Расчеты на прочность конструктивных элементов
Лекция №13. Защита конструкции от механических воздействий Часть 2.
Расчеты на прочность конструктивных элементов
Механическую прочность элементов конструкции проверяют методами сопротивления материалов и теории упругости для простейших балочных конструкций (стержней), пластин, рам с сосредоточенной, распределенной и смешанной нагрузкой. В большинстве практических случаев конструкции деталей ЭА имеют более сложную конфигурацию, затрудняющую определение в них напряжений. При расчетах сложную деталь заменяют ее упрощенной моделью: балкой, пластиной, рамой.
К балкам относят тела призматической формы, длины которых значительно превышают все прочие геометрические размеры конструкции. Концы балок защемляются (сваркой, пайкой, винтовым соединением – при большом количестве винтов), опираются шарнирно-подвижно (установкой в направляющие) или шарнирно-неподвижно (одиночное винтовое соединение). Пластинами считают тела прямоугольной формы, толщина которых мала по сравнению с размерами основания. К подобным конструкциям относят печатные платы, стенки кожухов приборов, стоек, панелей и прочих подобных конструкций. Жесткое закрепление края пластин осуществляется пайкой, сваркой, зажимом, винтовым соединением; шарнирное закрепление — установкой пластин в направляющие, гнездовой соединитель, винтовым соединением. Рамными конструкциями моделируются многовыводные компоненты: МС, реле и пр.
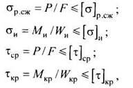
Выражения для расчетов на прочность следующие:
• при растяжении (сжатии)

• при изгибе
Рекомендуемые материалы
• при срезе
• при кручении
где Р – усилие, действующее на деталь, Н; F – площадь сечения детали, мм2; [σ]р.сж, [σ] – допускаемые напряжения на растяжение, сжатие и изгиб, Н/мм2; [τ]ср, [τ]кр – допускаемые напряжения на срез и кручение, Н/мм2; Ми, Мкр – изгибающий и крутящий моменты, Н · мм; WH, WKp – моменты сопротивления при изгибе и кручении, мм3.
При проектировании конструкции выполняют:
• проверочные расчеты, когда форма и размеры детали известны (выявлены при конструировании) и определяются по вышеприведенным формулам напряжения в опасных сечениях;
• проектные расчеты, когда размеры опасных сечений неизвестны и их определяют на основе выбранных допустимых напряжений;
• расчеты допускаемых нагрузок по известным опасным сечениям и допустимым напряжениям.
При проведении проверочных расчетов на упругие колебания с учетом направления воздействия вибраций выделяют детали и узлы, имеющие наибольшие деформации, выбирают расчетные модели, рассчитывают собственные частоты, определяют нагрузки и сравнивают полученные значения с пределами прочности выбранных материалов, при необходимости принимают решение о повышении прочности конструкции.
Для увеличения вибропрочности в конструкции отдельных элементов вводятся дополнительные крепления, ребра и рельефы жесткости, отбортовки, выдавки, используются материалы с высокими демпфирующими свойствами, демпфирующие покрытия.
Внешние вибрационные воздействия часто задаются довольно узким диапазоном частот. В правильно сконструированной аппаратуре собственная частота f0 конструкции не должна находиться в спектре частот внешних воздействий. Хотя любая конструкция обладает несколькими значениями собственных частот, однако расчет выполняется только для низших значений f0, поскольку деформации конструкций в этом случае будут максимальными. Если низшее значение собственной частоты входит в диапазон внешних воздействий, то конструкцию дорабатывают с целью увеличения f0 и выхода из спектра частот внешних воздействий.
Под жесткостью конструкции понимается способность системы (элемента, детали) противостоять действию внешних нагрузок с деформациями, не допускающими нарушение ее работоспособности. Количественно жесткость оценивается коэффициентом жесткости λ = P/δ, где Р – действующая сила; δ – максимальная деформация. Конструкцию, какой бы сложной она ни была, можно представить в виде совокупности элементов (деталей), каждый из которых работает как балка определенной длины и сечения, закрепленная на одном или обоих концах. Известно, что жесткость защемленной на одном конце балки, находящейся под воздействием сосредоточенной нагрузки, вычисляется по выражению EF/l при работе балки на растяжение или сжатие и по выражению 3EJ/l3 при работе балки на изгиб (Е – модуль упругости материала балки; F – площадь сечения; J – осевой момент инерции; l – длина балки). Можно говорить о жесткости материала, так как чем больше модуль упругости материала, тем выше жесткость балки, и о жесткости конструкции, зависящей от длины, формы и размеров поперечного сечения балки. Так же можно сказать, что жесткость балки на изгиб значительно ниже жесткости ее на растяжение или сжатие.

Рис. 4.6. Увеличение жесткости рамы введением косынок
и диагональных элементов
На рис. 4.6 прямоугольная рама закреплена своей левой стороной. Под воздействием силы Р элементы а и б рамы работают на изгиб. Повышение жесткости конструкции возможно введением косынок и диагональных элементов, работающих на растяжение и сжатие.
Таблица 4.1. Параметры конструкционных материалов.
| Материал | Марка | σр, МПа | Е, ГПа | ρ г/см2 | Удельная прочность и жесткость | ||
|
|
| Еуд | |||||
| Сталь углеродистая | Ст10 | 334 | 203 | 7,85 | 42,5 | 12 | 26 |
| Ст45 | 600 | 200 | 7,85 | 76,5 | 18 | 25,5 | |
| Сталь легированная | ЗОХГСА | 490 | 198 | 7,85 | 62 | 15,7 | 25,3 |
| Алюминиевые сплавы | АД-1 | 58 | 69 | 2,7 | 21 | 7,7 | 26 |
| В-95 | 275 | 69 | 2,8 | 96 | 21 | 24 | |
| Магниевые сплавы | МА2-1 | 255 | 40 | 1,8 | 142 | 27 | 23 |
| МА2-8 | 275 | 40 | 1,8 | 154 | 29 | 22 | |
| Медные сплавы | Л-63 | 294 | 103 | 8 | 35 | 11 | 12 |
| Бр-Б2 | 392 | 115 | 8 | 48 | 13 | 14 | |
| Титановые сплавы | ВТ1-0 | 687 | 113 | 4,5 | 152 | 28 | 25 |
| ВТЗ-1 | 1176 | 113 | 4,5 | 218 | 41 | 25 | |
| Фенопласт | К-21-22 | 64 | 8,6 | 1,4 | 38 | 46 | 6,2 |
| Пресс-материал | АГ-4С | 245 | 34 | 1,8 | 273 | 136 | 19 |
| Гетинакс | II | 98 | 21 | 1,4 | 49 | 70 | 15 |
| Текстолит | ПТК | 157 | 10 | 1,4 | 70 | 112 | 7 |
| Стеклотекстолит | ВФТ-С | 245 | — | 1,85 | 180 | 132 | |
| Фторпласт | 4А | 14 | 0,44 | 2,2 | 10 | 6,2 | 0,2 |
| Стеклопластик | СВАМ-ЭР | 687 | 21 | 2 | 221 | 343 | 10,3 |
| Пенопласт | ПС-1 | — | 0,15 | 0,35 | 14 | — | 0,45 |
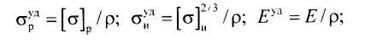
В табл. 4.1 приведены параметры материалов, применяющихся для конструкций ЭА. Удельная прочность и жесткость материалов рассчитывается по следующим выражениям:
• для металлов
• для неметаллов
где ρ — плотность вещества.
Пластмассы являются заменителями металлов в несущих конструкциях и играют значительную роль в обеспечении экономии черных и особенно цветных металлов. Характеристики некоторых конструкционных пластмасс и их применение в ЭА приведены в табл. 4.2.
Таблица 4.2. Характеристики конструкционных пластмасс
| Материал | Характеристика | Применение |
| Стеклопластик | Высокие прочностные свойства и износостойкость | Корпуса, воздуховоды, электроизоляционные детали |
| Фенопласты | Высокие диэлектрические свойства и механическая прочность | Кожухи, корпуса, крышки, электроизоляционные детали |
| Полиамиды | Высокие антифрикционные и электроизоляционные свойства, коррозионная и химическая стойкость | Подшипники, шестерни, вкладыши, втулки |
| Полистирол | Водостойкость | Емкости, крупногабаритные элементы конструкции |
| Фторпласты | Хим-, водо-, теплостойкость | Электроизоляционные детали, панели, щитки, корпуса приборов |
| Полиформальдегиды | Механическая прочность, тепло- и коррозионная стойкость | Подшипники, детали приборов точной механики |
| Обратите внимание на лекцию "Промежуточное пользование лесом". Пентопласты | Механическая прочность и теплостойкость | Подшипники, детали приборов, болты, гайки, шайбы |
Вибрации, направленные ортогонально к плоскости печатной платы, попеременно изгибают ее и влияют на механическую прочность установленных на ней микросхем и ЭРЭ (компонентов). Если компоненты считать жесткими, то изгибаться будут их выводы (рис. 4.7). Большинство отказов компонентов происходит из-за поломки паяных соединений выводов с платой, потери герметизации. Наиболее жесткие воздействия имеют место в центре платы, а для прямоугольных плат еще и при ориентации тела элемента вдоль короткой стороны платы.
























