Основные положенияпо управлению производством то и ремонта автомобилей
Лекция № 12
12. Основные положенияпо управлению производством то и ремонта автомобилей
12.1. ОПРЕДЕЛЕНИЕ ПОНЯТИЯ "УПРАВЛЕНИЕ ПРОИЗВОДСТВОМ"
Одной из основных задач подсистемы технической эксплуатации автомобилей является определение путей и методов наиболее эффективного управления техническим состоянием и работоспособностью автомобильного парка, поэтому управление является одной из важнейших функций специалиста.
Содержание и методы управления меняются в зависимости от места специалиста в иерархии управления ИТС: руководство непосредственно рабочими, инженерами, техниками; участком, цехом или предприятием; группой предприятий или отраслью. Однако в существе управления, его технологии имеется много общих черт на всех уровнях управления системами.
Управление представляет собой процесс преобразования информации о состоянии системы (автомобиль, цех, предприятие или отрасль) в определенные целенаправленные действия, переводящие управляемую систему из исходного в заданное состояние.
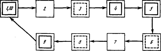
Управление включает определенную последовательность действий или технологий, применяемую в различных комбинациях для любой системы или задач любого характера (рис. 14.1).
1. Определение цели, стоящей перед управлением системой или подсистемой (отраслью, АТП, цехом, участком, бригадой).

Рекомендуемые материалы
Рис. 14.1. Основные этапы управления
/ - требует обязательного участия руководителя высшего уровня; 2 - требует контроля руководителя и участия ответственных за этапы
Целью системы является ее возможное будущее состояние, достигаемое с помощью определенных действий, являющихся следствием принятых решений,
От правильного определения цели и частных задач во многом зависят и выбираемые средства, причем цель подсистемы должна быть связана с целью системы более высокого ранга. Например, цели, стоящие перед подсистемой технической эксплуатации, должны соответствовать целям системы более высокого ранга, т.е. целям системы автомобильного транспорта, а последние -целям народного хозяйства (см. гл. 9).
Задачи каждого цеха или участка АТП должны быть определены так, чтобы обеспечить техническую исправность заданного (необходимого для перевозочного процесса) количества и номенклатуры автомобилей. Следовательно, постановка цели и ее реализация должны рассматриваться в рамках программно-целевого подхода.
2. Получение информации о состоянии системы и о внешних факторах, действующих на систему.
При разработке мероприятий, направленных, например, на повышение коэффициента технической готовности (для обеспечения перевозочного процесса), подобной информацией будут сведения об эксплуатационной надежности автомобилей; данные о наиболее характерных отказах, вызывающих простои автомобилей в рабочее время; сведения о причинах простоев и т.д. Внешними факторами в данном случае будут: требования клиентуры, условия эксплуатации, организация материально-технического обеспечения и др.
3. Обработка информации, оценка ее точности, представительности, достоверности.
4. Анализ информации, сбор при необходимости дополнительной информации, ее экспертиза.
5. Принятие управляющих решений в соответствии с целями системы, полученной и обработанной информацией.
Под принятием управляющего решения понимается выбор на основании установленных критериев одного из нескольких путей развития, существенно изменяющих состояние системы.
Например, изменение работоспособности парка возможно в результате совершенствования системы и нормативов ТО и ремонта, повышения квалификации персонала, улучшения ПТБ и других мероприятий.
6. Придание решению четкой, желательно нормативной формы, обеспечивающей индивидуальную ответственность исполнителей, поэтапный количественный и качественный контроль.
7. Доведение решения до исполнителей.
На этом этапе важной является форма передачи решения, обеспечивающая понимание сути принимаемого решения и исключающая двоякое его толкование (смысла, сроков выполнения и др.).
8. Реализация управляющего действия, например строительство или реконструкция производственной базы; освоение новых видов услуг; введение новой системы морального и материального поощрения ремонтных рабочих; направление автомобиля в ремонт или списание и т.д.
9. Получение отклика (реакции) системы на управляющие действия в виде новой порции информации об изменении состояния системы.
При полном достижении системой назначенных целей в заданное время управление является оптимальным.
Если состояние системы ухудшилось, то управление нерационально. Если произошло улучшение состояния системы, но цели полностью не достигнуты, то управление рационально и наступает 10-й этап (см. рис. 12.1): анализируются причины, по которым цели не были достигнуты, при необходимости цели и методы их достижения корректируются.
Это наиболее характерный вариант многошагового или итеративного достижения целей. Если итеративный подход реализуется, то система является обучаемой.
12.3. ОСНОВНЫЕ ЗАДАЧИ И РЕСУРСЫ ИНЖЕНЕРНО-ТЕХНИЧЕСКОЙ СЛУЖБЫ
Основные задачи ИТС автомобильного транспорта на различных уровнях управления (федеральном, отраслевом, региональном, хозяйственном) могут быть сведены к следующим.
1. Определение технической политики ведомства, региона, объединений и предприятий по технической эксплуатации подвижного состава автомобильного транспорта. Техническая политика формируется на основе существующего хозяйственного механизма и действующего законодательства, принципов планово-предупредительной системы обеспечения работоспособности автомобилей и парков, состояния и опыта работы данной отрасли и прогнозов ее развития, имеющихся ресурсов и ограничений, а также выполненных научно-исследовательских работ.
Техническая политика должна обеспечивать требуемый уровень работоспособности автомобильного парка, безопасность движения, экологичные и ресурсосберегающие пути развития. Техническая политика реализуется через хозяйственный механизм и законодательство, предусматривающие: рентабельность предприятий и хозяйственный расчет; отраслевые, региональные и местные программы; систему прогрессивной нормативной, проектной и технологической документации.
2. Разработка и доведение до исполнителей целей, нормативно-технологической и проектной документации, обеспечивающей реализацию технической политики.
3. Планирование, организация, управление техническим обслуживанием, ремонтом и хранением подвижного состава автомобильного транспорта. Ресурсное и оперативное корректирование нормативов с учетом условий эксплуатации.
4. Создание, совершенствование и рационализация производственно-технической базы и проведение мер по ее поддержанию, реконструкции и техническому перевооружению, механизации и роботизации технического обслуживания, ремонта, хранения и заправки.
5. Организация материально-технического обеспечения и хранения запасных частей, эксплуатационных материалов, технологического оборудования.
6. Разработка мероприятий по экономии всех видов ресурсов, и в первую очередь трудовых и топливно-энергетических, а также капитальных вложений. Сбор, повторное использование и регенерация отходов.
7. Анализ технического состояния подвижного состава автомобильного транспорта, производственно-технической базы, технологического оборудования, производственных запасов.
8. Организация внутрихозяйственного учета технического обслуживания и ремонта подвижного состава, технологического и другого оборудования, элементов производственно-технической базы.
9. Управление возрастной структурой автомобильных парков. Составление плана поставок и списания автомобилей и технологического оборудования. Разработка рекомендаций по использованию автомобилей с учетом их конструкции, технического состояния и условий эксплуатации.
10. Комплектация ИТС персоналом, повышение квалификации, улучшение условий труда, совершенствование нормирования, морального и материального стимулирования персонала.
11. Подготовка предприятий к приему и эффективной эксплуатации автомобилей новой конструкции, использованию новых эксплуатационных материалов, оборудования, компьютерной и сетевой техники.
12. Обобщение, распространение и реализация передового опыта технической эксплуатации.
13. Организация внутрихозяйственных договорных отношений со службой перевозок в комплексных предприятиях. Предъявление требований к службе перевозок и контроль за соблюдением правил технической эксплуатации подвижного состава автомобильного транспорта на линии. Оценка влияния водителей на работоспособность автомобилей и повышение их квалификации.
14. Предъявление требований (заказа) к производителям транспортной техники и материалов по совершенствованию конструкции подвижного состава, качеству эксплуатационных материалов, масштабам и качеству строительства и эксплуатации дорог. Организация контроля качества подвижного состава, приобретаемых эксплуатационных материалов и запасных частей.
15. Модернизация и переоборудование подвижного состава, изготовление некоторых типов специализированного подвижного состава, производство которых пока не освоено промышленностью. Восстановление и частичное изготовление ограниченной номенклатуры деталей, материалов и оборудования.
16. Организация работы предприятия в особых условиях.
В новых экономических условиях главные функции вышестоящих организаций (министерств, холдингов, ассоциаций и объединений) будут состоять, по-видимому, в следующем:
• прогнозирование, разработка и реализация технической политики интенсивного, сбалансированного, ресурсосберегающего и экологичного развития предприятий и объединений на основе НТП, обеспечивающего потребности различных отраслей экономики и населения в транспортном обслуживании;
• создание условий для реализации социальной направленности развития отрасли и группы предприятий, улучшение условий труда персонала;
• участие в транспортном законодательстве на федеральном и региональном уровнях;
• определение основных направлений, поддержка и централизованное финансирование наиболее важных прогностических, поисковых научно-исследовательских и опытно-конструкторских работ;
• представление делегированных предприятиями интересов ведомства в вышестоящих плановых, финансовых, хозяйственных организациях и региональных органах, а также при работе с партнерами, клиентами, поставщиками;
• предоставление предприятиям и организациям на договорных условиях услуг по научному, проектному, технологическому, нормативному, пусконаладочному, посредническому видам обслуживания, требующим концентрации научных, инженерных сил и значительных ресурсов (например, создание основных нормативных документов, проектирование, применение и программное обеспечение компьютерной техники и др.);
• участие наряду с учебными заведениями в целевой подготовке кадров и
повышении их квалификации.
Для эффективного функционирования ИТС должна располагать определенной материально-технической базой и ресурсами.
1. Интеллектуальные ресурсы в виде накопленных системой (отраслью, группой предприятий, конкретным АТП) и персоналом научно обоснованных и проверенных производством знаний:
• стратегий и тактик обеспечения работоспособности автомобилей, обобщенных системой ТО и ремонта;
• методов, технологий и принципов управления производством ТО и ремонта;
• нормативов технической эксплуатации и методов их корректирования;
• прогнозов развития автомобильного транспорта и ТЭА, основных направлений, темпов и масштабов реализации нововведений;
• уровней развития соответствующих отраслей науки, передового отечественного и зарубежного опыта.
Носителями и инициаторами формирования интеллектуальных ресурсов являются научные работники, управленческий и инженерный состав предприятий и организаций автомобильного транспорта и учебных учреждений. Интеллектуальные ресурсы являются основным источником при подготовке специалистов и повышении их квалификации.
2. Материально-техническая или производственно-техническая база, включающая в себя здания, сооружения, технические средства для хранения, заправки, технического обслуживания и ремонта автомобилей.
3. Подвижной состав определенных технико-эксплуатационных свойств, являющийся предметом труда ИТС.
На организацию и технологию ТО и ремонта, на потребность в производственно-технической базе, материальных и трудовых ресурсах влияют следующие основные характеристики и параметры подвижного состава:
• тип: грузовые, легковые, автобусы, прицепы и полуприцепы (см. табл. 7.3);
• назначение и модификация (приложение, табл. П 7-1) - общетранспортного назначения, специализированные и специальные (пожарные, краны, автолавки и др.);
• грузоподъемность и вместимость;
• уровень экологической безопасности (соответствие национальным и международным требованиям);
• вид применяемого топлива и энергии, включая альтернативные;
• надежность, безопасность и экологичность;
• уровень унификации конструкции и применяемых эксплуатационных материалов;
Вам также может быть полезна лекция "Некоронарогенные заболевания миокарда".
• наработка автомобилей с начала эксплуатации и стабильность технико-эксплуатационных свойств при старении;
• габаритные размеры автомобилей и масса основных агрегатов.
4. Материально-технические ресурсы в виде приобретаемых с учетом норм запасных частей, шин, масел и смазок, металла, топлива (расходуемого при техническом обслуживании и ремонте), электрической и тепловой энергии, воды.
5. Финансовые ресурсы, необходимые для: финансирования капиталовложений при строительстве, расширении, реконструкции и техническом перевооружении ПТБ; приобретения автомобилей, нового технологического и другого оборудования; оплаты труда персонала ИТС; приобретения эксплуатационных материалов и обеспечения запасов; оплаты договоров на выполнение проектных, конструкторско-технологических и научно-исследовательских работ. Финансовые ресурсы образуются на основе самофинансирования за счет доходов, получаемых от перевозочного процесса, и других хозяйственных операций, а также региональных дотаций, например на городские автобусные перевозки.
6. Кадры научных, инженерно-технических работников, ремонтных и вспомогательных рабочих. Потребность в персонале определяется производственной программой работ по ТО и ремонту, рекомендуемыми нормами численности и уточняется на местах в соответствии с принятым законодательством и располагаемым фондом материального поощрения.
7. Информационное обеспечение ИТС, необходимое для: оперативного управления и организации производства ТО и ремонта (программы работ по АТП, зонам, цехам и участкам, их текущая загрузка; характеристики потока неисправностей; наличие запасов и др.); формирования самой базы и определения ресурсов ИТС.




















