Входные цепи рпу
Входные цепи рпу
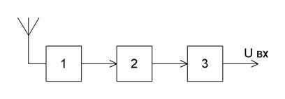
Входная цепь представляет собой колебательную систему, связанную с антенной и первым каскадом приемника элементами связи (рис. 1), где 1 – элемент связи с антенной,2 – колебательный контур, 3 – элемент связи с первым каскадом собственно РПУ.
Рис. 1 Структурная схема входной цепи РПУ
Входная цепь предназначена для предварительного осуществления частотной избирательности и наилучшей передачи энергии принятого радиосгнала из антенны на вход первого каскада радиоприемника. Входное устройство выполняет роль согласующего трансформатора сопротивления антенны и входного сопротивления первого каскада. При согласовании этих сопротивлений на вход первого каскада поступает наибольшая мощность принятого сигнала.
Элементы связи ослабляют влияние антенны и входного сопротивления первого каскада на настройку и добротность колебательного контура, а, следовательно, и на избирательность входной цепи. Используемые виды связи с антенной следующие: непосредственная (рис. 2-а), индуктивная (рис. 2-б), емкостная (рис. 2-в), комбинированная (рис. 2-г).

а) б) в) г)
Рис. 2 Схемы связи входной цепи с антенной
Основные характеристики входной цепи:
Рекомендуемые материалы
- коэффициент передачи по напряжению – 
где,
– входное напряжение
– Э.Д.С. в антенне
- коэффициент передачи по мощности
где,
– входная мощность
– мощность в антенне
- коэффициент избирательности показывает, во сколько раз коэффициент передачи
на резонансной частоте
входной цепи больше его значения при расстройке входной цепи на Δf, где
т.е. 
В приемнике прямого усиления входная цепь осуществляет избирательность по соседнему каналу при частотной расстройке
Δf = 9 кГц, а в супергетеродинном приемнике – по зеркальному каналу при
и на частоте, равной
.
- коэффициент перекрытия диапазона
.
Полосы пропускания входной цепи определяют на уровне 0.707 от максимального значения коэффициента передачи по напряжению
.
Коэффициенты непостоянста параметров входной цепи при перестройке РПУ в пределах рабочего диапазона для коэффициента передачи по напряжению, полосы пропускания и избирательности соответственно равны:

где
;
и
и
;
и
- параметры в начале и в конце рабочего диапазона. Эти коэффициенты по возможности должны быть ближе к 1, чтоб основные параметры РПУ изменялись незначительно. Коэффициент передачи входной цепи по напряжению зависит как от связи с антенной
, так и от связи с первым каскадом
. Коэффициент передачи будет максимальным при согласовании антенны с контуром. Условие согласования выполняется тогда, когда приведенная проводимость антенны равна сумме проводимостей контура и приведенной входной проводимости первого каскада РПУ, т.е. входной проводимости первого каскада с учетом коэффициента включения
.

- проводимость антенны
- проводимость контура
- входная проводимость.
Отсюда находится оптимальный коэффициент включения антенны, обеспечивающий режим согласования.

Следовательно

Из этого выражения видно, что m1и m2 находятся в числителе и в знаменателе и, следовательно, оказывают на коэффициент передачи двоякое влияние. Это значит, что выбор, например коэффициента
оптимальным образом определяет значение коэффициента
и наоборот.
Избирательность входной цепи определяется его резонансной характеристикой, форма которой зависит от эквивалентной добротности входного контура (зависящей в свою очередь от вносимых и из антенны и из входа первого каскада проводимостей).
Для повышения избирательности следует уменьшать вносимые проводимости, ослабляя связь контура с антенной и входом первого каскада, т.е. уменьшать коэффициенты
и
. Но уменьшение
и
ведет к уменьшению коэффициента передачи входной цепи по напряжению (т.е. выбирать их надо оптимальными). При всех видах связи входной цепи с антенной антенна вносит в колебательный контур входной цепи активные и реактивные (емкостное или индуктивное) сопротивления.
Вносимое активное сопротивление ухудшает добротность контура, а вносимое реактивное сопротивление вызывает расстройку контура и при изменении частоты эта расстройка также изменяется.
При этом изменяются избирательность и полоса пропускания входной цепи. Чтобы не допустить ухудшения избирательности уменьшают связь с антенной. Из-за влияния антенны на входную цепь коэффициент передачи входной цепи при ее перестройке будет изменяться по диапазону (см. рис. 3).

Рис. 3 Зависимость коэффициента передачи входной цепи от вида связи с антенной.
При индуктивной связи с антенной коэффициент передачи убывает с ростом частоты настройки (f). Коэффициент передачи по диапазону желательно иметь постоянным.
Для этого применяют индуктивно-емкостную связь с антенной. (Прямую связь не используют практически никогда). Пример использования приведенных проводимостей для расчета коэффициента передачи.

Рис. 4 Эквивалентные схемы с индуктивной связью
Для схемы с индуктивной связью: (выборки из теории цепей)

М – коэффициент взаимоиндукции
Лекция "26 Сварка и наплавка под слоем флюса" также может быть Вам полезна.



Все аналогично, поэтому приведем только конечные выражения.
Рис. 5 Эквивалентная схема с емкостной связью























