Основные понятия o влиянии между симметричными цепями
[gl] Тема 4. Основные понятия o влиянии между симметричными цепями. Основные уравнения влияния.[:]
Рассмотрим природу влияний между симметричными целями кабеля на примере двух цепей, поперечный разрез которых показан на рис. 5.1. Допустим, что по цепи, образованной жилами 1 и 2, протекает переменный ток. Под действием этого тока вокруг цепи 1-2 создается переменное электромагнитное поле, которое может быть представлено в виде суммарного действия электрического и магнитного полей. Под действием электрического поля цепи l-2 на жилах 3 и 4 возникают электрические заряды, которые вследствие различия расстояния между жилами 1, 2 и 3, 4 будут разной величины. Индуцированные заряды создают между жилами 3, 4 разность потенциалов, под действием которой в цепи 3-1 протекает ток. Наведенный ток достигает приемника, включенного на конце цепи, и создает мешающее влияние. Влияние, обусловленное действием электрического поля, называют электрические влияние.
Одновременно c электрическим влиянием между цепями действует и магнитное влияние. При прохождении переменного тока по кепи 1-2 вокруг нее создается переменное магнитное поле, в котором расположены жилы цепи 3-4. В результате магнитной индукции в жилах 3 и 9 наводится ЭДС, которая и создает ток в кепи 3-4. Этот ток достигает приемника, включенного на конце цепи, и оказывает мешающее действие. Влияние, обусловленное действием магнитного поля, называют магнитным влиянием.
Чем выше частота передаваемого тока по цепи, тем быстрее протекает процесс изменения электрического и магнитного полей и тем больше величины наведенных ЭДС и токов в соседних цепях.

Цепь, являющаяся источником электромагнитного поля, называется влияющей, а цепь, в которой возникают токи и напряжения помех, - подверженной влиянию.
Количественной характеристикой электрического и магнитного влияний являются электрические и магнитные связи.
Электрическая связь на участке dх, отстоящем на расстоянии от начала цепи, определяется отношением приращения наведенного тока в цепи, подверженной влиянию, к напряжению во влияющей цепи;

Рекомендуемые материалы
Магнитная связь на участке dx, отстоящем на расстоянии от начала цепи, определяется отношением приращения ЭДС в цепи, подверженной влиянию, к току во влияющей цепи c обратным знаком:
Из выражений (5.1) и (5.2) следует, что электрическая связь имеет размерность проводимости См/км, а магнитная - размерность сопротивления Ом/км.
Величины g, С, r, m называют первичными параметрами влияния.
На рис. 5.2 показана эквивалентная схема электрической и магнитной связей между двумя цепями на участке dх, отстоящем на расстоянии от начaла линии. 
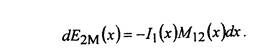
На каждом таком элементарном участке линии в цепи, подверженной влиянию, создаются токи, обусловленные электрической связью К12(х) и магнитной связью М12(х). При этом ток dI20(х), направляющийся к началу линии с участка dх, равен сумме токов от электрического dI2k0(х) и магнитного dI2м(х) влияний:
a ток, направляющийся к концу линии dI21 (х+dх), равен разности этик токов:
Общая величина тока помех в начале и конце цепи, подверженной влиянию, определяется суммой токов, пришедших со всех элементарных участков соответственно к началу и концу этой цепи.
Рассмотрим электромагнитное влияние между двумя уединенными цепями, нагруженными по концам на согласованные нагрузки. Допустим, что цепь 1 является влияющей, a цепь 2 - подверженной влиянию (см. рис. 5.2). Предположим, что отсутствует обратное влияние со стороны цепи, подверженной влиянию. При согласованных нагрузках изменение напряжения и тока в цепи 1 описывается следующими уравнениями однородной линии:
Ток в цели 2, наводимый на элементарном участке dх за счет электрической связи, согласно (5.1) равен
Этот ток при согласованно нагруженных цепях рaзветвляется на две равные части:

Согласно (5.2) в цепи 2 за счет магнитной связи индуцируется электродвижущая сила

Под действием этой электродвижущей силы возникает ток
.
Суммарный тoк за счет электрической и магнитной связей c элементарного участка dх, направляющийся к ближнему концу участка, равен сумме токов:
последнее уравнeние можно представить в виде 
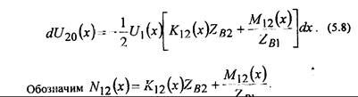
Параметр N12(х) называется коэффициентом электромагнитной связи на ближнем конце.
Суммарный ток c элементарного участка dx, направляющийся к дaльнему концу участка, равен разности токoв от электрического dI2k1(х) и магнитного dI2м(х) влияний:
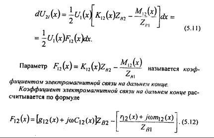
Или, переходя от токов к напряжениям, получаем 
Коэффициенты электромагнитных связей N12(х) и F12(х) характеризуют величину наводимых напряжений за счет магнитной и электрической связей на дaльнем и ближнем концах участкa dх.
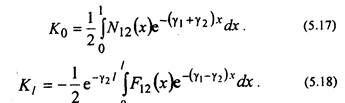
Общая величина напряжения помех на ближнем и дальнем концах цепи, подверженной влиянию, определяется суммой токов, пришедших со всех элементарных участков соответственно к началу и концу этой цепи:
Рекомендуем посмотреть лекцию "Принятие решений".
Для удобства дальнейшего анализа электромагнитных влияний между цепями введем понятие передаточных функций влияния. Назовем отношение напряжения на ближнем конце цепи, подверженной влиянию, U20 к напряжению в начале влияющей цепи U10 передаточной функцией влияния на ближний конец: 
Отношение напряжения на дальнем конце цепи, подверженной влиянию, U21 к напряжению в начале влияющей цепи U10 назовем передаточной функцией влияния на дальний конец:

C учетом введенных понятый уравнения (5.13) и (5.14) примут вид: 
Эти уравнения описывают непосредственное влияние между цепями. [kgl]























