Нагревательные приборы систем центрального отопления
6. Нагревательные приборы систем центрального отопления.
6.1. Основные теплотехнические характеристики, конструкция, область использования.
Отопительные приборы систем центрального отопления делятся на радиационные (потолочные отопительные панели), конвективно—радиационные с гладкой поверхностью (радиаторы секционные и панельные, гладкотрубные приборы) и конвективные с ребристой нагревательной поверхностью (конвекторы с кожухом и без кожуха, ребристые трубы).
По высоте отопительные приборы подразделяют на высокие (высотой более 650 мм), средние (400—650 мм), низкие (200—400 мм) и плинтусные (до 200 мм вкл.).
По глубине приборы бывают малой (до 120 мм вкл.), средней (более 120 до 200 мм) и большой глубины (более 200 мм). Конвекторы и другие подобные приборы обладают малой тепловой инерцией, радиаторы и однотипные приборы — большой тепловой инерцией.
Теплопередача отопительного прибора (Qпр.д, Вт (ккал/ч), пропорциональна тепловому потоку, приведенному к расчетным условиям по его действительной площади нагревательной поверхности
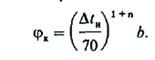
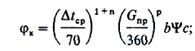
(6.1.1)
где 70 — номинальный температурный напор, °С; Кн.у — номинальный условный коэффициент теплопередачи отопительного прибора, Вт/(м2 • К) [ккал/ч • м2 • °С)]; А —площадь наружной нагревательной поверхности прибора, м2 (см. прил. X). Qн.у. —номинальный условный тепловой поток прибора, Вт (ккал/ч), предназначенный для выбора типоразмера прибора; значения Qн.у приведены в прил. X;
к— комплексный коэффициент приведения Qн.у к расчетным условиям, определяемый по формулам: при теплоносителе паре

Рекомендуемые материалы
Временно до уточнения коэффициент
к, полученный по формуле, следует принимать с поправочным коэффициентом 1,03 для чугунных секционных радиаторов и 1,06 для ребристых труб; при теплоносителе воде

tн — разность температуры насыщенного пара tнас и температуры окружающего воздуха tв, °С:

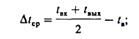
tср — разность средней температуры воды tср в приборе и температуры окружающего воздуха tв, °С:

tвх и tвых — температура воды, входящей в прибор и выходящей из него, °С; Gпр— расход воды в приборе, кг/ч (для конвекторов— расход воды в одной трубе конвектора); b — коэффициент учета атмосферного давления в данной местности (табл. 6.1.1);
—коэффициент учета направления движения теплоносителя воды в приборе снизу—вверх (штуцеры прибора расположены в вертикальной плоскости) (см. табл. 6.1.11):

ТАБЛИЦА 6.1.1
НАЧЕНИЯ КОЭФФИЦИЕНТА b УЧЕТА РАСЧЕТНОГО АТМОСФЕРНОГО ДАВЛЕНИЯ ДЛЯ ОТОПИТЕЛЬНЫХ ПРИБОРОВ


ТАБЛИЦА 6.1.2.
ЗНАЧЕНИЯ ПОКАЗАТЕЛЕЙ n, р, с ДЛЯ ОПРЕДЕЛЕНИЯ
ТЕПЛОВОГО ПОТОКА ОТОПИТЕЛЬНЫХ ПРИБОРОВ 

6.2. Определение поверхности нагревательных приборов.
Требуемую площадь наружной нагревательной поверхности прибора Апр, м2, независимо от вида теплоносителя находят из формулы (6.1.1), исходя из номинального условного коэффициента теплопередачи прибора (для наиболее употребительных отопительных приборов Кн у приведен в табл. 6.2.1).
Для однотрубных систем водяного отопления требуемая площадь нагревательной поверхности Апр, м2, приборов в помещениях при tв = 5 — 25°С определяется по табл. 9.8 по значению Qпр предварительно уменьшенному на 5% при Qпр < 1200 Вт (1032 ккал/ч) или на 60 Вт (52 ккал/ч) при Qпр > 1200 Вт (1032 ккал/ч).
ТАБЛИЦА 6.2.1
ЗНАЧЕНИЯ НОМИНАЛЬНОГО УСЛОВНОГО
КОЭФФИЦИЕНТА ТЕПЛОПЕРЕДАЧИ ОТОПИТЕЛЬНЫХ
ПРИБОРОВ

При пользовании табл. 6.2.2 следует иметь в виду, что при расходе воды в приборе менее 160 кг/ч (при тепловой нагрузке в ккал/ч менее 186 кг/ч) нужно принимать увеличенные в 10 раз значения Gст и Qпр; при тепловой нагрузке более 1550 Вт (более 1330 ккал/ч) определять Апр половины прибора по уменьшенной в 2 раза тепловой нагрузке или, определив Апр по величине Qпр, полученную площадь Апр разделить на
.
Требуемую площадь Апр, м2, приборов двухтрубных систем отопления можно определять также по табл. 6.2.2 по значениям tв и tср, вычисляя tср. После определения Апр отопительных приборов находят их расчетную площадь Ар, м2,

где b принимают по табл. 6.1.1.
Табл. 6.2.2.

Сопоставляя площадь Ар со значениями площади нагревательной поверхности приборов (А, м2), приведенными в прил. X, выбирают необходимый типоразмер и номинальный тепловой поток прибора, учитывая, что площадь выбираемого прибора не должна быть меньше Ар. Некоторые приборы (имеющие отличный от основного ряда коэффициент теплопередачи) следует подбирать по условному значению А, которое дано в графе А прил. X. в знаменателе дроби со звездочкой.
По значению Ар для чугунных секционных радиаторов вычисляют минимальное число секций по формуле

где ас—площадь нагревательной поверхности одной секции, м2;
3’ —коэффициент учета числа секций в приборе (для радиаторов МС—140 коэффициент
3’ заменяется на
3)

По результатам расчета по формулам и при
4 = 1 составлена табл.6.2.3. Расчетное число секций принимают по большему ближайшему значению.
ТАБЛИЦА 6.2.3
РАСЧЕТНАЯ ПЛОЩАДЬ НАГРЕВАТЕЛЬНОЙ
ПОВЕРХНОСТИ ЧУГУННЫХ СЕКЦИОННЫХ
РАДИАТОРОВ Ар

Пример 1. Определить число секций чугунного секционного радиатора М—90, устанавливаемого у наружной стены без ниши под подоконником (на расстоянии от него 40 мм) на пятом этаже пятиэтажного здания, в двухтрубной насосной системе водяного отопления с нижним расположением магистралей (принята схема 2 присоединения прибора), если tг =95°С, (t0 = 70°С, tв = 20°С, понижение температуры воды в подающей магистрали до стояка
Барометрическое давление в месте строительства 1013,3 гПа (760 мм рт.ст.).
Принимаем высоту этажа здания 2,5 м в чистоте, средний расход воды в стояке 250 кг/ч, диаметр труб Dу = 20 мм. Тогда суммарное понижение температуры воды в подающем стояке, проложенном через первый – четвертый этажи здания, найдем по формуле

где 78 Вт/м — теплоотдача 1 м вертикальной трубы.
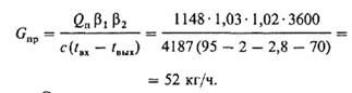
Расход воды в радиаторе по формуле 

Средняя температура воды в радиаторе по формуле с учетом понижения температуры воды в подающих магистрали и стояке
tср=0,5*(95-2-2,8+70)=80,1 °С
Тогда разность температуры 
Теплоотдачу подводок вертикальных (0,3 м) и горизонтальных (2,0 м) труб Dу = 15 мм вычисляем при
и tвых = 70°С по формуле

По формуле (9.12) Qпр = 1148 — 0,9•124 = 1036 Вт.
Пользуясь табл. 9.1 и 9.2, по формуле (9.8) определим значение комплексного коэффициента

тогда требуемый номинальный тепловой поток составит

Используя значение Qн.у у одной секции радиатора М—90 (см. прил. X), определим ориентировочное число секций прибора N = 1262/140 = 9,01.
Вычислим затем по формуле

находим минимальное число секций прибора при
4 = 1,05

Принимаем к установке десять секций.
6.3. Особенности расчета поверхности нагрева приборов в однотрубных системах.
Требуемый номинальный тепловой поток Qн.т, Вт (ккал/ч), для выбора типоразмера отопительного прибора по прил. X определяют по формуле

где Qпр — необходимая теплопередача прибора в рассматриваемое помещение

Qтр — теплоотдача открыто проложенных в пределах помещения труб стояка (ветви) и подводок, к которым непосредственно присоединен прибор,

где qв и qг —теплоотдача 1 м вертикальных и горизонтальных труб, Вт/м [ккал/(ч•м)]; для неизолированных труб принимается по табл. II.22, исходя из диаметра и положения труб, а также разности температуры теплоносителя при входе его в рассматриваемое помещение tт и температуры воздуха в помещении tв; для изолированных труб— по табл. II.24; lв и lг——длина вертикальных и горизонтальных труб в пределах помещения, м.
Тепловой поток выбранного прибора не должен уменьшаться более чем на 5% или на 60 Вт (52 ккал/ч) по сравнению с Qпр, поэтому прибор выбирают по прил. X по величине Qн.т, полученной исходя из значения Qпр, уменьшенного на 5% при Qпр < 1200 Вт (1032 ккал/ч) или на 60 Вт (52 ккал/ч) при Qпр > 1200 Вт (1032 ккал/ч).
Приведенные формулы действительны при открытой установке неокрашенных приборов у наружных ограждений помещений.
На теплоотдачу отопительного прибора влияют конструкция декоративного ограждения, состав и цвет красителя. Окраска заметно изменяет теплоотдачу приборов с гладкой поверхностью (табл. 6.3.1) и практически не влияет на теплоотдачу приборов с ребристой поверхностью.
3 - коэффициент учета числа секций в приборе для радиатора типа МС—140, принимаемый равным:
ТАБЛИЦА 6.3.1.
ВЛИЯНИЕ ОКРАСКИ ПОВЕРХНОСТИ НА ТЕПЛООТДАЧУ ОТОПИТЕЛЬНОГО ПРИБОРА

Для радиаторов остальных типов по формуле

где N —число секций радиатора.
Пример1. Определить значения
Qр для приборов, присоединенных по проточной схеме к однотрубному стояку системы отопления четырехэтажного здания с верхним расположением подающей магистрали при параметрах теплоносителя
t = 95 — 70°С. Тепловые нагрузки приборов на каждом этаже: Qп4 = 1200; Qп3 = 1100; Qп2 = 1000; Qп1= 1300 Вт. Падение температуры воды в подающей магистрали до стояка
°С. Расход воды в стояке Gст = 200 кг/ч.
Так как в системе tг < 150°С, по формуле (9.18) находим общую для приборов стояка фиктивную тепловую нагрузку Qф = 200 * 4187 [150 — (95 — 2)]/ 3600 = 13259 и, пользуясь формулой (9.17), определим значение
Qр перед каждым прибором стояка, считая, что коэффициент затекания
= 1:
прибор на 4 этаже

прибор на 3 этаже

прибор на 2 этаже

прибор на 1 этаже

Пример 2. При барометрическом давлении в месте строительства 1013,3 гПа (760 мм рт. ст.) по значениям
Qр, подсчитанным в примере 1, определить требуемую площадь отопительных приборов, в качестве которых приняты конвекторы «Универсал», а их тепловые нагрузки Qпр подсчитанные по формуле (9.12), уменьшены на 5% или 60 Вт и составляют: Qпр4 = 100° Вт при tв = 18°С; Qпр3= 950 Вт при tв = 18°С; Qпр2 = 800 Вт при tв= 18°С; Qпр4=1160 Вт при tв = 20°С.
Пользуясь ключом, по табл. 6.2.2 находим:
прибор на 4 этаже

прибор на 3 этаже

прибор на 2 этаже

прибор на 1 этаже

Регулирование теплопередачи отопительных приборов
В системах водяного отопления применяется качественное и количественное регулирование: качественное — центральное (на тепловой станции), групповое (в центральном тепловом пункте) и местное (в тепловом пункте здания); количественное (кроме указанных мест) индивидуальное у каждого отопительного прибора.
При местном регулировании повышению тепловой устойчивости системы способствует сокращение количества циркулирующей воды по мере понижения температуры воды, подаваемой в систему. Тепловая устойчивость системы водяного отопления здания обеспечивается при проведении автоматического пофасадного качественно—количественного регулирования: качественного — по изменению температуры наружного воздуха и скорости ветра, качественного и количественного — по отклонению температуры в воздухе в характерных помещениях.
В системах парового отопления применяется количественное регулирование.
Индивидуальное количественное регулирование может быть ручным и автоматическим. Автоматическое регулирование предусматривается в соответствии с требованиями главы СНиП «Отопление, вентиляция и кондиционирование воздуха». Для ручного регулирования при паровом отоплении применяют вентили с золотником без прокладки; при водяном отоплении — регулирующие краны. Вентили и краны КРП и КРТ с пониженным гидравлическим сопротивлением используют в однотрубных системах, краны с повышенным гидравлическим сопротивлением (двойного регулирования КРД, проходные КРП с дросселирующим устройством, «Термис» и пр.) — в двухтрубных. Конвекторы типа КН («Комфорт—20», «Универсал») имеют регулирующие воздушные клапаны; в однотрубных системах такие конвекторы устанавливают без регулирующих кранов, в двухтрубных с кранами КРД.
При прерывистом отоплении обеспечивается общее отключение отопительных приборов помещений с переменным тепловым режимом.
Для автоматического регулирования служат регуляторы прямого и косвенного действия. Их гидравлическое сопротивление должно быть пониженным в однотрубных и повышенным в двухтрубных системах.
6.4. Размещение приборов в помещении.
При выборе вида отопительных приборов следует прежде всего учитывать давление в системе, качество теплоносителя (например, стальные панельные радиаторы могут применяться только в системах водяного отопления с химически подготовленной деаэрированной водой), а также состав воздушной среды помещений (стальные приборы без защитного покрытия нельзя применять при наличии в воздухе помещений веществ, агрессивных по отношению к металлу).
Принимают также во внимание назначение и архитектурно—технологическую планировку здания, особенности теплового режима помещений, места и длительность пребывания на них людей.
При повышенных санитарно—гигиенических, а также противопожарных и противовзрывных требованиях выбирают приборы с гладкой поверхностью — радиаторы панельные бетонные или стальные и гладкотрубные приборы (при обосновании).
При длительном пребывании людей в обычных условиях применяют приборы конвективно—радиационного и конвективного вида (не более двух видов приборов для всего здания или сооружения). В производственных зданиях чаще используют приборы, обеспечивающие повышенную тепловую плотность по длине (радиаторы секционные, несколько ребристых труб друг над другом); в административно—бытовых зданиях — конвекторы без кожуха; в гражданских — радиаторы и конвекторы с кожухом. В помещениях, предназначенных для кратковременного пребывания людей, предпочтение отдается приборам с высокими технико—экономическими показателями.
Отопительные приборы должны обеспечивать равномерное обогревание помещений. Наиболее равномерно помещения нагревают напольные и потолочные отопительные панели. Вертикальные приборы размещают прежде всего под световыми проемами, причем желательно чтобы под окнами длина приборов составляла не менее 50% длины проемов (как правило, не меньше 75% в больницах, детских дошкольных учреждениях, школах.
При размещении приборов под окнами: вертикальные оси оконного проема и прибор, совмещают (допустимо отклонение не боле 50 мм). В жилых зданиях, гостиницах, общежитиях, административно—бытовых зданиях приборы могут быть смещены от оси проемов.
Отопительные приборы (при невозможности размещения их под окнами или у наружных стен) могут быть установлены у внутренних стен. Для ориентировки при размещении приборов используются данные о номинальном тепловом потоке и длине приборов. Вертикальные отопительные приборы следует размещать по возможности ближе к полу помещений (минимальное расстояние от низа прибора до поверхности пола 60 мм) (рис. 6.4.1). В помещениях высотой более 6 м со световыми проемами наверху часть приборов (от 114 до 113 общей площади) располагают в верхней зоне (при использовании высоких конвекторов с кожухом достаточна установка их только в рабочей или обслуживаемой зоне помещения). В лестничных клетках многоэтажных зданий (до 12 этажей) с наружными входами отопительные приборы располагают в нижней их части рядом со входными дверями, применяя высокие конвекторы. В малоэтажных зданиях используют отопительные приборы того же типа, который принят для отопления основных помещений. Эти приборы размещают на первом этаже при входе (а также э подвальной части лестничной клетки, если она имеется); отдельные приборы могут быть перенесены на промежуточную лестничную площадку между первым и вторым этажами.
Установка отопительных приборов во входных тамбурах с наружными дверями недопустима; приборы могут — быть помещены во внутренних тамбурах (при тройных входных дверях с двумя тамбурами между ними).
Отопительные приборы размещают так, чтобы были обеспечены их осмотр, очистка и ремонт. Если применяется ограждение (экран) или декорирование приборов, кроме конвекторов с кожухом (по технологическим, противопожарным, противовзрывным или архитектурным требованиям), то уменьшение номинального теплового потока укрытых приборов допустимо не более чем на 10% (в жилых зданиях приборы не укрывают.

Рис. 6.4.1. Схемы установки отопительных приборов у поля помещений
а — радиаторов во всех помещениях (кроме перечисленных в п.«б»); б — радиаторов в помещениях лечебно—профилактических, санаторно—курортных и детских учреждений; в — конвекторов с кожухом (Нк— высота кожуха) настенного типа; г—конвекторов без кожуха плинтусных
Тепловой поток вертикальных приборов зависит от расположения мест подачи и отвода из них теплоносителя воды. Теплопередача возрастает при подаче теплоносителя воды в верхнюю часть и отводе воды из нижней части прибора (направление движения сверху—вниз) и понижается при направлении движения снизу—вверх. При установке отопительных приборов в несколько ярусов по высоте (радиаторов, конвекторов, гладких труб или ребристых труб) рекомендуется обеспечивать последовательное движение теплоносителя сверху—вниз (из верхнего яруса в нижний).
Расстояния от строительных конструкций зданий до отопительных приборов и между приборами следует принимать в соответствии с нормативными указаниями.
Приборы с теплоносителем при температуре выше 105°С необходимо размещать на расстоянии не менее 100 мм от сгораемых элементов зданий. При размещении приборов следует учитывать возможность прокладки подводок к ним по прямой линии.
В помещениях категорий А, Б и В не допускается размещать отопительные приборы в нишах, за исключением лестничных клеток, где выступы приборов не должны сокращать необходимую ширину проходов.
Бесплатная лекция: "Речь и язык" также доступна.
При смещенной установке отопительного прибора от оси светового проема стояк располагают на расстоянии 150 ± 50 мм от откоса проема, а длину подводки принимают 360—400 мм при трубах Dу = 15—20 мм и 500 мм при трубах Dу 25 мм.
Устанавливают отопительные приборы на кронштейнах, болтах или металлических подставках.
Отопительные приборы без воздушного клапана для возможности регулирования теплопередачи соединяют «на сцепке» в пределах одного помещения, за исключением вспомогательных помещений (коридоров, кладовых и т.п., а также кухонь жилых зданий), где допускается приборы присоединять на сцепке к приборам соседних помещений. Диаметр соединительных труб сцепки принимают по диаметру отверстий в приборах, длина сцепки не должна превышать 1,5 м. Число приборов, соединяемых на сцепке, при односторонней подводке к приборам от однотрубных и двухтрубных стояков должно быть не более двух. Разносторонняя подводка труб к радиаторам от двухтрубных стояков рекомендуется при числе секций более 25 или при установке более двух приборов, соединенных на сцепке. Размеры отверстий при открытой прокладке и борозд при скрытой прокладке в строительных конструкциях принимаются в зависимости от вида прокладываемого теплопровода (табл. 6.4.2).
ТАБЛИЦА 6.4.2
РАЗМЕРЫ ОТВЕРСТИЙ И БОРОЗД В СТРОИТЕЛЬНЫХ КОНСТРУКЦИЯХ






















