Усилители мощности
I. Лекция № 10. Усилители мощности.
В линейном режиме работы усилителей коэффициент усиления, например Kр = Рвых / Рвх , может быть большим, но КПД η = Рвых / Ро мал, так как переменные токи и напряжения много меньше их средних постоянных значений и мощность выходного сигнала много меньше мощности, отбираемой от источника питания, Рвых<<Ро. Чтобы получить большой КПД, надо иметь переменные токи и напряжения сравнимыми с постоянными, при этом характеристики усилителя становятся нелинейными. На рисунке приведена типичная зависимость Рвых от Рвх для усилителя мощности.

Можно выделить три области:
I – линейная область максимального усиления,
II – квазилинейная область, где начинают проявляться нелинейные эффекты,
III – область насыщения, соответствующая максимальным КПД и выходной мощности.
При расчёте усилителя мощности надо учитывать нелинейность характеристик транзистора. Рассмотрим классификацию режимов работы усилителя мощности и расчёт характеристик усилителя для простейшего усилительного каскада.

Рекомендуемые материалы
Классы работы усилителя мощности.
Возможна работа усилителя в одном из четырёх классов: А, В, С, АВ, определяемых соотношением напряжения рабочей точки Uo, амплитудой входного сигнала U1 и пороговым напряжением транзистора Uпор, при котором он запирается. Для биполярного транзистора Uпор ≈ U* = 0,6÷0,7 В.
Класс А.
Класс А соответствует работе транзистора без запирания, т.е. без отсечки тока, который протекает через транзистор в течение всего периода колебаний. Этому соответствует

т.е.

Переменный коллекторный ток меняется в фазе, а переменное коллекторное напряжение – в противофазе с переменным напряжением базы:

При этом

Эти зависимости показаны на рисунке. Режим почти линейный, искажения гармонической зависимости переменного тока и переменного напряжения возможны вблизи отсечки тока и насыщения тока.
Оценим КПД усилителя в классе А.
Имеем:

где Po - мощность, отбираемая от источника питания,
- выходная мощность на частоте ω, выделенная в рассматриваемой упрощённой схеме на сопротивлении Rk. Из условия

имеем

а из условия
имеем

Получаем

Таким образом, предельный КПД усилителя в классе А составляет 25%.
Проходная характеристика:


Класс В, С, АВ.
Класс В, С , АВ соответствует работе транзистора с отсечкой тока.
В режиме класса В

так что ток протекает в течение половины периода, угол отсечки θ = π/2.


В режиме класса С

ток протекает через транзистор в течение времени, меньшего половины периода, угол отсечки θ < π/2.

Режим класса АВ.

Этот режим промежуточный между А и В,

угол отсечки

Для расчёта характеристик усилителя с отсечкой тока используем метод аппроксимации ВАХ ломаной линией.
Амплитуда гармоник тока на выходе усилителя определяется соответственно
где αn(θ) - коэффициенты Берга.
Мощность, поступающая из источника питания

Важно подчеркнуть, что эта мощность и постоянная составляющая тока Io зависят от угла отсечки θ и следовательно от амплитуды входного напряжения.
Выходная мощность на частоте сигнала ω

КПД усилителя

где величина

характеризует отношение первой гармоники к постоянной составляющей тока и изменяется от 1 до 2 при уменьшении угла отсечки от π до 0.
Классу В соответствует угол отсечки θ = π/2, при этом

В этом классе

и рабочая точка на выходе ВАХ соответствует Uko = Ek , Iko = 0. При этом возможно получить максимальную первую гармонику напряжения на коллекторе U1=Ek и КПД получаем

т.е. существенно больше, чем в классе А. В тоже время, в классе В обращается в ноль третья гармоника тока, α3(π/2)=0, что приводит к снижению нелинейных искажений. Кроме того, использование класса В допускает построение усилителя на двух транзисторах по двухтактной схеме, когда усиление противофазных полупериодов сигнала происходит в разных транзисторах, а на общей для них нагрузке восстанавливается гармонический сигнал.
В классе С :

и по-прежнему возможно U1 ≤ E. Поэтому КПД → 1 (100%) при θ→0. Это однако происходит за счёт уменьшения постоянного тока, т.к. αo→0, уменьшается мощность Po, отбираемая от батарей, и следовательно выходная мощность Pвых хотя их отношение, т.е.

увеличивается с уменьшением угла отсечки θ.
Усиление по напряжению в режимах с отсечкой тока также можно найти с помощью коэффициентов Берга.
Имеем:

где максимальный коллекторный ток Im можно найти при аппроксимации ВАХ ломаной:

получим

На границе отсечки тока

усиление максимально – соответствует классу А:

С уменьшением θ, т.е. последовательном переходе в режимы классов АВ, В, С усиление уменьшается.
В классе В имеем

а при переходе в класс С

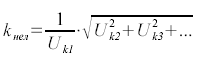
В усилителях мощности используется чаще всего режим класса В, сочетающий высокий КПД и высокую выходную мощность при достаточно большом усилении и малых нелинейных искажениях сигнала, которые можно рассчитать по формуле

"Ориентация на трудовые ресурсы." - тут тоже много полезного для Вас.
где

В усилительных каскадах с резонансной нагрузкой надо вместо Rk подставлять сопротивление нагрузке на соответствующей гармонике сигнала, т.е.

























