Принципы амплитудной и частотной манипуляции
Принципы амплитудной и частотной манипуляции
| Амплитудная манипуляция | |
| Частотная манипуляция |
Манипуляция относятся к дискретным методам модуляции, в которых информационный параметр принимает счётное число значений.
Амплитудная манипуляция
При амплитудной манипуляции (АМн) информационным параметром является амплитуда сигнала-переносчика, которая изменяется скачкообразно под действием модулирующего сигнала.
Рассмотрим особенности анализа АМн сигнала для случая, когда в роли переносчика выступает гармоническое колебание
, а модулирующим сигналом является периодическая последовательность модулирующих импульсов

где
- длительность импульсов,
- период следования импульсов. Аналитически АМн сигнал определяется выражением
Рекомендуемые материалы
(12)
В рассматриваемом примере амплитуда манипулированного сигнала принимает два значения:

Обычно коэффициент модуляции m при АМн выбирается равным единице, поэтому амплитуда модулированного сигнала изменяется скачком в точках
и принимает два значения
и 0.
На рис. 2.9 показаны временные диаграммы модулирующего
и манипулированного
сигналов.
Определим спектр амплитудно манипулированного сигнала (12). Представим модулирующий сигнал q(x) в виде ряда Фурье
, (13)
где
. Подставив (13) в (12), получим
(14)

Рис. 2.9. Модулирующий и манипулированный сигналы.
На рис. 2.10 показан построенный в соответствии с выражением (14) спектр АМн сигнала. Огибающая спектра (штрихованная линия) представляет смещенный на частоту
спектр одиночного видеоимпульса
.

Рис. 2.10. Формирование спектра сигнала при амплитудной модуляции
Интервалы между спектральными линиями равны
(чётные гармоники равны нулю).
Отношение периода следования импульсов к их продолжительности называется скважностью импульсов
. Рассмотренный пример соответствует случаю h = 2. При других значениях скважности спектр сигнала может содержать также четные гармонические составляющие частоты
.
Частотная манипуляция
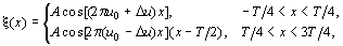
Сигнал с частотной манипуляцией (ЧМн) формируется в результате скачкообразного изменения частоты сигнала-переносчика, а именно, при манипуляции со скважностью h = 2 ЧМн сигнал внутри периода манипуляции определяется как

где
- изменение частоты, T – период изменения частоты (рис 2.11).

Рис. 2.11. Модулирующие функции частотно манипулированного сигнала
Частота сигнала мгновенно изменяется между двумя значениями на оси частот. Результирующий сигнал
можно рассматривать как суперпозицию двух модулированных прямоугольной последовательностью импульсов синусоидальных сигналов различной частоты, как показано на рис. 2.12. Спектр каждой из составляющих представляет собой спектр прямоугольного видеоимпульса с соответственно сдвинутой несущей частотой, как показано на рис. 2.13.
Согласно рис. 2.11, периодическая частотная манипуляция соответствует фазовой модуляции сигналом треугольной формы.
В лекции "Статистика себестоимости туристских услуг, цен и тарифов" также много полезной информации.

Рис. 2.12. Две составляющие частотно манипулированного сигнала

Рис. 2.13. Спектры частотно манипулированного сигнала
Во многих случаях при манипуляции модулирующие сигналы не являются периодическими и представляют собой случайные последовательности (соответствующие, например, последовательностям нулей и единиц при передаче информации). При этом характеристики сигналов определяются их корреляционными функциями и спектральными плотностями (см. разд. 1.6).























