Современные телекоммникационные технологии
План лекций СТКТ
Лекции: 16(17)
1. Введение. Тенденции. Характеристики современных сетей.
2. Многоуровневый иерархический дизайн
3. Коммутация VS Маршрутизация
4. Адресация: обзор IPv4. Классы, VLSM, CIDR
5. Маршрутизация RIP
6. OSPF .
Рекомендуемые материалы
7. BGP
8. Технологии виртуальных каналов
9. MPLS. Архитектура. Стек протоколов. Метки
10. Протоколы распределения меток: LDP, RSVP-TE
11. Приложения: TE, IGP, VPN
12. Виртуальные частные сети. Понятия. Услуги. Классификация
13. BGP/MPLS VPN
14. VPLS
15. IPtel
16. Softwitch, Ims
Практика/Лабораторные работы
1. IP-адресация, classbul, classless, VLSM, CIDR. Задачи на VLSM
2. Маршрутизация distance-vector VS link-state, static routes, default routes. Просмотр таблицы маршрутизации. Hardware swithcing.
3. RIP, OSPF
4. IOS: режим enable, присвоение адресов, default routing
5. Маршрутизация, RIP, OSPF
6. Самостоятельная задача – конфигурирование сети.
7. Тест/КЗ
+NAT, +access list
Лекция №1
Рекомендуемая литература:
1. Олифер В.Г., Олифер Н.А. «Компьютерные сети. Принципы,
технологии, протоколы» учебник для ВУЗов -3-е изд.-СПб,Питер,2006
2. Гольдштейн А.Б., Гольдштейн Б.С. «Softwitch»СПб:БХВ Санкт-Петербург,2006
3. Росляков А.В., Самсонов Н.Ю., Шибаева И.В. «IP-телефония» М:Эко-трендз,2001
4. Гольдштейн Б.С., Пинчук А.В., Суховицкий А.Л. «IP-телефония» М:радио и связь,2003
5. Гольдштейн А.Б., Гольдштейн Б.С. «Технология и протоколы MPLS», СПб БХВ-Санкт-Петербург,2005
6. www.google.ru
7. Cisco Press: CCNA
8. Cisco Press: MPLS Fundamentals (2007)
Принципы построения современных сетей
1.1. Основные тенденции
В развитии современных сетевых технологий можно выделить следующие тенденции:
1) Широкополосность – контент новых услуг требует все большей полосы пропускания, что в свою очередь порождает развитие новых технологий доступа (пример: ADSL2+, IPTV, VOD, HDTV)
2) Мобильность – предполагает доступ пользователя к заказанному набору услуг вне зависимости от точки доступа к сети (пример услуги: IM (ICQ), e-mail)
3) Открытость – сети и их услуги организуются по открытым стандартам (RFC, ITU-T, ETSI)
4) Конвергенция – взаимопроникновение технологий и услуг, схожесть в принципах организации различных технологий (пример: LAN и WAN – Ethernet, переход на IP)
5) Мультисервисность – организация на базе единой сети множеств, услуг - телефония, передача данных, видео – услуги Triple Play (поговаривают о Quadra Play)
В результате появился новый термин – инфокоммуникационная сеть, отражающая две ключевые составляющие современной сети – информационную (компьютерную) и телекоммуникационную. Соответствующая объединенная область.
Next Generation Network
В результате слияния всех видов сетей в одну сеть на базе КП, предоставляющую набор существующих услуг, открытую для организации и предоставления новых услуг, возникла концепция сети NGN – сети следующего поколения. Справедливости ради, стоит отметить, что NGN это больше маркетинговый термин.
1.2. Требования, предъявляемые к современным сетям
Можно сказать, что это характеристики, которыми должна обладать современная сеть.
1) Производительность – определяет насколько хорошо сеть обслуживает предложенную нагрузку. Разделяется на две группы показателей:
- задержки при передаче (предполагаются пакеты)
- скорость передачи
Задержки: а) средние задержки пакета (сумма всех tз/N)
б) джиттер (среднее отклонение каждой tз среднего)
D=
,
L=
в) коэффициент вариации CV=L/∆
CV=0 – равномерный поток , задержки равны, вариации нет
CV>0 – неравномерный поток, т.е. пульсирующий трафик
г) Максимальная задержка
д) максимальная вариация задержки
е) время реакции сети – время между запросом сетевой службы и ответом на этот вопрос
ж) время оборота – RTT (Round Trip Time) – время путешествия пакета к узлу назначения и обратно
Скорость: а) скорость передачи
SIR
Sustained Information Rate
Средняя
(большой интервал времени)
Peak Information Rate
PIR
Peak Information Rate
Пиковая
(на небольшом разрешенном интервале, который
называется периодом пульсации T)
Данные величины оговариваются в SLA (Service Level Agreement)
б) величины пульсации
B=PIR*T – оценивает объем буфера коммутатора/маршрутизатора, необходимого для хранения данных во время перегрузки сети (то есть когда скорость превышает среднюю величину)
в) коэффициент пульсации – PIR / SIR
2) Надежность характеризует возможность доступ к сетевым услугам без потерь и перерывов в обслуживании.
Для телефонных сетей показатели надежности жестко закреплены на законодательном уровне, отсюда высокая надежность.
а) доля потерянных пакетов
, где
- число потерянных пакетов,
- общее число
Вместо числа пакетов можно использовать объемы данных.
б) доступность – доля времени в течении которого система находится в работоспособном состоянии.
Для TФОП – 0,99999 – эталон надежности в сетях (простой – не более 5 мин в год) – это для АТС.
Для оборудования ПД достигнуто значение 0,999.
в) отказоустойчивость – способность сети скрывать от пользователя отказ отдельных ее элементов. Отказ ведет к деградации сети (например, снижение SIR, или повышению L), но сеть остается, тем не менее, работоспособной.
Надежность повышается тремя способами:
- повышение надежности отдельных элементов
- введение избыточности (альтернативные нагрузки)
- использование методов повторной передачи
3. Безопасность подразумевает защиту информации на конечных и транзитных устройствах сети и защиту информации в процессе ее передачи между узлами.
а) безопасность информационных ресурсов обеспечивается средствами AAA – Auhentication Authorization Accounting (Triple A)
- аутентификация – предотвращение доступа нежелательных лиц, разрешение доступа только легальным пользователям. Аутентификация – установление подлинности.
- авторизация – контроль доступа легальных пользователей к ресурсам с теми правами, которые определены этому пользователю администратором.
- аудит – фиксация в системном журнале (log) всех событий, связанных с доступом к защищенным системным ресурсам
б) безопасность информации в процессе ее передачи обеспечивается средствами защищенных каналов, на базе шифрования трафика или/и разделения трафика в канале передачи (DES, 3DES, VPNL2, VPNL3, VPNL4)
Далее идут качественные характеристики.
4. Расширяемость сети – возможность сравнительно легко добавлять отдельные компоненты сети (пользователи, компьютеры, приложения), наращивание сегментов кабелей, замена существующего оборудования на более мощное.
5. Масштабируемость – возможность наращивать количество узлов и протяженность линий в очень широких пределах при сохранении (или даже увеличении) производительности сети.
6. Управляемость – возможность централизованного контроля основных элементов сети.
7. Совместимость – возможность использования в сети разнообразного программного и аппаратного обеспечения от разных производителей.
Первые три характеристики (производительность, надежность, безопасность) в общих чертах интересуют пользователей сети, а в деталях – операторов сети. Расширяемость, масштабируемость, управляемость, совместимость – это характеристики поставщика услуг.
1.3 Многоуровневый иерархический подход к построению масштабируемых сетей.
Ключевым требованием к сетевой технологии является масштабируемость сети, построенной на базе этой технологии. Для реализации этого требования применяется специальная коммуникационное оборудование и определенная структуризация сети. Масштабируемая сеть обладает многоуровневой иерархической структурой, позволяющей добавлять элементы на каждом уровне иерархии без изменения главной идеи сети.
Типичным подходом является использование трехуровневой модели сети, состоящей из:
- уровня магистрали / ядра сети (core layer)
- уровня распределителя (distribution)
- уровня доступа (access)
При этом за каждым уровнем закреплены свои специфические задачи, отличные от задач других уровней, и задачи, общие для всех уровней. Уровни и функции являются логическими абстракциями и в различных сетях могут сосуществовать на одних устройствах.
Каждый уровень состоит из:
- маршрутизаторы, коммуникаторы, серверы;
- каналы связи между ними

Функции уровней:
Уровень ядра:
- содержит оптимизированную и надежную структуру для передачи трафика на очень высоких скоростях (единицы и десятки гигабит/сек)
- любые функции, ограничивающие скорость передачи, отвергаются
Уровень распределения: формируют политику сети на базе
- маршрутных обновлений (перераспределение маршрутной информации)
- агрегирование маршрутов
- правил маршрутизации трафика VLAN
- списки доступа (ACL)
Уровень обеспечивает безопасность сети и оберегает ресурсы от нежелательного трафика.
Уровень доступа: обеспечивает доступ авторизированных пользователей к сети на основе ААА и ACL на основе обширного набора сетевых технологий (dial-up, ethernet, fr, isdn, ppp, leased lines)
Пример масштабируемой иерархической сети Internet.
(Network of Networks) TIER – уровень, слой.

По размеру покрываемой территории:
Tier1- магистраль
Tier2- аналог tier4, но очень широкий охват территории
Tier3- региональный
Tier4- локальный
1.4. Методы обеспечения масштабируемости.
1) Фильтрация - подразумевает отсечение нежелательного графика, как пользовательского (данные), так и управляющего (маршрутная информация) с целью экономии пропускной способности сети и ресурсов (процессорное время, память) маршрутизаторов/коммутаторов сети.
Фильтрация на 2-м уровне - обеспечивается применением коммутирующих устройств, поддерживающих свою таблицу коммутации (forwarding table). Так в LAN не фильтруется только широковещательный и трафик к неизвестному адресату. VLAN.
Фильтрация на уровне 3- обеспечивается за счет создания таблиц маршрутизации (routing table). При этом фильтруется широковещательный трафик и имеется возможность фильтрации любого нежелательного трафика уровня 3, в том числе маршрутных
Фильтрация на уровне 4- обеспечивается за счет списков доступа, позволяющих отвергать нежелательный трафик по номерам tcp/udp- портов. Например, запретить ftp-трафик.
2) Иерархическая адресация - позволяет разбить сетевой адрес на составляющие -сеть/подсеть/узел. Пример: IPv4, IPv6
3) Агрегация маршрутов - позволяет объединить несколько маршрутов к смежным подсетям в один маршрут.
4) Масштабируемые протоколы маршрутизации- OSPF,IS-IS,BGP-позволяющие разделять сеть на несколько областей. В каждой такой области маршрутизаторы знают и обмениваются маршрутной информацией с маршрутизаторами своей области. Информацию о маршрутах в другой области распространяют пограничные маршрутизаторы. При этом выделяются 2 уровня-магистраль и остальные области. Каждая область должна быть смежной, как минимум с магистральной.
5) Поддержка альтернативных маршрутов и балансировка нагрузки.
6) Поддержка механизмов качества обслуживания - введение очередей различного типа на портах коммутаторов/маршрутизаторов.
7) Возможность туннелирования (мультипротокольность)
1.5. Стек протоколов конвергентной сети.
| IP-tel | Internet | Ronting and signaling | |
| Appl | H.323 (RTP,RTCP) | HTTP,STML,DHCP, POP3,SNMP,ftp DNS,p2p, telnet | RIP,OSPF, LDP, IS-IS, IGRP, RSVP-TE, EIGRP,PIM, SIP, H.248, MGCP,DVMRP,BGP, H.225.0(Q.931), SIGTRAN |
| Transport | TCP UDP SCTP
| ||
| Inter network | IP, ARP,RARP | ||
| Data link | 802.3, PPP, ATM, witi, wimax, SDH (DPT), ATM | ||
| Phy | Fiber, optic,copper, radio SDH, XDSL, 802.3, 802.11, 802.16, G.703, DWDM |
Основные принципы построения сетей.
Цель любой сетевой технологии - обеспечение связности узлов сети. В основе лежат следующие элементы (проблемы):
- топология сети - определяет каким образом узлы сети соединены друг с другом. Под топологией понимается конфигурация графа, вершинам которой соответствуют узлы сети и коммуникационного оборудования, а ребрам - физические и информационные связи между вершинами.
Виды топологий: шина, кольцо, дерево, полнозвенная, ячеистая
- адресация узлов - необходимо для однозначной идентификации узлов сети (сетевых интерфейсов узлов).
Типы адресов:
- числовые/символьные
- уникальный/групповой/широковещательный/произвольный
- плоские/иерархические
- коммутация - процесс соединения конечных узлов сети через сеть транзитных узлов. В узком смысле коммутация - обозначает процесс соединения входного порта к выходным.
- физическое представление и передача данных по каналам связи - кодирование, модуляция (декодирование, демодуляция).
Обобщенная задача коммутации.
Задача коммутации является наиважнейшей из всех перечисленных, особенно с учетом, того, что подавляющее большинство сетей (и все крупные) являются и характеризуются неполносвязной топологией.
Задача коммутации может быть разбита на ряд взаимосвязанных подзадач:
- определение информационных потоков, для которых необходимо прокладывать маршрут.
- маршрутизация потоков
- продвижение этих потоков (распознавание и локальная их коммутация на каждом узле)
- мультиплексирование и демультиплексирование
Определение информационных потоков: на любой транзитный узел сети может поступать несколько потоков. Узел должен уметь распознать все потоки в существующем суммарном потоке, чтобы обеспечить передачу каждого потока тот интерфейс, который приведет к нужному узлу, т.е. к узлу назначения.
В качестве отличительных признаков потока могут использоваться адреса источника, адрес получателя, номер локального порта узла сети, приложения, для которого предназначен данный поток (ftp,www).
В большинстве случаев потоки идентифицируются по одному признаку – адресу сети/узла назначения. Хотя на таких уровнях, как распределительный или уровень доступа, могут быть задействованы и другие признаки.
Каждому распознанному потоку может присваиваться метка потока, которая передается вместе с потоком и позволяет производить распознавание потока один раз – при входе в сеть. На дальнейших узлах распознавание происходит по метке. Метки могут использоваться в двух целях – для ускоренной коммутации (ATM, FR, MPLS) или обеспечение качества обслуживания (DS-byte,ToS).
Маршрутизация – наиважнейшая из подзадач коммутации. Маршрутизация состоит из двух подзадач:
- определение маршрута (оптимального);
- оповещение сети о выбранных маршрутах (оптимальных);
Определение маршрута – это выбор последовательности транзитных узлов и их интерфейсов, через которые нужно передавать данные, чтобы доставить их адресату.
Оповещение о маршрутах - узел i для каждого известного ему маршрута рассылает своим соседям следующую информацию: данные потока х (признак потока), номер соответствующего интерфейса узла i. Возможно, что вместо информации о маршрутах узла передают информацию о топологии сети, и каждый узел самостоятельно рассчитывает маршрут.
Продвижение данных – переброска пакетов потока с входного интерфейса на выходной в соответствии с таблицей коммутации.
Мультиплексирование (демультиплексирование) – объединение нескольких логических потоков в один физический (агрегированный) поток и, соответственно, разделение суммарного потока на несколько составляющих.
Коммутация в LAN
Прием коммутации в Ethernet основывается на MAC –адресах. MAC- адрес представляет собой 6-ти байтное число. Как правило, записывается в шестнадцатеричном формате.
| I/G | U/L | OUI | OUA |
OUI - Organizationally unique identifier
OUA - Organizationally unique address
I/G – Individual/Group
U/L – Uncial/Local
Коммутатор Ethernet выполняет алгоритм прозрачного моста соответствующий стандарту 802.1d. Работает в дейтаграммном режиме и выполняет три действия:
- обучение кадров;
- фильтрация кадров;
- продвижение кадров.
Алгоритм прозрачного моста:
1. Если адрес кадра неизвестен, передать его по всем портам кроме того, на который с которого он получен.
2. Если адрес кадра широковещательный, передать его по всем портам кроме того, на который с которого он получен.
3. Если адрес кадр известен и согласно таблице он в другом сегменте, то передать на этот сегмент
4. Отвергнуть кадр
Архитектура сети предприятия

Архитектура ISP

IP-адресация
IP –адреса относятся к иерархическим числовым адресам. IP-адрес в IPv4 представляет собой 32-х разрядное двоичное число. Записывается, как правило, в виде А.B.C.D. , где A-D – десятичные значения 1, 2 и байты IP –адреса соответственно.
Изначально была предложена классовая структура адресов, в соответствии с которой выделено 5 классов адресов: A, B, C – используются для уникальной адресации сетевых интерфейсов; D – для мультиадресов; E - для экспериментальных исследований.
Идентификация класса адреса происходит по первым битам старшего байта IP –адреса.
- 1-й бит 0 - класс А (1 байт –сеть/3 байта – хост)
- 10 - класс В (2/2)
- 110 - класс С (3/1)
- 1110 - класс D
- 11110 - класс Е
Соответственно, диапазон допустимых адресов сети в схеме адресации будет следующий:
| A | B | C | |
| Значение первого октета | 1-126 | 128-191 | 192-223 |
| Возможные сетевые адреса | 1.0.0.0- 126.0.0.0 | 128.1.0.0.- 191.254.0.0 | 192.0.1.0.- 223.255.254.0 |
| Число сетей в классе | 27-2=126 | 214-2=8190 | 221-2=2097150 |
| Число узлов в сети | 224-2=16.777.214 | 216-2=65.534 | 28-2=254 |
В пространстве IP- адресов выделяют IP- адреса специального назначения:
- 127.0.0.0 – сеть обратной связи (loopback)
- 255.255.255.255 – адрес ограниченной широковещательной рассылки
- Адрес сети + адрес хоста (1) – направленная широковещательная рассылка
- Адрес сети + адрес хоста (0) – адрес сети (не используется в качестве адреса источника) назначения
- Адрес сети (0) + адрес хоста – адрес узла в той же сети, что и адрес отправителя
- Адрес сети (0) + адрес (0) – неизвестный адрес (не может быть в поле получателя)
Сети 128.0.0.0, 191.255.0.0, 192.0.0.0, 223.255.255.0 также зарезервированы для специальных целей
Такая классовая иерархия привела к проблеме неэффективного использования и нехватке IP-адресов.
Одним из предложенных решений было введение частных адресов, определенных в RFC 1918.
В соответствии с этим для использования в частных сетях предлагается использовать:
- 10.0.0.0 – 1 сеть класса А
- 16 сетей класса В - 172.16.0.0 -172.31.0.0
- 255 сетей класса С -192.168.0.0 -192.168.255.0
Изначально, данные адреса было рекомендовано применять в IP-сетях, не подключенных к сети в Internet, т.е. тех, в которых не требовалось соблюдать уникальность адресов.

Со временем многим из таких сетей также потребовался доступ к Internet. Для решения проблем подключения сетей с частными IP-адресами было предложено 3 решения:
- технологии трансляции адресов NAT
- технологии трансляции адресов и портов PAT
- прокси –серверы (PROXY)
Для более эффективного управления IP-адресацией используются маски. Маска позволяет ввести дополнительный уровень иерархии в IP-адресации – уровень подсети. Маска – 32х битное число, содержащее 1цы в тех позициях, в которых соответствующий IP-адрес содержит номер сети и подсети, а 0 в тех позициях IP-адреса, содержащего адрес хоста.
Маски для стандартных классов:
A: 255.0.00
B: 255.255.0.0
C: 255.255.255.0
Пример: 10.0.0.0 (255.255.255)
Адрес сети 10.0.0.0
Адрес подсети 10.0.1.0
Адрес узла 0.0.0.2
Пример: Структуризация SLSM

Проблемы:
1. Неэффективность – в каждой подсети выделено адресов больше, чем требуется
2. Большое число маршрутных объявлений
3. Затрачена целая сеть класса А, хотя во всей сети требуется гораздо меньше адресов
4. Огромное количество адресов на последовательных интерфейсах
Для решения проблем неэффективного использования IP - адресов при масках постоянной длины была предложена идея масок переменной длины. Применение VLSM невозможно без classless протоколов маршрутизации – протоколов, которые в своих маршрутных объявлениях передают информацию о масках – OSPF, IS-IS, EIGRP.

|
0 1 1 1 1 1 1 1 |
|
1 0 1 1 1 1 1 1 |
|
1 1 0 1 1 1 1 1 |
|
1 1 1 0 1 1 1 1 |
|
1 1 1 1 1 1 1 1 |
Проблемы:
1. Неэффективное выделение адресов в целом (для всей сети)
2. Больше маршрутных объявлений (для каждой подсети)
Дальнейшим решением проблемы дефицита IP-адресов стал отказ от классовой структуры адресов – технология CIDR. В настоящее время Интернет и крупные IP-сети функционируют вне классовой системы.
В результате пользователю выделяется не целый класс адресов, а непрерывный блок адресов, размера, достаточного для пользователя.
Так провайдер выделит не целую сеть 9.0.0.0, а необходимый блок адресов. В нашей сети требуется порядка 600 адресов. С использованием CIDR достаточно блока в 1024 адреса.
Маршрутизация в сетях IP
В целом, как говорилось раньше, задача маршрутизации разделяется на две подзадачи:
-поиск маршрута в таблице маршрутизации;
-построение таблиц маршрутизации.
Типичная таблица маршрутизации включает в себя:
-адрес сети;
-адрес следующего роутера;
-адрес выходного интерфейса роутера;
-метрика;
-источник маршрутной информации.
В качестве источников может выступать:
-ПО стека TCP/IP;
-администратор сети;
-протоколы маршрутизации.
Маршрутизация IP без масок: запрос web- страницы www.mail.ru

Общий процесс загрузки web-страницы состоит из следующих этапов:
1. Пользователь в браузере вводит web-страницы www.mail.ru
2. ПО пользователя запрашивает у DNS-сервера, адрес который известен из конфигурационных параметров, IP-адрес сервера www.mail.ru
3. DNS-сервер возвращает IP-адрес от сервера к клиенту PC1
4. PC1 создает TCP-соединение с web-сервером и запрашивает web-страницу
5. Web-сервер возвращает пользователю эту запрошенную страницу
Рассмотрим подробнее:
Передача DNS-запроса
1.1. Браузер передает запрос DNS-клиенту на том же компьютере, DNS-клиент формирует DNS-запрос «Какой IP-адрес соответствует символьному имени www.mai.ru?» и упаковывает его в UDP-датаграмму, а ту в IP-пакет с параметрами: IPотпр=195.180.3.27 , IPполуч=230.20.1.3 , Портполуч=53 ,
Потротпр=3233.
1.2. Перед упаковкой IP-пакета в кадр Ethernet PC1 проверяет нужна ли маршрутизация? Поскольку в IP-пакете IP-пакете IPотпр и IPназн принадлежат разным подсетям, то маршрутизация нужна.
1.3. Поскольку маршрутизация нужна, то по TCP/IP компьютера PC1 пытается найти маршрут для узла 230.20.1.3 в своей таблице маршрутизации. Таблица маршрутизации Windows-системы (cmd→route print), как правило, имеет следующий вид:
| Сетевой адрес | Маска | Шлюз | Интерфейс | Метрика |
| 0.0.0.0 195.180.3.1 127.0.0.0 195.180.3.0 195.180.3.255 224.0.0.0 255.255.255.255 | 0.0.0.0 255.255.255.255 255.0.0.0 255.255.255.0 255.255.255.255 240.0.0.0 255.255.255.255 | 195.180.3.1 127.0.0.1 127.0.0.1 195.180.3.27 195.180.3.27 195.180.3.27 195.180.3.27 | 195.180.3.27 127.0.0.1 127.0.0.1 195.180.3.27 195.180.3.27 195.180.3.27 195.180.3.27 | 1 1 1 |
В данном случае адрес 230.20.1.3 соответствует маршруту по умолчанию 0.0.0.0 . Следовательно, пакет необходимо передать на шлюз 195.180.3.1 через интерфейс 195.180.3.27.
1.4/ Чтобы передать кадр с IP-пакетом через Ethernet PC необходимо узнать MAC-адрес шлюза 195.180.3.27. Предположим, что в ARP-кэше такого адреса нет.
Тогда PC1 рассылает по Ethernet arp-запрос «Какой MAC-адрес у узла 195.180.3.27?» Все узлы Ethernet получают запрос, но отвечает но него только шлюз- arp-ответ: узел 195.180.3.1 имеет MAC-адрес 00:8E:6B:7A:11:00 -“ MAC 1“
1.5. PC формирует кадр Ethernet с MACотпр=MACPC1 и MACпол=MAC1 и отправляет его через интерфейс 195.18.3.27.
1.6. Кадр Ethernet принимает R1 и извлекает IP-пакет. Поскольку IPназн в пакете не совпадает с адресами сетевых интерфейсов R1, то он понимает, что необходима дальнейшая маршрутизация пакета. R1 просматривает свою таблицу маршрутизации и находит в ней строку:230.20.1.0/24 serial 0. Соответственно R1 передает IP-пакет, упакованный в HDLC-кадр роутеру R1 (193.1.1.1) через интерфейс serial 0.
1.7. Роутер R2 принимает IP-пакет, анализирует IP-адрес назначения и свою таблицу и обнаруживает, что IPназн принадлежит подключенной к нему сети Ethernet: 230.20.1.0/24 directly connected Ethernet 0/10.
1.8. R2 просматривает ARP-кэш, находит в нем MAC-адрес DNS-сервера MACDNS, упаковывает IP-пакет в кадр Ethernet с адресом назначения MACDNS и передает его через интерфейс FE 0/10.
1.9. DNS-сервер принимает кадр Ethernet, извлекает IP-пакет по IP-адресу назначения понимает, что пакет назначения ему и передает содержимое UDP-дейтаграммы серверной части DNS, которое обрабатывает запрос, просматривает свои записи и обнаруживает, что адрес www.mai.ru-194.180.3.27. Затем DNS-сервер формирует UDP-дейтаграмму с DNS-ответом, упаковывает ее в IP-пакет: IPназн=195.180.3.27, IPотпр=230.20.1.3, Pназн3233, Pотпр=53.
1.10. По TCP/IP DNS-сервер просматривает таблицу маршрутизации (пакет нужно маршрутизировать) и находит в своей таблице запись, что пакет для сети нужно передавать через R2 (230.20.1.1). MAC-адрес интерфейса хранится в ARP-кэше (так как только в кадр от R2 пришел), поэтому DNS-сервер формирует кадр Ethernet MACназн= MAC R2.
1.11. R2 получает кадр, извлекает IP-пакет, анализирует IP-адрес назначения и свою таблицу и находит запись: 195.180.3.0 193.1.1.3 serial 1.
1.12. R1 получает кадр HDLC, позволяет IP-пакет, анализирует таблицу маршрутизации и понимает, что IPназн=195.180.3.27 в подключенной сети.
/ПРОПУСК стр. 22,23,24

| Net | Mask | Next hor | Int | m |
| 10.0.1.0 | /24 | 10.1.1.2 | s o | 1 |
Классификация протоколов маршрутизации.
1.Выделяют две основные категории по месту протокола в сети:
- внутренней маршрутизации – IGP – те, которые работают внутри автономной системы
- внешней маршрутизации - EGP – те, которые работают между автономными системами
IGP: RIP1, RIP2, RIPng, IGRP, EIGRP, OSPF, IS-IS
EGP: EGP, BGP (BGPv4)
Пример:

R5 объявляет о маршруте к 10.0.1.0/24 так:
AS-path: 201, 300, 5, 3.4.5.1, 10.0.1.0/24
Маршрут в BGP представляет собой последовательность номеров автономных систем, Next-hop, Net/Mask
Net/Mask Next-hop Int M
На R1: 10.0.1.0/24 R2 Se0 10
На R3: 10.0.1.0/24 R5 Se0 20
2. По типу выполняемого алгоритма:
- дистанционно-векторные протоколы (DVA)
- протокол состояния связей (LSA)
DVA – Distance–Vector Algorithm – при этом каждый алгоритм по сети расстояний до известных ему подсетей (подсеть – расстояние) в качестве next-hop указывает себя (вектор на себя).

R2-> R1

R1 принимает это объявление, расстояние на единицу, и сравнивает эту информацию со своей таблицей. Если он принимает информацию в таблицу, то в качестве next-hop указывает адрес R2.
Примеры: RIP, IGRP, EIGRP (hybrid)
LSA–Link-State algorithm – при этом каждый роутер рассылает соседям о известной ему топологии сети, в результате каждый роутер имеет информацию о полной топологии сети (весь граф) и вычисляет маршруты на основе алгоритма кратчайших путей.
Для того же примера R4 рассылает информацию:
Router ID=R4

R2 в свою очередь рассылает для R1:
Router ID=R2

Router ID=R4

Таким образом, R1 получает информацию о графе сети и выполняет алгоритм Дийкстры для вычислений кратчайших путей до всех известных подсетей. Вершинам графа соответствуют маршрутизатор и сети.
Пример: OSPF, IS-IS
Для DVA характерен периодический обмен полной маршрутной информацией.
Для LSA характерен начальный обмен полной информацией о топологии сети и в дальнейшем небольшие объявления лишь об изменениях в сети.
Функциональная модель маршрутизатора.

Протокол RIP
Основная работа протокола RIP была описана в предыдущей лекции как работа протокола DVA.
Существует 3 версии RIP:
RIP v1- classtul (no VLSM, no route summurization, no authentication)
RIP v2 – classless (Masks, VLSM, CIDR)
RIP ng – поддержка адресации IPv6
RIP v2 определен в RFC 1723. Наиболее важной его чертой является, то что в своих сообщениях RIP v2 передает маски – это позволяет поддерживать VLSM, Route summarization. Кроме того, RIP v2 встроена поддержка аутентификации маршрутных объявлений.
Еще одним нововведением RIP2 является то, что рассылка маршрутной информации идет по мультикаст - адресу 224.0.0.9 (у RIP v1 – 225.225.255.255). В обоих случаях используется в качестве транспортного протокола – UDP (порт 520)

Предположим, что в сети появилась новая подсеть
10.0.0.0/30 0


R1: 10.0.0.4/30
directly connected
10.0.0.8/30 S1 directly connected

R2: 10.0.0.8/30 S1 directly connected
10.0.0.0|30
directly connected


: 10.0.0.4/30 0
: 10.0.0.0/30 1
10.0.1.0/24 1 10.0.0.8/30 0
R1 ни чего не шлет, R3, следовательно,
правило расщепления горизонта
Split horizont
: 10.0.0.0/30 0
: 10.0.0.8/30 0
10.0.1.0/24 1 (split horizont)
10.0.0.4/30 1 R3 ничего не добавляет
R1 ни чего не добавляет

Несмотря полезные нововведения в виде поддержки масок RIPv2 унаследовал недостатки протокола RIPv1. Период обновлений 30 секунд.
1) отсутствие альтернативных маршрутов – если падает звено, то роутер ждет объявлений о новом маршруте
2) счет до бесконечности – маршрут считается недостижимым при метраже больше 15. Такая ситуация может возникнуть при закольцовывании марщрутов.
3) Максимальный размер сети – 15 хонов.
4) Метрика не учитывает пропускную способность задержки в сети.
5) Закольцовывание маршрутов.
Для борьбы с 5) проблемой были предложены методы:
- расщепление горизонта – роутер не распространяет информацию о тех сетях на интерфейсах, если он получил информацию об этих сетях с данного интерфейса
- объявление об отказавшем маршруте с бесконечной метрикой.

- замораживание изменений – после того, как маршрут отказал и об этом стало известно, никакая положительная информация о другом маршруте к данной сети не применяется.
- триггерные обновления – когда маршрут отказал, информация об этом распространяется медленно.
- истечение времени жизни маршрута (помогает если отказал роутер) – 180 секунд.
Протокол OSPF
Open Short Path First – протокол состояния связей, описываемый в RFC 2328 и др.
По сравнению с RIP обладает следующими преимуществами:
- быстрая сходимость;
- поддержка больших сетей
- использование стоимости маршрута в качестве метража;
- экономия полосы пропускания (малый объем маршрутных объявлений)
- иерархическая организация сети
Терминология OSPF
- link (связь) – сетевой канал или маршрут
- cостояние связи – статус связи между двумя роутерами, а также статус интерфейса роутера и его связи с соседями
- топологическая база данных – информация о состоянии связей графа сети
- область (area) – логическая часть сети, внутри которой все роутеры имеют идентичную топологическую базу;
- таблица маршрутизации
- таблица смежности – список соседних роутеров, с которыми данный роутер поддерживает коммуникации
- назначенный роутер – роутер, который выбирается в LAN всеми роутерами и представляющий их
- запасной назначенный роутер
В процессе своего взаимодействия интерфейсы роутеры могут находиться в одном из следующих 7 состояний:
1) Down – интерфейс пока не менялся информацией с соседями;
2) Init – инициализация OSPF рассылает пакеты Hello для установления взаимосвязей с соседями (Hello – тип пакета 1). Router получивший Hello – пакет, также переходит в состояние Init;
Существует два типа взаимосвязи – Two-way и Adjacency.
3) Two-way – состояние соединения. С помощью Hello- пакетов роутеры вначале пытаются установить Two-way отношения. Hello-пакет включает в себя список известных отправителю пакета соседей. Если получатель Hello- пакета видит себя в этом списке, то он сообщает об этом отправителю и Two-way отношение установлено.
Данное состояние - самое простое отношение, в котором роутеры могут существовать, но при этом маршрутной информацией они не обмениваются. Для обмена маршрутной информацией и построения таблицы маршрутизации, роутер должен сформировать отношения смежности хотя бы с одним соседом. В отношении смежности включает в себя несколько промежуточных состояний в которых роутеры обмениваются помимо Hello другими типами сообщений.
4) ExStart- первое состояние отношения смежности в котором роутеры выполняют Hello кто будет ведущим, а кто ведущим в обмене маршрутной информацией. Роутер имеющий висячий ID выигрывает. После чего, переход в следующее состояние. RID- либо loopback-адрес, deal! Если его нет –то старший IP.
5) Exchange- обмен- в данном состоянии происходит обмен информацией о виде топологической базы данных (т.е. общая информация - какие связи известны каждому роутеру). Для этого используется тип 2 – Database-Description. Если, какой –либо роутер обнаруживает, что в его базе нет сведений о какой-либо связи(link), то он запрашивает эту информацию в следующем состоянии.
6) Loading – загрузка – запрашивается информация о конкретных связях - тех, которые отсутствуют в базе данных запрашивающего роутера, либо по тем, информация о которых устарела. Для запроса используется тип сообщения 3-link-state request. В ответ- сообщения типа 4- link-state update, которое подтверждается сообщением типа 5 link-state acknowledgment.
7) Full Adjacency – отношение полного соответствия. База данных о топологии полностью идентична.
Графически процесс можно представить:



Для того чтобы роутеры стали соседями необходимо совпадение следующих параметров в Hello-пакете:
- маска подсети
- номер подсети
- значение Hello-интервала
- значение Dead-интервала
- значение номера области OSPF
- аутентификация должна быть успешной
Выбор DR и BDR возникает только в случае среды с множественным доступом, например LAN или FR.
Концептуально выглядит так:

Интервал Hello – по умолчанию 10 сек.(NBMA – 30 сек). Dead Interval – время которое ограничивает ожидание Hello. Если в течении Dead нет Hello – то роутер считается упавшим – инициализируется новый обмен информацией. Каждые 30 минут обмен полной базой данных.
В случае сети с множественным доступом выбираете два роутера - DR и BDR. Все остальные роутеры устанавливают отношения смежности только этими двумя роутерами. DR и BDR также устанавливают отношения Adjacency. DR отвечает за распространение маршрутной информации.
Все сообщения протокола OSPF передаются на адрес 224.0.0.5 непосредственно в теле пакета IP (то есть, без использования TCP или UDP)
Формат сообщений OSPF
Различают 5 типов OSPF-пакетов:
- Тип 1 – Hello используется для установления и поддержания отношений смежности между роутерами
- Тип 2 – Database Description – DBD – описывает содержание базы данных состояния связей(топологической базы данных) роутера.
- Тип 3 – Link State Request – LSR – запрашивает часть топологической базы данных
- Тип 4 – Link State Update – LSU – переносит объявление о состоянии связи соседнему роутеру.
- Тип 5 – Link State Acknowledgement – LSAckn – подтверждение приема сообщения от соседа.
Общий заголовок OSPF-пакета:
| Version | Type | Pocket Length | |
| Router ID | |||
| Area ID | |||
| Checksum | Authentification Type | ||
| Authentification Data | |||
В качестве RID – либо адрес Loopback-интерфейса, либо наибольший IP-адрес.
Полезность Loopback – int – tail to router должен использовать RID с другого int следовательно снова входить в adjacency!
Заголовок Hello-пакета
| Network Mask | ||
| Hello Interval | Options | Router Priority |
| Dead Interval | ||
| DR | ||
| BDR | ||
| Neighbar RID | ||
| Neighbar RID | ||
| . . . |
Options – для дополнительных конфигураций в частности, для специальных тупиковых областей(stub area)
Функционирование OSPF-протокола:
Основные шаги:
1.Установление отношений смежности(Down, Init)
2.Выбор DR, BDR (two way)
3.Обмен информацией о топологии (Exstart, Exchange, Full Adjacency)
4.Выбор маршрутов(просмотр таблиц)
5. Поддержка таблицы маршрутиазции (адаптация к изменениям)

Подробнее шаг 5:
1. Отказала Eth1, R4 обнаружит это
2. R4 посылает LSU по адресу 224.0.0.6(адрес DR и BDR), если в сети нет DR и BDR то по обычному 224.0.0.5
3. DR в ответ LSAckn 224.0.0.5
4. DR рассылает сообщения всем остальным по 224.0.0.6 LSU,в ответ LSAckn
5. Остальные роутеры передают LSU в другие сети; R3 передает в serial 0
Каждый роутер при приеме LSU меняет соответствующим образом свою базу данных, запускает алгоритм Дийкcтры и строит новую таблицу маршрутизации.
Выделяют 4 типа сетей в OSPF:
- BMA
- Point-to-point
- NBMA (FR, λ.25)
- pain-to-multipain
В сетях типа NBMA невозможна массовая рассылка OSPF-пакетов по multicast адресам, поэтому нормальный выбор DR и BDR не возможен. Для решения этой проблемы применяются специфические средства, административно конфигурируют на роутерах:
- явное указание соседа (с кем обмен информацией)
- создание поинтерфейсов
- конфигурирование типа сети «точка-многоточка»
1)В сетях с топологией full-meshed – neighbor либо subint. Команда neighbor – для сетей в одной подсети, subint для подсетей на каждый PVC в FR. В этом случае используется Inverse ARP или FR map для разрешения канального адреса соседнего роутера.
2)В сетях partial-meshed (hub-and-spoke) команда neighbor не cработает, следовательно
- конфигурировать так, чтобы DR = hub (у всех spoke prior = 0)
- разделение сети на подсети по одной на PVC
- конфигурирование сети как p-t-mp
Поддержка больших сетей протокола OSPF.
Масштабируемость OSPF достигается за счет концепции разделения автономной системы с большим числом роутеров на несколько логических подсистем в каждой из которых OSPF выступает в роли протокола ICP формирует топологию области и находит все маршруты внутри области. При маршрутизации между областями OSPF в некотором смысле играют роль протокола ЕGР – передают информацию об агрированных маршрутах, но не о топологии областей.
Данный подход позволяет:
- уменьшить частоту и сложность расчета дерева кратчайших путей (меньше изменений, меньше графическая сеть)
- уменьшить размер таблиц маршрутизации, следовательно меньше времени уходит на поиск маршрута
- уменьшить объем маршрутных объявлений, следовательно повысить эффективность использования сетевых ресурсов
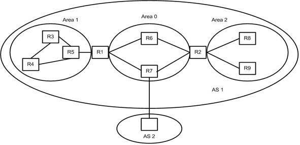
Каждая область обладает уникальным номером – area ID(32 bit)
По существу выделяют используют двухуровневые иерархии:
- нижний уровень – магистраль – area 1
- верхний уровень – area 2
Все области верхнего уровня в обязательном порядке связываются через магистральный уровень.

Роутеры OSPF могут играть следующие роли:
- внутренний(R3-R5, R8, R9)
- магистральный (R1, R2, R6, R7)
- пограничный маршрутизатор области ABR (Area Border Router) (R1, R2)
- пограничный маршрутизатор AS - ASBR
Каждый маршрутизатор может выступать как маршрутизатор разного типа.
Особую роль играют ABR и ASBR внутренние магистральные роутеры обмениваются информацией о топологии внутри своей области, формируют идентичную базу данных и рассчитывают маршруты внутри области.
ABR формирует несколько баз по числу подключенных областей в каждой из которых он выступает как внутренний маршрутизатор. По информации о маршрутах внутри области он по возможности суммирует и распространяет в магистраль сети, которая в свою очередь передает ее ABR распространяют внутри своей области.
ASBR соответственно может распространять информацию от внешних сетей (других AS) других протоколов маршрутизации, а также маршрута внутри своей AS распространяет во внешней сети.
Каждый из маршрутизаторов (int/back/ABR/ASBR) использует свой тип объявления о состоянии связей LSA:
Тип 1 – Router LSA– описывает интерфейсы, роутеры внутри области.
Тип 2 – Network LSA – описывает набор роутеров подключенных к одной сети с множественным доступом генерируются DK
Тип 3 – Summary LSA – описывает маршруты между ABR и сетями внутри области. Передают ABR через магистраль других ABR.
Тип 4 – ASBR LSA – описывает достижимости ASBR. ASBR следовательно другие ABR через магистраль.
Тип 5 – AS external LSA– описывает маршруты к внешним сетям. Распространяется по всей сети внутри AS.
Тип 6 – Multicast OSPF LSA – для построения мультикаст дерева/
Тип 7 – NSSA LSA– маршрут о внешних сетях. Передается через специальные области NSSA и транслируется в тип 5 LSA. ASBR передает т.7 LSA, только когда он присоединен к NSSA.
Типы областей:
- Стандартная область – принимает любые объявления и агрегированные маршруты.
- Магистральная область – стандартная область, через которую связывают роутеры других областей.
- Тупиковая область Stub – область, которая не принимает информацию о внешних маршрутах других AS. Для внешних маршрутов – 0.0.0.010
- Тотально тупиковая область Totally Stubby Area – не принимает объявления о внешних маршрутах и агрегированных маршрутах к другим областям данной AS.
- Специальная тупиковая область Not-So-Stubby Area – тупиковая область которая поддерживает более 1-го протокола маршрутизации (например RIP) ASBR в такие области может импортировать маршруты, которые будут восприниматься другими протоколами области NSSA.
Алгоритм OSPF в multiarea:
1. Внутри области выполняется обычный алгоритм OSPF до тех пор пока каждая область не синхронизирует тип 1, тип 2.
2. ABR формирует суммарное объявление LSA о топологии области (тип 3, тип 4)
3. ABR рассылает суммарное LSA в сообщение LSU по магистрали
4. ABR позиция LSA обновляет свои базы данных и рассылает обновления внутри области за исключением случая когда область stub или totally stubby.

Общее эмпирическое правило - сеть больше 50 роутеров разбивается на области!
Технология MPLS
MPLS – многопротокольная коммутация по меткам
Технология MPLS основывается на идеологии виртуальных каналов, суть которой в том, что передача пакетов данных происходит не на основе адресной информации, а основе номеров предварительно сконфигурированных маршрутов, называемых виртуальными каналами. Это технологии X.25, FR, ATM.

Ядро сети состоит из коммутаторов пакетов поддерживающих 2 таблицы – таблица маршрутизации и таблица коммутации. Первая используется для установления виртуальных каналов, вторая для коммутации пакетов по номерам BK.
ВК-и устанавливают на основе адресной информации (в FR формата E.164, в АТМ – 20-байтные адреса АТМ) на основе специальных сигнальных протоколов (FR – Q.333 + Q.921 (LAP - D), АТМ – Q.2931 + SSCOP + AALS). При установлении виртуальных каналов по соответствующим сигнальным протоколам посылаются сообщения установления соединения с адресом устройства назначения. В результате этого каждым коммутатором выделяется номер виртуального канала (плюс ресурсы) который вносится в таблицу коммутации узла и сообщается значение соответствующего номера вышестоящему узлу.
После того как ВК сконфигурирован – передача пользовательских данных идет исходя из значений номеров виртуальных каналов которые передаются вместе с пакетом (DLCI в FR, VCI/VPI в АТМ)
В большинстве случаев все виртуальные каналы заранее конфигурируются сервис провайдером, так как являются PVC – Permanent Virtual Channel.
Технология MPLS использует аналогичную идею. На основе протоколов маршрутизации, сигнализации создаются пути коммутации по меткам LSP которые по пути являются виртуальными каналами. Каждый такой путь представляет собой набор значений меток. Метка представляет собой десятичное число.
Упрощенно картина выглядит следующим образом:
Каждый роутер выполняет протокол маршрутизации для определения оптимальных маршрутов и производит классификацию трафика на предмет выявления классов пакетов имеющих идентичные требования к передаче FEC (в простейшем случае – выявляет те пакеты которые характеризуются одним и тем же направлением передачи), каждому такому классу присваивается определенное значение метки. Это значение сообщается вышестоящему роутеру – тот получив пакет, попадающий под соответствующий класс снабжает его нужной меткой и передает его нижестоящему роутеру, который производит его передачу уже на основе значения метки.

Так “4” определяет класс пакетов с адресами 10.0.1.0 – 10.0.3.0. Данному FEC прививает значение метки L=7 и передает эти значения роутеру “2”. “2” определив что данный FEC узел действительно является лучшим next-hop присваивает данному FEC значение L = 5 и передает его узлам “1” и “3” и т.д. Узел “ 1” получив пакет с IP = 10.0.1.10 смотрит в свою таблицу соответствия FEC меток – LIB (Label Information Base) и присваивает пакету метку L = 5. Далее смотрит в свою таблицу коммутации, согласно с которой пакет с L = 5 необходимо передать узлу “2”. Узел “2” получив пакет с L = 5 просматривает таблицу коммутации согласно которой пакет необходимо передать узлу “4” и поменяет L на L = 7 “4” получив, смотрит свою таблицу и понимает что метку нужно удалить а пакет передать на интерфейс с 0.
Преимущества технологии MPLS.
Первоначально в качестве основных преимуществ MPLS называлась высокая скорость маршрутизации IP-пакетов так, как просмотр таблицы маршрутизации и анализ изменения заголовка происходит один раз – при входе пакета в MPLS домен. Однако с переходом маршрутизации на аппаратную основу данное преимущество уже не столь явное и не является основанием для перевода сети на MPLS-платформу.
В качестве основных преимуществ на следующий день можно назвать следующие:
- использование однородной сетевой инфраструктуры
- хорошая интеграция IP c ATM
- одноранговая модель VPN
- инжиниринг трафика
1. Однородная сетевая инфраструктура – подразумевает использование единой сетевой технологии в ядре сети для оказания всевозможных сервисов так MPLS способна передавать не только трафик IP, но также пакетный трафик 2-10 уровня – Ethernet HDLC PPP. Данная особенность позволяет AToM – Any Transport over MPLS
2. По мере роста популярности IP и объема сетей АТМ весьма остро встала проблема организации их совместной работы, то есть IP поверх сети ATM. Проблема заключалась в том как отобразить трафик 3-го уровня IP в виртуальные соединения 2-го уровня, которые устанавливаются согласно принципам адресации и маршрутизации ATM. Было предложено много различных способов начиная от статического отображения next-hop ß à BK и заканчивая специальными протоколами UDP, LANE NHRP, MPOA некоторые из которых требовали специального сервера разрешения адресов.
Идеальным же решением явилось следующее – в сетях АТМ отключается плоскость управления АТМ вместо которой используется протокол IP маршрутизации передача пакетов происходит в формате ячеек АТМ но на основе MPLS –меток значение которых помещается в поле VCI/VPI – ячейки АТМ.
3. Одноранговая модель VPN.
VPN – виртуальная частная сеть – технология объединения корпоративных клиентов в единую сеть на базе ресурсов сети общего пользования. При этом для пользователей это объединение выглядит как единолично ими используемая частная сеть.
Традиционная модель VPN – наложенная сеть организованная каналами “точка и точка” (виртуальными каналами). Недостаток – необходимо большое число каналов, маршрутизация (дерево) не соответствует топологии физической сети. Грубо говоря для создания такой VPN необходимо связать все роутеры пользователя по принципу “каждый с каждым” либо “звезда” (hub-and-spoke). При этом не происходит обмена маршрутной информацией с провайдером даже если для объединения используется IP (GRE, IPSec, PPTP, L2TP)
Модель VPN в MPLS – одноранговая (peer-to-peer), поскольку пользователь и провайдер обмениваются маршрутной информацией, то формирует отношение IP-IP, а не IP over IP, IP over ATM/FR, PPP.
Для облечения безопасности провайдер изолирует маршруты объявления и трафик разных VPN друг от друга. Конфигурация такой VPN как для пользователя, так и для провайдера гораздо проще. Кроме того дерево маршрутизации пользователя соответствует физической топологии сети провайдера.

A-C один переход, хотя физически 2
B-C через А неэффективная передача(не по shortest path )

Маршрутизация трафика VPN осуществляется согласно таблицам в сети провайдера то есть может осуществляться оптимально.
4.Инжиниринг трафика – технология маршрутизации трафика с учетом оптимального использования сетевых ресурсов провайдера при соблюдении заданных требований. Позволяет выбирать маршрут так чтобы эффективно использовать все доступные ресурсы.
Обратите внимание на лекцию "Жизнь без табака, за и против".

Shortest Path
Второй путь не используется

Трафик разделяется для оптимальной загрузки.



0 0 0 0 0 0 0 0 



















