Автономные инверторы в системах электропривода переменного тока
Автономные инверторы в системах электропривода переменного тока
Принципы построения и управпения
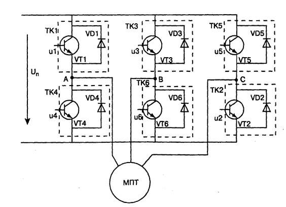
В современных системах электропривода переменного тока практически повсеместно в качестве силовых регуляторов используются транзисторные автономные инверторы. Оконечный каскад трехфазного автономного инвертора содержит шесть транзисторов с обратными диодами.
Для управления трёхфазными машинами переменного тока в электроприводе используется схема автономного инвертора (АИН), содержащая шесть транзисторных ключей ТК1-ТК6 (рис. 1).
Статорные обмотки машины при питании от такого инвертора включаются либо по схеме «звезда», либо по схеме «треугольник». Как в первом, так и во втором случае переключение транзисторных

Рис.1
ключей любой фазы инвертора (например, ТК1, ТК4) вызывает изменение напряжения на всех обмотках двигателя. Это обстоятельство сильно усложняет анализ электромагнитных процессов.
В настоящее время известно большое число различных способов управления силовыми ключами инвертора. Для сравнительной оценки различных схем и способов управления инвертором целесообразно разделить их на ряд групп, положив в основу деления структуру силовой цепи инвертора и регулируемые параметры ре. зультирующего пространственного вектора напряжения и тока на выходе инвертора (табл. 3.2). В зависимости от структуры силовой цепи все инверторы подразделяются на два класса: инверторы с постоянной структурой силовой цепи и с переменной структурой силовой цепи.
Рекомендуемые материалы
Таблица 3.2
Способы управления трёхфазными автономными инверторами напряжения
| Структура гиловой цепи | Регулируемые параметры результирующего вектора | |||
| Модуль | Средний модуль | Модуль и средняя фаза | Средний модуль и средняя фаза | |
| Постоянная | Регулирование напряжения в звене постоянного тока при α = 180° | Широтно-импуль-сное регулирование (ШИР)* | Регулирование напряжения в звене постоянного тока при ШИМ | Широтно-импульсная модуляция (ШИМ) |
| Переменная | То же при α= 180°, 150° | То же** | То же** | То же** |
* — С тремя силовыми ключами, открытыми в течение импульса и паузы.
** — С одним (АОП) или с двумя (АГП) силовыми ключами, закрытыми в течение паузы.
В схемах первого класса управляющие сигналы подаются всегда на три силовых ключа, что обуславливает неизменность структуры силовой цепи. В схемах второго класса число ключей, на которые подаются управляющие сигналы, может быть меньше трёх.
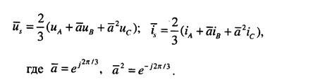
Простейшим способом управления транзисторными ключами ТК1-ТК6 инвертора, обеспечивающим неизменность структуры силовой цепи, является способ с α = 180° (рис. 2).

Рис.2 Алгоритм управления АИН с α = 180°
Здесь в течение 1/6 периода выходного напряжения (в течение периода повторяемости Тпвт) включены три транзисторных ключа. Последовательность управления ключами следующая: 123, 234, 345, 456, 561, 612.
Простейшими способами управления транзисторными ключами, при которых изменяется структура силовой цепи инвертора, являются способы с а = 120° и α = 150°. Последовательность управления транзисторными ключами при а = 120° следующая: 12, 23, 34, 45, 56, 61. При α = 150° транзисторные ключи переключаются в такой последовательности: 12, 123, 23, 234, 34, 345, 45, 456, 56, 561, 61, 612. Электромагнитные и электромеханические характеристики систем при простейших способах управления инвертором достаточно подробно освещены в литературе. Общим недостатком этих способов является необходимость применения управляемого выпрямителя для изменения напряжения на выходе инвертора.
Рассмотрение сложных способов управления удобно ocyществить, пользуясь понятием результирующего, (пространственного
вектора . Пространственные векторы напряжения и, и Т, на выходе инвертора определяются уравнениями:

Например, при управлении с α = 180° и соединении обмоток машины переменного тока (МПТ) звездой вектор напряжения равен

где / — номер интервала (целые числа 1, 2, 3, .....);
Un — напряжение питания инвертора.
Из уравнения (3.9) видно, что пространственный вектор статорного напряжения постоянен на интервале и скачкообразно изменяет фазу при переключении с интервала на интервал. При управлении с α = 180° на периоде выходного напряжения АИН укладывается шесть периодов повторяемости Тпвт каждому из которых соответствует определённое сочетание включённых полупроводниковых приборов инвертора и положение пространственного вектора
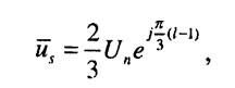
На рис. 3 представлены изображающие векторы иs и is для
общего случая индуктивно-активной нагрузки. Номера в квадратных скобках соответствуют тем транзисторным ключам, на которые поданы отпирающие сигналы. При этом каждому сочетанию соответствуют определённые положения вектора иs, помеченные цифрами 1-6.
Годограф вектора тока i при этом представляет собой кривую а-б-в-г-д-е. В круглых скобках помечены транзисторные ключи инвертора, которые проводят ток. Так, при включении ТК6, ТК2 вектор и, займёт положение 1, а вектор i начнёт перемещаться из положения а в положение б. До пересечения годографа вектора i с прямой, отстающей на от π/6 вектора иs, т.е. до точки а1 ток проводят ключи ТКб, ТК1 и обратный диод D2 (этот 
Рис. 3 Пространственные векторы напряжения и тока на выходе АИН
Лекция "10 Оценка влияния подстилающих пород и почвенного покрова на проявление эрозионных процессов" также может быть Вам полезна.
диод входит в состав транзисторного ключа ТК2; аналогично все остальные диоды являются составной частью соответствующих транзисторных ключей), а в момент, соответствующий точке а1, ток в фазной обмотке двигателя С изменяет направление, диод D2 запирается и проводящими становятся ключи ТК6, ТК1, ТК2. Длительность отмеченных двух состояний силовой цепи инвертора зависит от постоянной времени нагрузки , при увеличении которой увеличивается длительность состояния (6, 1, D2); при определённом значении постоянной времени нагрузки на этом интервале ТК2 не включается.
В целях более подробной классификации схем используем следующие величины:
1 — модуль результирующего вектора us =mod(us)
2 — средний модуль результирующего вектора иsср = γ mod(us);
где γ =t1/Tо — относительная длительность состояния, при котором обмотки машины переменного тока присоединены к источнику;
1-γ =t2/То — относительная длительность состояния, при которой обмотки закорочены через анодные или катодные транзисторные ключи;





















