Наноиндентирование
Введение
Непрерывное уменьшение характерных размеров электронных компонентов, МЭМС, пленочных покрытий и других продуктов нанотехнологий сделало актуальным разработку средств исследования их физико-механических свойств в наномасштабе, т.к. такие объекты требуют небольших нагрузок, и использование оптической микроскопии становится неэффективным. Анализ литературных источников указывает на то, что механические свойства большинства материалов испытывают значительные изменения в субмикронных масштабах. Особенно влияние масштабного фактора сказывается на параметрах, характеризующих переход от упругого к упругопластическому деформированию, а также на механизмах зарождения и протекания начальных стадий пластической деформации.
Принципы и техника наноиндентирования
Одним из основных современных методов исследования механических свойств материалов в наномасштабе является метод наноиндентирования или индентирования (depth-sensing indentation), заключающийся в прецизионном нагружении плоской поверхности образца индентором с одновременной регистрацией усилия внедрения Р и глубины внедрения h, что позволяет локализовать деформацию в субмикронной области исследуемого материала.( Рис. 1). Индентирование позволяет определить модуль упругости и нанотвердость поверхности образца.

Рис.1
В технике наноиндентирования (далее НИ) используют инденторы различной формы – в виде цилиндра с плоским торцом, пирамиды, сферы, конуса. Каждая из них имеет свои достоинства и недостатки. Наиболее часто употребим алмазный индентор Берковича (трехгранная пирамида). Он позволяет избежать проблемы сведения четырех граней в одну точку и получить радиус закругления вершины менее 100 нм.
Приборы, позволяющие проводить индентирование, принципиально устроены сходным образом. Рассмотрим реализацию процесса на примере сканирующего зондового микроскопа (СЗМ) Солвер Некст из лаборатории кафедры МТ11. НИ на СЗМ осуществляется с помощью использования наносклерометрической головки, в комплект которой также входят пьезорезонансный зондовый датчик и эталонный образец для его калибровки.

Рекомендуемые материалы
Рис.2 Зондовый датчик: 1 – алмазный индентер типа Берковича; 2 – консольная вилка; 3- разъем для подключения зондового датчика к наносклерометрической головке;
4 – направляющий штифт; 5 – консоли; 6 – ограничитель изгиба консольной балки
Принцип работы прибора при индентировании следующий. Наконечник индентора, перпендикулярный к поверхности образца, вдавливается в него, путем приложения возрастающей нагрузки до предварительно заданной величины. Выдерживается заданное время при максимальной нагрузке, и затем постепенно снижают её. При этом вдавленный материал, под индентором, частично возвращается в свое исходное состояние. Таким образом, происходит упругопластическая деформация материала, т.е. испытываемый материал деформируется (вдавливается), как пластилин, под воздействием индентора, однако в конце стадии деформации в материале наблюдается частичное восстановление формы - упругое восстановление (Рис.3).


Рис.3 hmax – максимальная глубина отпечатка при максимальной нагрузке Рmax , hf - глубина проникновения индентора после снятия нагрузки, hc – контактная глубина отпечатка при максимальной нагрузке на индентор.
Для вычисления силы приложенной к зонду используют систему регистрации изгибов зондового датчика (далее – система регистрации). Система регистрации состоит из светодиода и фотодиода, расположенных, соответственно, в левой и правой частях держателя зондового датчика. Излучение от светодиода, проходя между нижней консолью зондового датчика и ограничителем изгиба консольной балки, попадает в фотодиод. Сигнал, зарегистрированный фотодиодом пропорционален силе приложенной к зонду (см. Рис. 4).

Рис. 4. Устройство оптического датчика: 1 – держатель зондового датчика; 2 – винт для настройки зондового датчика; 3 – алмазный индентер; 4 – консоли; 5 – ограничитель изгиба консольной балки; 6 – излучение от светодиода
По результатам индентирования строится так называемая P-h-диаграмма (см. Рис.5) (диаграмма нагружения индентора), являющаяся, в некотором смысле, аналогом классической σ-ε-диаграммы, получаемой при макроскопических испытаниях, например, при одноосном растяжении/сжатии. Анализ P-h-диаграмм позволяет исследовать влияние масштабного фактора на механическое поведение материалов, а также при помощи специальных методик определять количественно ряд величин, характеризующих механические свойства изучаемых материалов. Чаще всего для этого пользуются методикой Оливера-Фарра.

Рис.5. Схема нагружения и разгрузки образца
Методика Оливера-Фарра
Суть этого метода состоит в аппроксимации начального участка разгрузочной кривой степенной функцией
Pmax=B(h–hf)m,
где Рmax — максимальная нагрузка, h — глубина проникновения индентора, hf — глубина проникновения индентора после снятия нагрузки, В и m — эмпирически определяемые параметры.(см. Рис.3)
Наклон начального этапа разгрузочной кривой определяет жесткость материала:

Глубина проникновения индентора hc при которой отпечаток повторяет форму алмазной пирамиды также определяется из графика нагружение - разгрузка по формуле:

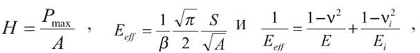
где hmax— максимальная глубина проникновения индентора, ε = 0,75 для пирамиды Берковича. H и E рассчитываются по формулам:

где ν — коэффициент Пуассона покрытия, β =1,034 для пирамиды Берковича, А — площадь проекции отпечатка, определяемая из глубины максимального проникновения индентора hmax. Для алмазного индентора коэффициент Пуассона νi и модуль упругости Ei соответственно составляют 0,07 и 1141GPa.
Особенности индентирования
Методы локального механического тестирования материалов часто формально подразделяют на макро-, микро- и нано- индентирование, ориентируясь на характерные размеры отпечатка, которые попадают в тот или иной диапазон. Также можно обосновать эту классификацию физически. С ростом силы Р меняется как размер локально сдеформированной области, так и соотношение между упругой и пластической деформацией (Рис.6).

Рис. 6. Схематическое изображение изменения относительного вклада пластической деформации в формирование отпечатка по мере роста силы вдавливания Р и смены соответствующих стадий процесса погружения индентора в материал. Сплошная линия отвечает монотонному процессу пластического течения, штриховая – скачкообразному.
На начальных стадиях погружения индентора вся деформация является упругой. Рост Р вызывает значительную пластическую деформацию, поэтому необходим одновременный учет обеих деформаций под контактной площадкой. Наконец, при макроиндентировании еще большее увеличение нагрузки приводит к образованию отпечатка, в котором долей упругой деформации можно пренебречь.
Следует отметить, что уменьшение силы порождает нарастающее влияние искажений и помех со стороны различных источников. Простой и надежный способ контроля правильности учета погрешностей – периодическое проведение тестов на хорошо изученных материалах и сравнение полученных данных с табличными. Эталоном в таких случаях часто служит плавленый кварц, у которого отсутствуют масштабный эффект и упрочнение поверхности при ее механической обработке. Корректно введенные поправки в первичные данные должны обеспечивать постоянство определяемых величин Е=72 ГПа и Н=9,5 ГПа.
Образование навалов (pile in) и провалов (sink in) по контуру отпечатка. Известно что, при НИ некоторых материалов может возникать искажение геометрической формы отпечатков. При внедрении индентора в жесткие материалы стороны отпечатка искажаются выпуклостью внутрь, а у мягких материалов – выпуклостью наружу (Рис.7)

Рис.7. Виды отпечатков при упругом прогибе поверхности (а) и пластическом навале вокруг отпечатка (б): I – сечения вдоль оси индентора; II – реальные отпечатки в пленках; III – схемы отпечатков на видах сверху (штриховые линии – проекции индентора на искаженную поверхность образца).
Т.к. отсчет смещения индентора ведется от уровня поверхности образца, то в случае (а) –образование желобков (провалов), это приводит к завышению, а во втором случае (б) – к занижению регистрируемой глубины отпечатка с реальной. Существует несколько методов учета этой погрешности при обработке результатов. Например, прямой обмер отпечатка с целью определения площади контакта Ас без использования Р-h диаграммы, либо использование корректирующих функций, вносящих поправки в определяемые Е и Н.
Шероховатость поверхности. Известно, что шероховатость изучаемой поверхности существенно влияет на достоверность результатов наноиндентирования. Так в одном из литературных источников было установлено, что чем шероховатость поверхности меньше, тем твердость материала (Ni) выше (см. Рис.8).


Для снижения ее роли в измерениях используется очевидный прием: усреднение результатов по большому количеству отдельных тестов, проведенных в эквивалентных условиях.
Информативные возможности наноиндентирования
Кроме определения твердости и модуля упругости тонких пленок НИ дает возможность определить и другие разнообразные количественные характеристики материала из первичных данных путем смены программы обработки этих данных. К таким характеристикам относятся: вязкость разрушения; контактная жесткость; диаграмма нагружения σ=f(ε), восстанавливаемая по диаграмме P=f(h); доли упругой и пластической деформации под индентором по отношению к полной и т.д. Также можно оценить другую группу свойств материала, у которых нет определенных алгоритмов и методик определения. В этом случае они носят относительный, качественный характер. К ним относятся: зависимость свойств от глубины в градиентных материалах; параметры различных масштабных эффектов, условия их проявления; адгезия, характеристики отслаивания и разрушения пленочных покрытий; характеристика дислокаций в структуре и т.д.
Заключение
Вместе с этой лекцией читают "Основные уровни строения двигательного анализатора".
В последние годы в развитии техники и методики наноиндентирования наблюдается стремление к соединению НИ с атомно-силовой и электронной микроскопией, а также с другими методами исследования с целью получения комплексной и более надежной количественной информации о физической природе процессов, протекающих в нанообъектах. Сегодня существует перспектива нетрадиционного использования НИ, для чего было предпринято уже немало попыток. В качестве примера можно назвать изучение таких физических явлений, как пьезоэлектрический эффект, высокотемпературные сверхпроводники, эффект памяти формы. Методы НИ также применялись в медицине и биологии, например, в исследованиях зубной эмали, волос, костей рыб, а также и мягких субстанций таких, как стенки сосудов, кожа, ткань легких. Предметом анализа были различия в вязкоупругих свойствах здоровых тканей и пораженных раковой опухолью и другими болезнями.
Список использованной литературы
1) С. Н. Дуб, Р. С. Шмегера, И. К. Засимчук// Предел текучести в субмикрообъемах монокристаллов
2) Ю. И. Головин //Наноиндентирование и механические свойства твердых тел в субмикрообъемах, тонких приповерхностных слоях и пленках (обзор)
3) Сравнение расчетного метода оценки поверхностной нано- и микротвердости материалов с методом Оливера и Фарра // В.И. Мощенок, профессор, к.т.н., ХНАДУ, М.М. Ляховицкий, ст. научн. сотр., к.т.н., Институт металлургии и материаловедения РАН им. Байкова (г. Москва), И.В. Дощечкина, доцент, к.т.н., И.Е. Кухарева, аспирант ХНАДУ
4) Ю. И. Головин //Наноиндентирование как средство комплексной оценки физико-механических свойств материалов в субмикрообъемах






















