ принцип обеспечения сопоставимости альтернативных вариантов;
¾ принцип оперативности;
¾ принцип количественной определенности и др.
Основные этапы анализа эффективности инновационной деятельности ИО:
1) выявление проблемы, формулирование целей и задач анализа;
2) формирование временной творческой группы для проведенияианализа;
3) разработка проекта программы анализа;
4) подготовка и издание приказа по ИО о целях, группе, ее правах и обязанностях, программе анализа;
5) выбор методов выполнения работ;
6) сбор и обработка необходимой информации, документов и т. д;
7) проведение анализа по перечисленным выше задачам и системе показателей;
8) подготовка, согласование и утверждение отчета о проделанной работе;
9) принятие мер по результатам анализа.
Методы анализа (сравнения, балансовый, индексный, факторный и др.).
5.3 Основы антикризисного управления организацией
Устранение с рынка обанкротившихся предпринимательских структур — непременное условие эффективного функционирования рыночного механизма. Однако предотвратить банкротство, обеспечить продолжительное процветание этих структур — задача значительно более сложная и важная. Решению именно этой задачи подчинена система мер, именуемая антикризисным управлением. Часто под таким управлением понимают либо управление в условиях кризиса, либо управление, направленное на вывод организации из кризисного состояния, в котором оно находится.
По определению А. П. Градова, антикризисное управление — это:
• анализ состояния макро- и микросреды и выбор предпочтительной миссии фирмы;
• познание экономического механизма возникновения кризисных ситуаций и создание системы сканирования внешней и внутренней сред фирмы с целью раннего обнаружения "слабых сигналов" об угрозе приближения кризиса;
• стратегический контролинг деятельности фирмы и выработка стратегии предотвращения ее несостоятельности;
• оперативная оценка и анализ финансового состояния фирмыи выявление возможности наступления несостоятельности (банкротства) ;
• разработка предпочтительной политики поведения в условиях наступившего кризиса и вывода из него фирмы;
• постоянный учет риска предпринимательской деятельности и выработка мер по ее снижению.
Банкротство предприятия является результатом одновременного совместного негативного действия внешних и внутренних факторов, доля "вклада" которых может быть различной. Так, по имеющимся оценкам, в развитых странах с устойчивой политической и экономической системой к банкротству на 1/3 причастны внешние факторы и на 2/3 — внутренние. Внешние факторы могут быть международными и национальными. 90% различных неудач малых американских фирм связывают с неопытностью менеджеров, некомпетентностью руководства и его несоответствием изменившимся объективным условиям, злоупотреблениями, что ведет в целом к неэффективному управлению, к принятию ошибочных решений, невозможности приспособления к рыночным условиям.
Последствия негативного воздействия тех или иных факторов можно предвидеть, а значит своевременно принять соответствующие меры к их устранению или ослаблению, если постоянно отслеживать признаки возможного ухудшения финансового состояния предприятия. Эти признаки, разумеется, не имеют абсолютной силы и должны рассматриваться в совокупности с другими показателями хозяйственной деятельности. Они являются поводом к тщательному исследованию финансового состояния как со стороны руководителей и акционеров, так и заказчиков и кредиторов.
Источником информации для подобной диагностики может служить официальная бухгалтерская отчетность, особенно если ее сопоставить с данными за несколько отчетных периодов.
Для предотвращения кризиса большое значение имеет, как отмечает А. А. Николенко , своевременное обнаружение признаков предстоящей кризисной ситуации. Ранними признаками или симптомами грядущего неблагополучия инновационной организации могут быть:
• отрицательная реакция партнеров по бизнесу, поставщиков, кредиторов, банков, потребителей продукции на те или иные мероприятия, проводимые ИО (например, структурные реорганизации, открытие или закрытие подразделений ИО, филиалов, дочерних фирм, их слияние, частая и необоснованная смена деловых партнеров, выход на новые рынки и другие изменения в стратегии ИО);
• задержки с предоставлением бухгалтерской отчетности и ее качество, что может свидетельствовать либо о сознательных действиях, либо о низком уровне квалификации персонала;
• изменения в статьях бухгалтерского баланса со стороны пассивов и активов и нарушения определенной их пропорциональности;
• увеличение задолженности ИО поставщикам и кредиторам;
• уменьшение доходов ИО и падение прибыльности, обесценивание акций ИО, установление нереальных (высоких или низких) цен на свою продукцию;
• внеочередные проверки ИО, ограничение коммерческой деятельности ИО органами власти, отмена и изъятие лицензий и т. д.
Одним из показателей состояния ИО является ее устойчивость.
Устойчивость организации (Z) американские экономисты рекомендуют определять по обобщенному показателю*
Z = 1,2X1 + 1,4X2+ 3,3X3+ 0,6X4+ 1,0X5
где X1 — показатель эффективности рабочего капитала;
Х2 — показатель эффективности накопленного капитала;
Х3 — рентабельность производства;
Х4 — показатель задолженности;
Х5 — показатель эффективности активов.

где Оср — оборотные средства;
Окр — краткосрочные обязательства;
А — общие активы;

где Кнак — накопленный капитал (остаток прошлых лет);

где Пбал — балансовая прибыль

где К — капитал фирмы (основные фонды плюс нематериальные активы);
Д — общий долг фирмы;

где V — общий объем продаж
Перечисленные показатели одновременно могут служить показателями эффективности функционирования фирмы.
Показатель устойчивости фирмы позволял американским экономистам выявлять до 90% корпораций — потенциальных банкротов за год до банкротства, до 70% — за 2 года и 50% — за 5 лет до банкротства. Если Z > 3, то фирма устойчивая, меньше 1,8 — неустойчивая.
Поскольку в условиях жесткой конкуренции требуется качественно прогнозировать свое будущее, то представляется, что предложенная система показателей сможет помочь менеджерам и инвесторам найти твердый руль финансового корабля.
Основные фазы кризисного процесса могут быть представлены в следующей последовательности:
• стратегический кризис, обусловленный низким качеством стратегического менеджмента 2—3 и более лет тому назад;
• тактический кризис, обусловленный низким качеством тактического маркетинга и производственного менеджмента;
• кризис недостаточной обеспеченности ИО ресурсами, кредитами и т. д.;
• неплатежеспособность ИО, ее убыточность;
• реструктуризация ИО;
• банкротство и ликвидация ИО.
Главной целью создания и приведения в действе системы антикризисного управления ИО является проведение структурной перестройки всего народного хозяйства в соответствии с потребностями рынка. Эта цель реализуется после решения следующих задач:
• предотвращение банкротств ИО и их социальных последствий;
• оказание государственной финансовой поддержки ИО для проведения санационных мероприятий;
• выявление неперспективных и не обладающих реальными возможностями для восстановления платежеспособности ИО и их ликвидация.
Как показывает мировая практика, указанные цели и задачи достигаются при соблюдении следующих основных принципов антикризисного управления ИО:
а) установление единых стабильных и надежных для всех хозяйствующих субъектов коммерческих взаимоотношений, прав и обязанностей в ситуации несостоятельности или банкротства ИО;
б) предотвращение возможности должникам, выполняющим обязательства, возобновление своей деятельности;
в) введение системы мер безопасности при банкротстве и экономическом спаде;
г) создание системы мер для возрождения бизнеса;
д) создание механизма регулирования финансовых дел выполняющих свои обязательства должников в целях их оздоровления;
е) создание коммерческой и правовой систем для поощрения работы надежных партнеров и формирование приемлемой процедуры разрешения финансовых споров;
ж) ограждение правовой и административной структур от возможностей ускорения процесса развала ИО и насаждения споров и тяжб;
з) сохранение в тех случаях, где это возможно и экономически целесообразно, перспективных ИО, имеющих финансовые трудности;
и) создание таких механизмов, которые будут представлять и надежно защищать интересы всех участников системы антикризисного управления (кредиторы, персонал и т. д.) в случае ликвидации обанкротившейся ИО и позволять справедливо распределять активы должника.
5.4 Санация инновационной организации
Санация (оздоровление предприятия-должника) — реорганизационная процедура, когда собственником предприятия-должника, кредитором (кредиторами) или иными лицами оказывается финансовая помощь предприятию-должнику.
Санация должна быть нацелена на сохранение предприятия (организации) путем разработки и реализации комплексной программы его оздоровления и развития. Комплексная программа должна включать мероприятия по выводу предприятия из кризиса, необходимые для их реализации ресурсы, сроки начала и окончания работ, перечень исполнителей, ожидаемый результат и другие сведения.
Мероприятия по выводу инновационной организации (ИО) из кризиса подразделяются на стратегические (на 2 и более лет), тактические (годовые) и оперативные (рис. 2).

Рисунок 2 Мероприятия по выводу ИО из кризиса
Как считает А. А. Николенко, для достижения целей финансового оздоровления ИО-должника необходимо разработать и осуществить комплекс организационно-финансовых мер (рис. 3).

Рисунок 3. Организационные и финансовые меры санации ИО
Имеются показатели для оценки удовлетворительности структуры предприятия, к которым относятся.
1) коэффициент текущей ликвидности;
2)коэффициент обеспеченности собственными средствами;
3)коэффициент восстановления (утраты) платежеспособности.
Коэффициент текущей ликвидности характеризует общую обеспеченность предприятия оборотными средствами для ведения хозяйственной деятельности и своевременного погашения срочных обязательств предприятия.
Коэффициент обеспеченности собственными средствами характеризует наличие собственных оборотных средств у предприятия необходимых для его финансовой устойчивости.
Коэффициент восстановления (утраты) платежеспособности характеризует наличие реальной возможности у предприятия восстановить либо утратить свою платежеспособность в течение определенного периода.
Механизм реализации процедур банкротства ИО приведен на рис. 4.

Рисунок 4. Механизм реализации процедур банкротства ИО
К предприятию-должнику предусмотрено применение нескольких процедур:
1) реорганизация (внешнее управление и санация), при которой арбитражный суд назначает арбитражного управляющего, получающего все функции по управлению предприятием. Основанием для возбуждения дела о несостоятельности предприятия является заявление либо самого должника, либо кредиторов, либо прокурора;
2) ликвидация предприятия, которая может быть принудительной по решению арбитражного суда либо добровольной, но под контролем кредиторов, которые осуществляют продажу оставшегося имущества должника;
3) мировое соглашение, оно может быть заключено между должником и конкурсными кредиторами на любом этапе производства по делу о банкротстве. Мировое соглашение подлежит утверждению арбитражным судом и считается принятым, если за его заключение высказалось не менее двух третей (по сумме требований) конкурсных кредиторов четвертой и последующих очередей.
В случае реорганизации ИО составляется план финансового оздоровления (бизнес-план) из следующих основных разделов :
1. Общая характеристика ИО.
2. Краткие сведения по плану финансового оздоровления.
3. Анализ финансового состояния ИО.
Обратите внимание на лекцию "3 Экономический смысл производной и некоторых теорем дифференциального исчисления".
4. Мероприятия по восстановлению платежеспособности и поддержке эффективной деятельности.
5. Рынок и конкуренция.
6. Деятельность в сфере маркетинга.
7. Планирование инновационных процессов и обеспечения ресурсами.
8. Финансовый план.
9. Приложения.





















