Операции кредитных организаций на рынке государственных ценных бумаг
7.8. Операции кредитных организаций на рынке государственных ценных бумаг
• Виды операций на рынке государственных ценных бумаг • Виды государственных ценных бумаг
Государственные ценные бумаги (форма существования государственного долга) — это ценные бумаги Российской Федерации и се субъектов (муниципальные ценные бумаги).
Выпуск в обращение государственных ценных бумаг используется для решения следующих основных задач:
• финансирование дефицита государственного бюджета на не инфляционной основе (без дополнительного выпуска денег в обращение);
• финансирование целевых государственных программ;
• регулирование экономической активности (денежной массы в обращении, воздействия на цены и инфляцию, на экономический рост, платежный баланс и т.п.).
Государственные и муниципальные ценные бумаги могут выпускаться в виде облигаций или иных ценных бумаг, удостоверяющих право их владельцев на получение от эмитента денежных средств в порядке, предусмотренном условиями эмиссии.
Рынок государственных ценных бумаг в Российской Федерации представлен следующими ценными бумагами:
• государственными краткосрочными бескупонными облигациями (ГКО);
Рекомендуемые материалы
• облигациями федерального займа (ОФЗ);
• государственными федеральными облигациями (ГФО).
Эмиссия государственных ценных бумаг осуществляется отдельными выпусками. Объем каждого выпуска определяется Минфином России исходя из предельного объема эмиссии этих облигаций, установленного Правительством РФ на соответствующий год.
Генеральным агентом по обслуживанию выпусков государственных ценных бумаг является Банк России.
Сделки с государственными ценными бумагами заключаются и исполняются через организации, уполномоченные на осуществление депозитарной, брокерской или дилерской деятельности с государственными ценными бумагами.
Владельцами государственных ценных бумаг могут быть российские и иностранные юридические и физические лица.
Государственные краткосрочные бескупонные облигации (ГКО) выпускаются в бездокументарной форме. По срокам обращения ГКО являются краткосрочными. Документом, удостоверяющим права, закрепляемые государственными краткосрочными бескупонными облигациями каждого выпуска, является глобальный сертификат, который хранится в депозитарии. Право собственно- сти на ГКО удостоверяет запись по счету «депо». Владельцы ГКО не имеют право требовать выдачи их на руки. При погашении выпуска облигаций владелец ГКО имеет право на получение номинальной стоимости.
Облигации федерального займа (ОФЗ) выпускаются в бездокументарной форме. Документом, удостоверяющим права, закрепляемые ОФЗ каждого выпуска, является глобальный сертификат, который хранится в депозитарии. Записью по счету «депо» удостоверяется право собственности на ОФЗ, которые по срокам обращения могут быть среднесрочными или долгосрочными. Владельцы ОФЗ имеют право на получение при их погашении номинальной стоимости и дохода в виде процента, начисляемого на номинальную стоимость облигации.
Государственные федеральные облигации (ГФО) выпускаются в документарной форме на предъявителя без обязательного централизованного хранения в виде сертификатов, удостоверяющих право на количество облигаций, которое указано в них. Номинальная стоимость облигаций составляет 1 000 р. Владельцы имеют право на получение при погашении выпуска номинальной стоимости и дохода в виде процента, начисляемого на номинальную стоимость облигации. Облигации, выданные на руки владельцам, могут передаваться в депозитарий на условиях учета или хранения.
Участниками рынка облигаций являются: эмитент, генеральный агент эмитента, первичный дилер, дилер, владелец (инвестор).
Эмитент — Минфин России.
Генеральный агент эмитента — Банк России.
Дилер — юридическое лицо, являющееся профессиональным участником рынка ценных бумаг, совершающее в соответствии с действующим законодательством гражданско-правовые сделки (купли-продажи) с облигациями от своего имени как за свой счет, так и в качестве поверенного или комиссионера, действующего на основании договора поручения или комиссии. Он заключает договор с Банком России на выполнение функций дилера на рынке облигаций.
Первичный дилер — дилер, отвечающий требованиям, установленным Банком России для статуса первичных дилеров, и заключивший соответствующий договор с Банком России.
Инвестор — юридическое или физическое лицо, не являющееся дилером, приобретающее облигации на нраве собственности, получающее права на облигации на основании договора доверительного управления.
Инвестор заключает с дилером договор, который определяет порядок приобретении (отчуждения) облигаций, осуществления операций по счету «депо» инвестора и порядок учета нрав на облигации на этом счете, а также права, обязанности и ответственность сторон при выполнении этих операций.
Коммерческие банки могут выступать на рынке государственных ценных бумаг в роли дилера, первичного дилера или инвестора.
Банк Росси выполняет на рынке облигаций функции:
• генерального агента эмитента по обслуживанию выпусков облигаций;
• дилера (первичного дилера);
• контролирующего органа;
• организатора денежных расчетов по сделкам с облигациями;
• регулятора рынка.
Владельцы (собственники) облигаций имеют право владеть, пользоваться и распоряжаться принадлежащими им облигациями. Переход права собственности на облигации от одного владельца к другому наступает в момент зачисления облигаций на счет «депо» их нового владельца и осуществления приходной записи по счету «депо». Для осуществления учета прав на облигации и регистрации сделок каждому дилеру и инвестору присваивается регистрационный код.
Инфраструктура рынка облигаций состоит из Депозитарной системы, Расчетной системы, Торговой системы.
Депозитарная система — совокупность организаций, уполномоченных обеспечивать учет прав владельцев на облигации, а также перевод облигаций по счетам «депо» по сделкам купли-продажи.
Депозитарий не может быть дилером, инвестором или выполнять функции Торговой или Расчетной системы на рынке облигаций.
Расчетная система — совокупность расчетных центров Организованного рынка ценных бумаг (ОРЦБ), обеспечивающих расчеты по денежным средствам по сделкам с облигациями.
Расчетный центр ОРЦБ — небанковская кредитная организация, уполномоченная на основании договора с Банком России обеспечивать расчеты по денежным средствам дилеров по сделкам с облигациями путем открытия банковских счетов дилеров и осуществления операций по этим счетам.
Расчетный центр ОРЦБ не может быть дилером, инвестором, депозитарием или выполнять функции Торговой системы на рынке облигаций.
Торговая система — юридическое лицо, имеющее лицензию профессионального участника рынка ценных бумаг на осуществление деятельности по организации торговли и уполномоченное на основании договора с Банком России обеспечивать процедуру заключения сделок с облигациями в соответствии с нормативными актами Банка России.
Торговая система организует заключение сделок на рынке обцигаций, осуществляет расчет позиций дилеров, осуществляет
клиринг, составляет отчетные документы по совершенным сделкам и представляет их в Расчетные системы и Депозитарий.
Торговая система не может быть дилером, инвестором, Депозитной или Расчетной системой на рынке облигаций.
Обращение облигаций может осуществляться путем заключения и исполнения сделок купли-продажи облигаций через Торговую систему и сделок залога. Торгами называется период времени, в течение которого в Торговой системе осуществляется заключение сделок купли-продажи облигаций. Банк России устанавливает по согласованию с Торговой системой время и дни проведения торгов.
Торговая система по согласованию с Банком России может предоставить возможность заключать сделки купли-продажи с группами (лотами) облигаций, в том числе разных выпусков.
При заключении сделок с купонными процентными облигациями стоимость облигации состоит из цены облигации, указанной в заявке, и накопленного купонного процентного дохода за текущий купонный период.
Размещение выпуска (дополнительного выпуска, транша) облигаций осуществляется Банком России по поручению эмитента в форме аукциона, проводимого в Торговой системе, и(или) по фиксированной цене предложения, либо по закрытой подписке (размещение, осуществляемое на основании договоров купли-продажи между эмитентом и дилером и(или) инвестором без совершения этих сделок через Торговую систему).
Погашение облигаций осуществляется по поручению эмитента за счет средств федерального бюджета, перечисленных эмитентом Банку России. При погашении облигаций, принадлежащих как дилерам, так и инвесторам, денежные средства от погашения перечисляются Банком России на счета дилеров, открытые в Расчетных центрах ОРЦБ.
Фактически активные операции банка с ценными бумагами сводятся к их купле-продаже. Однако практика финансового рынка предлагает различные сочетания операций по покупке и продаже бумаг в рамках специальных договорных отношений, которые для одной стороны могут служить источником дохода, для другой — инструментом страхования (хеджирования) финансовых рисков, а для Банка России — инструментом расширения или ограничения предложения денег на рынке. Одним из видов таких операций являются сделки РЕПО, под которыми понимаются сделки по продаже (покупке) эмиссионных ценных бумаг (первая часть РЕПО) с обязательной последующей обратной покупкой (продажей) ценных бумаг того же выпуска в том же количестве (вторая часть РЕПО) через определенный договором срок по цене, установленной этим договором при заключении первой части такой сделки.
Сторона сделки РЕПО, покупающая ценные бумаги, фактически кредитует продавца ценных бумаг, а при совершении второй, обратной части сделки они возвращаются к первоначальному владельцу, а денежные средства — к бывшему покупателю с приращением в виде прироста стоимости. Таким образом, несмотря на то что оформляется договор купли-продажи, сущность сделки — кредитная: представление денежных средств на основе принципов возвратности, срочности и платности. Передача прав собственности на ценные бумаги на определенное время делает такой кредит обеспеченным и снижает риск кредитора.
Коммерческие банки проводят сделки РЕПО с государственными ценными бумагами, с гарантированными государством первоклассными коммерческими векселями, акциями и облигациями крупных промышленных компаний и банков, обращающимися на бирже; депозитными сертификатами.
Банк России осуществляет сделки по продаже облигаций федеральных займов, находящихся в его портфеле с обязательством обратного выкупа.
Продажа облигаций осуществляется в форме аукциона. К участию в аукционе допускаются только кредитные организации.
Для проведения аукциона Банк России объявляет параметры продаваемого выпуска облигаций, а также устанавливает:
• дату проведения аукциона;
• время приема заявок;
• количество продаваемых облигаций;
• круг участников аукциона;
• размер лимита по неконкурентным заявкам;
• условия обратного выкупа.
Информация объявляется Банком России не позднее двух рабочих дней до даты проведения аукциона.
После проведения аукциона Банк России публикует официальное сообщение об итогах аукциона и проданные облигации обращаются на рынке. В период обращения облигаций на рынке Банк России может проводить дополнительные аукционы по продаже облигаций, а также выступать в качестве дилера, покупая и продавая облигации от своего имени и за свой счет.
Выкуп ранее проданных облигаций осуществляется Банком России на основании безотзывной публичной оферты, которая публикуется в «Вестнике Банка России» одновременно с официальным сообщением Банка России о проведении аукциона по продаже облигаций.
Оферта должна содержать следующую информацию:
• о сроке действия оферты;
• дате и времени выкупа облигаций;
• порядке акцепта оферты;
• цене и количестве покупки Банком России облигаций;
• о порядке совершения сделок;
• об уступке прав требования;
• арбитражной оговорке.
При проведении аукциона и дальнейшем обращении облигаций на рынке до прекращения срока действия оферты Торговая система рассчитывает доходность данных выпусков облигаций как доходность к выкупу облигаций Банком России.
После прекращения срока действия указанной оферты Торговая система рассчитывает доходность данных выпусков облигаций как доходность к погашению облигаций.
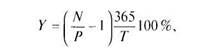
Доходность по государственным ценным бумагам рассчитывается по следующей формуле:

где Y— годовая доходность к погашению по выпускам государственных краткосрочных бескупонных облигаций; N— номинальная стоимость облигации; Р — цена на аукционе или на вторичных торгах по облигациям (в процентах от номинала); Т — число дней до погашения облигаций.
В установленную в оферте дату и время приема заявок дилеры вводят в Торговую систему заявки на продажу определенного количества облигаций с указанием цены, установленной в оферте.
Указанные заявки являются полным и безоговорочным акцептом оферты, что влечет за собой заключение сделок купли-продажи облигаций между Банком России и владельцем облигаций на условиях оферты.
Банк России в установленные в соответствии с офертой сроки вводит в Торговую систему заявку на покупку всего объема обращающихся на рынке облигаций.
Подтверждением заключения договора купли-продажи облигаций между дилером и Банком России является выписка из реестра сделок.
Контрольные вопросы
1. Охарактеризуйте понятие «государственные ценные бумаги».
2. Какое влияние оказывает Банк России на выпуск ценных бумаг?
3. Какие организации могут распространять государственные ценные бумаги?
4. Какими пенными бумагами представлен рынок государственных ценных бумаг?
5. Для решения каких основных задач выпускаются ценные бумаги?
6. Какими могут быть государственные ценные бумаги?
7. Каковы условия выпуска ГКО?
8. Каковы условия выпуска ОФЗ?
Нормативно-правовая база
Федеральный закон от 22 апреля 1996 г. № 39-ФЗ «О рынке ценных бумаг».
Федеральный закон от 5 марта 1999 г. № 46-ФЗ «О защите прав и законных интересов инвесторов на рынке ценных бумаг».
Федеральный закон от 11 марта 1997 г. № 48-ФЗ «О переводном и простом векселе».
Федеральный закон от 25 февраля 1999 г. № 39-ФЗ «Об инвестиционной деятельности в Российской Федерации, осуществляемой в форме капитальных вложений».
Федеральный закон от 11 ноября 2003 г. № 152-ФЗ «Об ипотечных ценных бумагах».
Постановление ФКЦБ России от 16 октября 1997 г. № 36 «Об утверждении положения о депозитарной деятельности в Российской Федерации, установлении порядка введения его в действие и области применения».
Постановление Правительства РФ от 5 июня 2002 г. № 384 «Об утверждении положения о лицензировании деятельности специализированных депозитариев инвестиционных фондов, паевых инвестиционных фондов и негосударственных пенсионных фондов».
Постановление Правительства РФ от 16 мая 2001 г. № 379 «Об утверждении Генеральных условий эмиссии и обращения облигаций государственного сберегательного займа Российской Федерации».
Постановление Правительства РФ от 16 октября 2000 г. № 790 «Об утверждении Генеральных условий эмиссии и обращения государственных краткосрочных бескупонных облигаций».
Постановление Правительства РФ от 4 марта 1996 г. № 229 «О выпуске облигаций внутреннего государственного валютного облигационного займа».
Постановление ЦИК СССР и СНК СССР от 7 августа 1937 г. № 104/1341 «О введении в действие Положения о переводном и простом векселе».
Постановление Правительства РФ от 15 мая 1995 г. № 458 «О Генеральных условиях эмиссии и обращения облигаций федеральных займов».
Постановление ФКЦБ России от 11 октября 1999 г. № 9 «Об утверждении правил осуществления брокерской и дилерской деятельности на рынке ценных бумаг Российской Федерации».
Постановление ФКЦБ России от 17 октября 1997 г. № 37 «Об утверждении положения о доверительном управлении ценными бумагами и средетвами инвестирования в ценные бумаги».
Положение Банка России от 25 марта 2003 г. № 219-П «Об обслуживании и обращении выпусков федеральных государственных ценных бумаг».
Положение Банка России от 11 января 2002 г. № 176-П «О порядке продажи Банком России государственных пенных бумаге обязательством обратного выкупа».
Положение Банка России от 10 ноября 1998 г. № 59-П «О порядке Рассмотрения документов и заключения банком России договоров о вы-полнении функции дилера на рынке ГКО-ОФЗ».
Обратите внимание на лекцию "16 Окислительно-восстановительные (ОВ) гальванические элементы".
Положение Банка России от 16 марта 2004 г. № 253-П «О порядке депозитарного учета федеральных государственных ценных бумаг».
Письмо Банка России от 23 февраля 1995 г. № 26 «Об операциях коммерческих банков с векселями и изменениях в порядке бухгалтерского учета банковских операций с векселями».
Письмо Банка России от 9 сентября 1991 г. № 14-3/30 «О банковских операциях с векселями».
Указание Банка России от 15 июля 1998 г. № 292-У «О временном порядке ведения депозитарных операций с неэмиссионными ценными бумагами».
Приказ ФСФР России от 15 декабря 2004 г. № 04-1245/пз-н «Об утверждении положения о деятельности по организации торговли на рынке ценных бумаг».
Правила Банка России от 25 июля 1996 г. № 44 «Правила ведения учета депозитарных операций кредитных организаций».





















