Формирование портфеля новшеств и инноваций
10. Формирование портфеля новшеств и инноваций
10.1 Анализ конкурентоспособности организации и ее конкурентов.
10.2 Анализ финансового состояния организации с позиций конкурентоспособности.
10.3 Анализ действия закона конкуренции.
10.4 Анализ факторов конкурентного преимущества во внешней среде организации.
10.5 Анализ привлекательности товаров организации.
10.6 Общий анализ организации (SWOT-анализ).
10.7 Анализ стратегического положения организации и привлекательности рынков (модель Мак-Кинси 7S).
Рекомендуемые материалы
10.8 Анализ конкурентных преимуществ организации (модель М. Портера).
10.9 Формирование политики ценообразования.
10.10 Содержание портфеля новшеств и инноваций.
10.1 Анализ конкурентоспособности организации и ее конкурентов
Инновационная деятельность организации направлена прежде всего на повышение конкурентоспособности выпускаемых объектов (продукции, услуг, новшеств в любой форме).
Конкурентоспособность — это свойство объекта, характеризующееся степенью удовлетворения им конкретной потребности по сравнению с аналогичными объектами, представленными на данном рынке. Конкурентоспособность определяет способность выдерживать конкуренцию в сравнении с аналогичными объектами на данном рынке.
Для измерения конкурентоспособности анализируемого объекта необходима качественная информация, характеризующая полезный эффект данного объекта и объектов конкурентов за нормативный срок их службы и совокупные затраты за жизненный цикл объектов.
Полезный эффект — это отдача объекта, интегральный показатель как система используемых в конкретных условиях частных показателей качества объекта, удовлетворяющих конкретную потребность. Другими словами, полезный эффект — это совокупность свойств объекта, используемых для выполнения конкретной работы конкретным потребителем, а качество — это потенциальный полезный эффект для нескольких групп потребителей.
Полезный эффект объектов можно измерять в натуральных единицах (например, производительность однопараметрических машин и оборудования), денежном выражении, либо в условных баллах (полезный эффект объектов, характеризующихся несколькими, дополняющими друг друга, важнейшими параметрами). Основные методы прогнозирования полезного эффекта: нормативный, экспериментальный, параметрический, экспертный.
Количественную оценку конкурентоспособности однопараметрических объектов (например, машин и оборудования) можно осуществлять по формуле
Ка.о.=(Еа.о./Ел.о.)* k1* k2* kn (10.1)
где Ка.о — конкурентоспособность анализируемого образца объекта на конкретном рынке, доли единицы;
Еа.о — эффективность анализируемого образца объекта на конкретном рынке, единица полезного эффекта/единица валюты;
Ел.о — эффективность лучшего образца-конкурента, используемого на данном рынке;
k1 • k2 • kn — корректирующие коэффициенты, учитывающие конкурентные преимущества.
Эффективность объекта рассчитывается по формуле
Е=Пс/Зс (10.2)
где Пс — полезный эффект объекта за нормативный срок его службы в условиях конкретного рынка, единица полезного эффекта;
Зс — совокупные затраты за жизненный цикл объекта в условиях конкретного рынка, единица валюты (рубли, доллары, марки и т.д.).
Полезный эффект однопараметрических машин рекомендуется определять по формуле
Пс=Σ Пч*Фг*К1*К2*К3*Кn (10.3)
где Пч — часовая паспортная производительность машины;
Фг — годовой плановый фонд времени работы машины;
K1...Kn — коэффициенты, характеризующие несоответствие показателей качества машины требованиям потребителя, невыгодность их выполнения, низкую организацию эксплуатации и ремонта машины. Эти показатели снижают полезный эффект машины. К ним относятся: коэффициент безотказности машины, коэффициент снижения производительности машины по мере ее старения, показатели ухудшения безотказности, ремонтопригодности и другие показатели качества машины, показатели уровня шума, вибрации и другие показатели эргономичности и экологичности машины, показатель организационно-технического уровня производства у потребителей машины.
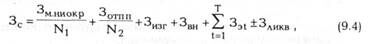
Совокупные затраты за жизненный цикл единицы машины можно определить по формуле

где Зм ниокр — сметная стоимость маркетинговых исследований, научно-исследовательских и опытно-конструкторских работ;
N1— количество машин, которое намечается выпустить по заданной конструкторской документации;
Зотпп — сметная стоимость организационно-технологической подготовки производства новой машины;
N2 — количество машин, которое намечается выпустить по данной технологической документации; Ni = N2, если один изготовитель данной машины;
Зизг — затраты на производство машины (без амортизации предыдущих затрат);
Звн — затраты на внедрение машины у потребителя, включающие транспортные расходы, сметную стоимость строительно-монтажных и пусковых работ;
Т — нормативный срок службы машины;
3эt — затраты на эксплуатацию, техническое обслуживание и ремонты машины в году t (без амортизации предыдущих затрат);
Зликв — затраты на демонтаж и ликвидацию (реализацию) элементов основных производственных фондов (включая саму машину), выводимых в связи с освоением и внедрением новой машины. Если эти затраты меньше дохода от реализации выводимых элементов фондов, то в формуле они должны быть со знаком минус, если больше - со знаком плюс.
Конкурентоспособность организации (Корг) можно определять в статике и динамике. В статике конкурентоспособность организации определяется с учетом весомости товаров и рынков, на которых они реализуются, по следующей формуле:

где аi - удельный вес i-ro товара организации в объеме продаж за анализируемый период, доли единицы, i = 1, 2 ... n, Σ аi = 1;
bj - показатель значимости рынка, на котором представлен товар организации. Для рынков промышленно развитых стран рекомендуется "b" принимать, равной единице, для остальных стран - 0,5;
Кij - конкурентоспособность i-го товара организации на j-м рынке (см. формулу 9.1).
По результатам проведенного анализа делаются выводы о развитости или неразвитости конкуренции на товарном рынке, целесообразности и формах воздействия антимонопольных органов на изменение ситуации.
В. А. Бородин предлагает следующую схему действий по оценке конкурентов (рис. 1).

Рисунок. 1. Схема действий по оценке конкурентов
Для проведения анализа конкурентоспособности следует применять научные подходы к менеджменту, современные методы анализа, прогнозирования и оптимизации, SWOT-анализ, модель Мак-Кинси 7S, модель М. Портера и др. Эти методы будут рассмотрены и применены ниже. Методы анализа состояния организации — GAP, LOTS, PIMS и др.
10.2. Анализ финансового состояния организации с позиций конкурентоспособности
Анализ финансового состояния фирмы следует начинать с анализа следующих факторов:
¾ качество нормативно-технических документов по системе менеджмента;
¾ качество стратегии фирмы;
¾ степень использования конкурентных преимуществ при разработке стратегии фирмы;
¾ динамику циклов прибыльности товаров фирмы за прошлый период и на перспективу;
¾ эффективность использования ресурсов;
¾ динамику конкурентоспособности товаров фирмы на конкретных рынках и фирмы в целом;
¾ устойчивость функционирования фирмы
Качество нормативно-методических документов определяется их полнотой по составу и содержанию, обоснованностью рекомендуемых методов, требований, показателей, научных подходов, принципов.
Качество стратегии фирмы определяется ее составом и содержанием, количеством и глубиной применяемых научных подходов и современных методов.
Анализ динамики циклов прибыльности товаров фирмы за прошлый период и на перспективу должен дать ответ на следующие вопросы: Как живут наши родители за счет вчерашней прибыли? Как мы (дети) живем сегодня? Как мы будем жить завтра? Для ответа на эти вопросы строятся циклы прибыльности каждого товара фирмы (рис. 2).

Рисунок .2. Динамика циклов прибыльности товара фирмы
Конкурентоспособность товаров и фирмы следует анализировать по конкретным рынкам и прогнозировать альтернативные варианты товаров одного назначения и сегментов для них. Количество альтернативных вариантов товаров и сегментов рынка должно быть не менее трех.
Одним из показателей устойчивости функционирования фирмы и гарантированного ее развития является безубыточность годовой программы выпуска товара, ее минимальное значение.

Рисунок 3. Схема определения границы безубыточной программы товара
Для нахождения и анализа границ безубыточности конкретных товаров необходимо автоматизировать учет расхода ресурсов.
Методика расчета показателя устойчивости фирмы.
После анализа перечисленных факторов, предопределяющих сегодняшнее состояние фирмы, выполняется анализ и оценка финансового состояния фирмы. За основу системы показателей, характеризующих финансовое состояние фирмы, рекомендуется принимать следующие:
• показатели ликвидности активов;
• показатели привлечения заемных средств;
• показатели оборачиваемости ресурсов;
• рентабельность продукции и производства;
• устойчивость фирмы.
Конкретная система финансовых показателей фирмы определяется особенностями отрасли, выпускаемой продукции, размером фирмы и другими факторами.
10.3. Анализ действия закона конкуренции
Закон конкуренции — закон, в соответствии с которым в мире происходит объективный процесс повышения качества продукции и услуг, снижения их удельной цены. Закон конкуренции — объективный процесс "вымывания" с рынка некачественной, дорогой продукции.
Закон конкуренции длительное время может действовать только при наличии качественного антимонопольного законодательства. Во всех промышленно развитых странах введены антимонопольные или антитрестовские законы, ограничивающие действия монополистов (например, в США — в 1890 г.).
В чем суть антимонопольного законодательства? Оно регламентирует нормы, ограничивающие монополистическую деятельность, принципы ведения конкурентной борьбы на рынке, полномочия государственных органов по надзору за соблюдением соответствующих правовых норм.
10.4 Анализ факторов конкурентного преимущества во внешней среде организации
Конкурентное преимущество организации (фирмы) — превосходство, высокая компетентность фирмы в какой-либо области деятельности или в выпуске товара по сравнению с конкурирующими фирмами. Фактор конкурентного преимущества — конкретный компонент (фактор) внешней или внутренней среды фирмы, по которому она превосходит конкурирующие фирмы. Факторы могут быть тактическими и стратегическими.
Тактический фактор конкурентного преимущества фирмы — конкретный компонент (фактор) внешней или внутренней среды фирмы, по которому она превосходит или будет превосходить в ближайший период (не более года) конкурирующие фирмы.
Стратегический фактор конкурентного преимущества фирмы — конкретный компонент (фактор) внешней или внутренней среды фирмы, по которому она может превзойти конкурирующие фирмы после выполнения в перспективе конкретных условий, определяющих превосходство анализируемого компонента фирмы по сравнению с конкурирующими фирмами.
Для нахождения факторов конкурентного преимущества необходимо выполнить следующую работу (укрупненно):
1) внутреннюю и международную сегментацию рынка по данной группе потребностей;
2) определение и анализ факторов и уровня конкурентоспособности товаров фирмы и конкурирующих фирм;
3) определение факторов и уровня конкурентного преимущества фирмы по конкретным регионам и странам на текущий момент;
4) прогнозирование факторов конкурентоспособности товаров фирмы и конкурирующих фирм по выбранным рынкам и срокам;
5) прогнозирование стратегических факторов конкурентного преимущества фирмы по тем же рынкам и срокам;
6) предварительную оценку ресурсных возможностей фирмы для реализации стратегических конкурентных преимуществ фирмы, некоторые из которых могут быть переходящими или стабильными, другие — новыми, требующими значительных инвестиций.
Имеются и другие классификации факторов макросреды или факторов конкурентного преимущества.
Например, М. Портер выделяет пять факторов, определяющих конкуренцию в отрасли:
¾ соперничество между имеющимися конкурентами;
¾ угроза появления новых конкурентов;
¾ способность покупателей торговаться;
¾ угроза появления товаров и услуг-заменителей;
¾ способность поставщиков торговаться.
М. Портер выделяет также пять наиболее типичных новаций, дающих конкурентное преимущество:
¾ новые технологии;
¾ новые или изменившиеся запросы покупателей;
¾ появление нового сегмента рынка;
¾ изменение стоимости или наличия компонентов производства;
¾ изменение правительственного регулирования.
По перечисленным факторам и характеристикам макросреды каждой фирме самостоятельно очень трудно сформулировать стратегические факторы конкурентного преимущества. Фирма самостоятельно не в состоянии заниматься разработкой стратегических факторов конкурентного преимущества по макросреде.
К отраслям инфраструктуры региона относятся:
¾ рыночная инфраструктура;
¾ мониторинг окружающей природной среды;
¾ здравоохранение;
¾ наука и образование;
¾ культура;
¾ торговля;
¾ общественное питание;
¾ транспорт и связь;
¾ пригородное сельское хозяйство;
¾ строительство;
¾ жилищно-коммунальное хозяйство;
¾ бытовое обслуживание;
¾ промышленность.
10.5. Анализ привлекательности товаров организации
Ж.-Ж. Ламбен отмечает, что в последние годы в промышленно развитых странах (Япония, США и др.) наблюдается увеличение удельного веса рискованных высоких технологий ("хай-тек"). Так, жизненный цикл товаров, изготовленных по высокой технологии, примерно в 3 раза короче, чем у обычных промышленных товаров, и составляет 3—5 лет.
Купер в 1981 г. опубликовал причины успеха и провала 195 промышленных товаров. Из них 102 случая фирмы считали успехом, а 93 — провалом. Были выявлены три ключевых фактора успеха:
¾ превосходство товара над своими конкурентами, которое воспринимается потребителями;
¾ маркетинговые "ноу-хау" фирмы, т.е. лучшее понимание рынка, поведения покупателей, темпов принятия новинки, длительности ЖЦТ и размеров потенциального рынка;
¾ технологическое "ноу-хау", т.е. высокая синергия НИОКР и производства.
Пятнадцать правил успеха товара (Купер, 1993)
1. Превосходный товар: товар дифференцированный, уникальный в своем роде, приносящий покупателю дополнительные преимущества,
2. Сильная маркетинговая ориентация: направленность разработки на рынок и на клиента.
3. Глобальная концепция товара: замысел и разработка товара с самого начала ориентированы на мировой рынок.
4. Интенсивный первичный анализ: еще до начала разработки выделяются кадровые и финансовые ресурсы на углубленное технико-экономическое обоснование.
5. Точная формулировка концепции: перечень конкретных задач, выбор целевого рынка, набора свойств и позицирования товара.
6. Структурированный план освоения: переход от намеченного позицирования к плану операционного (тактического) маркетинга в терминах цены, сбыта и коммуникации.
7. Межфункциональная координация: новый товар — дело всей фирмы; нужно организовать интерфейс НИОКР — Производство — Маркетинг (тактический).
8. Поддержка руководства: вместо прямого вмешательства нужна специальная структура поддержки инновации, ресурсы и правильное видение процесса.
9. Использование синергии: реализовать сильные стороны, используя технологический и коммерческий синергизм.
10. Привлекательность рынков.
11. Предварительный отбор решений.
12. Контроль за ходом разработки.
13. Доступ к ресурсам, инвестициям.
14. Роль фактора времени: быстрый приход на рынок — это источник конкурентного преимущества, но эта цель должна достигаться не в ущерб качеству.
15. Многоступенчатая поэтапная процедура разработки.
10.6 Общий анализ организации (SWOT-анализ)
Для проведения общего анализа организации в литературных источниках приводится SWOT-анализ (рис. 4). Однако этот метод приводится без детализации. Попытаемся восполнить этот пробел.

Рисунок 4. Схема применения SWOT-анализа
SWOT-анализ является одним из первых этапов стратегического планирования. Идея SWOT-анализа заключается в следующем: а) принятие усилий для превращения слабостей в силу и угроз в возможности; б) развитие сильных сторон фирмы в соответствии с ее ограниченными возможностями.
SWOT-анализ предлагается разбить на ряд этапов.
На первом этапе SWOT-анализа глубоко изучаются силы - конкурентные преимущества фирмы в следующих областях:
¾ патентоспособность выпускаемых товаров;
¾ цена товаров;
¾ прогрессивность технологии;
¾ квалификация кадров;
¾ стоимость ресурсов, применяемых фирмой;
¾ возраст основных производственных фондов;
¾ географическое расположение фирмы;
¾ инфраструктура;
¾ система менеджмента (в т. ч. маркетинга);
¾ сила конкуренции на "входе" и "выходе" системы менеджмента фирмы и др.
На втором этапе SWOT-анализа изучаются слабости фирмы. Он начинается с анализа конкурентоспособности выпускаемых товаров по всем рынкам. Строится дерево показателей конкурентоспособности: на 0-м уровне — комплексный показатель конкурентоспособности конкретного товара; на 1-м уровне — полезный эффект (интегральный показатель качества), совокупные затраты, условия применения товара; на 2-м уровне — конкретные показатели и т. д. Рассчитываются показатели в соответствии с построенным деревом. Собираются или прогнозируются аналогичные показатели по конкурирующим товарам. Определяются слабости по изученным на первом этапе конкурентным преимуществам фирмы.
На третьем этапе SWOT-анализа изучаются факторы макросреды фирмы (политические, экономические, технологические, рыночные и др.) с целью прогнозирования стратегических и тактических угроз фирме и своевременного предотвращения убытков от них.
На четвертом этапе изучаются стратегические и тактические возможности фирмы (капитал, активы и т. п.), необходимые для предотвращения угроз, уменьшения слабостей и роста силы.
На последнем, пятом этапе SWOT-анализа согласуются силы с возможностями для формирования проекта отдельных разделов стратегии фирмы.
10.7. Анализ стратегического положения организации и привлекательности рынков (модель Мак-Кинси 7S)
Название модели идет от названия компании и семи факторов, семи слов, начинающихся в английском языке на букву "S" (strategy — стратегия, skill — навыки, shared values — общепризнанные ценности, structure — структура, systems — системы, staff — кадры, style — стиль). Очередность изменения составляющих (сверху вниз) показана на рис 5.

Рисунок 5. Факторы, влияющие на развитие фирмы по модели Мак-Кинси
Стратегическое положение фирмы рекомендуется оценивать по следующим показателям:
¾ относительный размер;
¾ рост;
¾ доля рынка;
¾ позиция;
¾ сравнительная рентабельность;
¾ чистый доход;
¾ технологическое состояние;
¾ образ (реальность, воспринимаемая извне);
¾ руководство и люди.
Привлекательность рынка рекомендуется оценивать по следующим показателям:
¾ абсолютный размер;
¾ рост рынка;
¾ широта рынка;
¾ ценообразование;
¾ структура конкуренции;
¾ отраслевая норма прибыли;
¾ социальная роль;
¾ влияние на окружающую среду;
¾ юридические ограничения
¾ .
После анализа перечисленных показателей строится матрица - стратегическое положение/привлекательность рынка и определяется стратегия фирмы (рис.6).
Представленная на рис. 6 матрица в последнее время подвергается суровой критике. Критика сосредоточена, главным образом, на последствиях применения рекомендаций, которые делались на основе матриц.

Рисунок 6. Матрица "Стратегическое положение/ привлекательность рынка" компании "Мак-Кинси"
10.8. Анализ конкурентных преимуществ организации (модель М. Портера)
М. Портер обосновывает, что:
¾ стержнем экономической политики страны должна быть теория конкурентной стратегии;
¾ работа с фирмами своей страны гарантирует более устойчивое преимущество, чем если полагаться только на иностранных поставщиков;
¾ глобальная (международная) стратегия фирмы — одно из непременных условий успеха в конкуренции. На международном рынке конкурируют фирмы, а не страны;
¾ движущей силой конкуренции является стимул к нововведениям;
¾ визитная карточка страны определяется ее удельным весом в мировом хозяйстве, наличием конкурентных преимуществ по конкретным отраслям и способностью их развития, способностью находить адекватные ответы социальным, технологическим и другим вызовам эпохи.
Анализ конкурентных преимуществ рекомендуется проводить в следующие этапы:
¾ анализ истории успешных отраслей промышленно развитых и новых индустриальных стран;
¾ структурный анализ отраслей;
¾ нахождение позиции фирмы в глобальном масштабе; определение стратегии фирмы; определение цепочки ценности фирмы;
¾ анализ факторов удержания конкурентных преимуществ фирмы; анализ детерминантов конкурентного преимущества страны; разработка, обоснование и согласование мер по повышению конкурентоспособности страны, отраслей, отдельных фирм;
¾ аудит и мотивация достижения запланированных результатов.
Структурный анализ отраслей М. Портер рекомендует осуществлять на основе анализа пяти сил, определяющих конкуренцию (рис. 7).

Рисунок 7. Пять сил, определяющих конкуренцию в отрасли
Значение каждой из пяти сил конкуренции определяется структурой отрасли, т.е. ее основными экономическими и техническими характеристиками.
Позицию фирмы в отрасли определяют ее конкурентные преимущества, которые укрупненно делятся на два основных вида:
¾ более низкие цены;
¾ дифференциация товаров.
Низкие издержки отражают способность фирмы разрабатывать, выпускать и продавать сравнимый товар с меньшими затратами, чем конкуренты. Продавая товар по такой же цене, что и конкуренты, фирма получает большую прибыль.
Дифференциация — это способность обеспечить покупателя уникальной и большей ценностью в виде нового качества товара, особых потребительских свойств или послепродажного обслуживания. Дифференциация позволяет фирме диктовать высокие цены, что при равных с конкурентами издержках опять-таки дает большую прибыль.
К наиболее типичным причинам новаций, дающих конкурентное преимущество, М. Портер относит следующие:
1. Новые технологии. Изменение технологии может создать новые возможности для разработки товара, новые способы маркетинга, производства или доставки и улучшение сопутствующих услуг.
2. Новые или изменившиеся запросы покупателей. Часто конкурентное преимущество возникает или переходит из рук в руки тогда, когда у покупателей появляются совершенно новые запросы или же их взгляды на то, "что такое хорошо и что такое плохо", резко меняются.
3. Появление нового сегмента отрасли. Тут есть возможность не только выйти на новую группу покупателей, но и найти новый, более эффективный способ выпускать некоторые виды продукции или новые подходы к определенной группе покупателей.
4. Изменение стоимости или наличия компонентов производства. Конкурентное преимущество часто переходит из рук в руки из-за изменения абсолютной или относительной стоимости компонентов, таких как рабочая сила, сырье, энергия, транспорт, связь, средства информации, оборудование и т.п.
5. Изменение правительственного регулирования. Изменение политики правительства в таких областях, как стандарты, охрана окружающей среды, таможенная и налоговая системы, требования к новым отраслям и торговые ограничения, — еще один распространенный стимул для новаций, влекущих за собой конкурентное преимущество.
М. Портер рассматривает три фактора удержания конкурентного преимущества.
Первый фактор определяется источником преимущества. Существует целая иерархия конкурентного преимущества с точки зрения их удерживаемости. Преимущества низкого ранга (например, дешевая рабочая сила, сырье) довольно легко могут получить и конкуренты. К преимуществам низкого уровня относят также преимущество на масштабе производства.
Преимущества более высокого порядка (патентованная технология, дифференциация на основе уникальных товаров или услуг, репутация фирмы, основанная на усиленной маркетинговой деятельности, тесные связи с клиентами и т.п.) можно удерживать более длительное время, но они связаны со значительными инвестициями, риском получения дополнительной прибыли.
Второй фактор удержания преимущества определяется количеством имеющихся у фирмы явных источников конкурентного преимущества перед конкурентами.
Третий фактор — постоянная модернизация производства и других видов деятельности. Надежда на неуспех новой технологии, применяемой конкурентом, игнорирование нового сегмента рынка или канала сбыта — явные признаки того, что конкурентное преимущество ускользает.
10.9. Формирование политики ценообразования
В условиях рыночных отношений цены имеют огромное значение. Именно цены определяют структуру производства, оказывают решающее воздействие на движение материальных потоков, распределение товарной массы, уровень благосостояния населения.
Для стадии маркетинговых исследований характерны следующие виды цен:
1. Предельная цена на товар как максимально допустимая, лимитная для конструкторов цена.
2. Цена, установленная в соответствии со стратегией "снятия сливок" с рынка. Этот вид цены может быть установлен на популярную марку нового товара в начале его серийного производства.
Цена, установленная в соответствии со стратегией прочного внедрения на рынок. Как правило, эта цена ниже цены конкурентов независимо от уровня качества нового для рынка товара
На стадии стратегического маркетинга возможны следующие методы определения цен:
1. На основе издержек и рентабельности (R) товара

2. На основе установления норматива прибыли (Пн), обеспечивающей безубыточность предприятия при условии, что издержки производства оптимальные
Ц = С + ПН. (9.7)
3. На основе оценки экспертами качества товара и спроса на него (с учетом действия закона спроса и предложений)

где n — количество экспертов-специалистов в данной области (рекомендуется, чтобы их количество было не менее семи); Цi — цена товара, установленная i-м экспертом.
4. На основе анализа динамики цен конкурентов в соответствии с законом конкуренции и предварительной рекламной продажи своего товара.
5. На основе закрытых торгов.
6. Математико-статистические методы.
Ц = f(Хi), (10.9)
где Xi — i-й параметр товара.
При применении любого метода обязательно изучение рынка, прогнозирование развития продукции у конкурентов, прогнозирование организационно-технического уровня производства фирмы хотя бы на 5 лет вперед.
Обязательные этапы определения цен:
1. Маркетинговые исследования.
2. Прогнозирование организационно-технического развития предприятия.
3. Расчет своих издержек и лимитной цены.
4. Прогнозирование цен конкурентов.
5. Установление цены на свой товар на основе описанных выше рекомендаций.
Расчет предельной (лимитной) цены на проектируемый товар на стадии стратегического маркетинга рекомендуется осуществлять по следующей формуле:
Цл = Пп • Знорм • J3.пoтp , (10.10)
где Пп — потенциальный полезный эффект проектируемого товара за нормативный срок его службы (т);
3норм — норматив затрат на производство нового товара на единицу полезного эффекта;

где ЦБ — приведенная цена лучшего мирового образца (ЛМО); ПБ — полезный эффект ЛМО; Jз.потр — индекс снижения затрат у потребителя

где Зпотр.б — затраты на потребление ЛМО за срок его службы; Зпотр.н — то же нового образца.
Этот метод расчета очень сложный, т.к. требует много информации и глубоких маркетинговых исследований. Зато он позволит Вам сравнительно точно спрогнозировать цену, прибыль и эффективность вложения своих средств, что для рынка является главным.
Формирование политики ценообразования по различным типам рынков имеет некоторые особенности:
1. Рынок совершенной (чистой) конкуренции характеризуется очень большим числом, субъектов внешней торговли и сравнительно, однородным характером поставляемой продукции. Под воздействием спроса и предложения цены имеют тенденцию к сближению.
2. Рынок чистой монополии характеризуется единственным поставщиком товара на внешнем рынке. Политику ценообразования формирует монополист, а не рынок.
3. Рынок монополистической конкуренции предполагает присутствие на нем ряда крупных монополистов. Цены снижаются под натиском конкурентов, поставляющих как основную продукцию, так и ее заменители (например, компании Австралии и Англии, производящие шерсть, сталкиваются с серьезной конкуренцией со стороны поставщиков химических волокон).
4. Рынок конкуренции немногих поставщиков — олигополия — характеризуется наличием нескольких крупных поставщиков, обладающих значительным сегментом рынка и удовлетворяющих мировые потребности. Между поставщиками, как правило, существуют соглашения о сотрудничестве (т. е. о разделе сферы влияния и т. д.).
Информацию о ценах мировых товарных рынков принято подразделять на несколько групп:
а) контрактные цены;
б) справочные цены — цены продавцов, публикуемые в специализированных изданиях, информационных носителях;
в) биржевые цены — цены на товары, торговля которыми производится на товарных биржах;
г) цены аукционов, проводимых по заранее составленному сценарию;
д) статистические внешнеторговые цены.
10.10. Содержание портфеля новшеств и инноваций
Политика организации — генеральная линия, система стратегических мер, проводимая руководством организации в какой-либо области деятельности (технической, экономической, социальной, внешнеэкономической и т. д.).
Целью инновационной деятельности, особенно инновационного предпринимательства, является получение результата путем введения инноваций. Для определения сферы инновационной деятельности введем следующие обозначения, характеризующие основные стратегии (цели) инновационной организации:
К — повышение качества выпускаемого товара. Стратегия ведет к увеличению прибыли организации, но со значительным риском;
Ц — снижение цены товара при сохранении без изменения остальных стратегий. Эта стратегия направлена на более прочное завоевание рынка, реализацию уже изготовленного товара, реализацию уже освоенных технологий. Стратегия ведет, как правило, к уменьшению прибыли организации;
С — снижение себестоимости выпускаемого товара за счет освоения новых технологий, новых методов организации производства и труда, менеджмента. Стратегия ведет, как правило, к увеличению прибыли организации;
V — увеличение программы производства товара (объема продаж) для того же рынка без изменения остальных стратегий. Стратегия ведет к увеличению прибыли за счет использования эффекта масштаба;
Р — освоение нового рынка сбыта для старого или нового товара. Стратегия ведет, как правило, к увеличению прибыли организации.
Для осуществления перечисленных стратегий инновационной организации необходимы инновации. В табл. 1 перечислены основные виды инноваций, необходимых для реализации стратегий организации.
Таблица 1 Виды инноваций, необходимых для реализации стратегий организации
| Основные виды инноваций, необходимых для реализации стратегии организации | основные стратегии | ||||
| К | Ц | С | V | Р | |
| 1. Создание совершенно нового товара на основе изобретений | + | + | + | ||
| 2. Совершенствование выпускаемого товара на основе ноу-хау | + | ||||
| 3. Внедрение новой технологии на основе изобретений | + | ||||
| 4. Совершенствование действующей технологии на основе ноу-хау | + | ||||
| 5. Совершенствование организации производства на основе ноу-хау | + | ||||
| 6. Совершенствование организации труда на основе ноу-хау | + | ||||
| 7. Формирование или совершенствование системы менеджмента | + | + | + | + | |
| 8. Улучшение качества "входа" организации (сырья, материалов, комплектующих и т. д.) | + | ||||
| 9. Совершенствование взаимодействия с внешней средой организации | + | + | |||
| 10. Совершенствование функций тактического маркетинга (рекламы, системы стимулирования продвижения товара) | + | ||||
| 11. Повышение качества сервиса товара у потребителя | + | ||||
| 12. Расширение существующего рынка товаров организации | Рекомендуем посмотреть лекцию "Типы газовых горелок". + | + | |||
| 13. Освоение нового рынка | + |
Примечание. Знак " + " означает необходимость введения инновации для реализации соответствующей стратегии организации.
Портфель инноваций представляет собой комплексно обоснованный перечень новшеств покупных и собственной разработки, подлежащих внедрению (введению) в организации. Портфель новшеств представляет собой перечень разработанных организацией новшеств, подлежащих продаже.
























