Ременные передачи
3.8. Ременные передачи
3.8.1 Общие сведения. Классификация передач
Ременная передача — это передача гибкой связью (рис. 9.1), состоящая из ведущего 1 и ведомого 2 шкивов и надетого на них ремня 3. В состав передачи могут также входить натяжные устройства и ограждения. Возможно применение нескольких ремней и нескольких ведомых шкивов. Основное назначение — передача механической энергии от двигателя передаточным и исполнительным механизмам, как правило, с понижением частоты вращения.
По принципу работы различаются:
- передачи трением (большинство передач);
- передачи зацеплением зацеплением (зубчато-ременные).
Передачи зубчатыми ремнями по своим свойствам существенно отличаются от ременных передач трением и рассматриваются в.
Условием работы ременных передач трением является наличие натяжения ремня. Ремни передач трением по форме поперечного сечения разделяются на:
- плоские;
Рекомендуемые материалы
- клиновые;
- поликлиновые;
- круглые;
- квадратные.
Клиновые, поликлиновые, зубчатые и быстроходные плоские изготовляют бесконечными замкнутыми. Плоские ремни преимущественно выпускают конечными в виде длинных лент. Концы таких ремней склеивают, сшивают или соединяют металлическими скобами. Места соединения ремней вызывают динамические нагрузки, что ограничивает скорость ремня. Разрушение этих ремней происходит, как правило, по месту соединения.

Рис. 3.43
Достоинства ременных передач трением:
- возможность передачи движения на значительные расстояния;
- возможность работы с высокими скоростями; плавность и малошумность работы;
- предохранение механизмов от резких колебаний нагрузки и ударов;
- защита от перегрузки за счет проскальзывания ремня по шкиву;
- простота конструкции; отсутствие смазочной системы;
- малая стоимость.
Недостатки:
- значительные габариты;
- значительные силы, действующие на валы и опоры;
- непостоянство передаточного отношения; малая долговечность ремней в быстроходных передачах; необходимость защиты ремня от попадания масла.
3.8.2 Материалы и конструкция ремней
Ремни должны обладать высокой прочностью при переменных напряжениях, износостойкостью, максимальным коэффициентом трения на рабочих поверхностях, минимальной изгибной жесткостью. Конструкцию ремней отличает наличие высокопрочного несущего слоя, расположенного вблизи нейтральной линии сечения. Повышенный коэффициент трения обеспечивается пропиткой ремня или применением обкладок. Плоские ремни (рис. 3.42, а) отличаются большой гибкостью из-за малого отношения толщины ремня к его ширине. Наиболее перспективны синтетические ремни, поскольку они обладают высокой прочностью и долговечностью. Несущий слой этих ремней выполняется из капроновых тканей, полиэфирных нитей. Материал фрикционного слоя — полиамид или каучук. Синтетические ремни изготовляют бесконечными и используют, как правило, при скорости более 30 м/с. При меньших скоростях могут использоваться конечные прорезиненные или бесконечные кордшнуровые и корд-тканевые ремни.

Рис. 3.44

Рис. 3.43
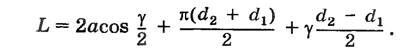
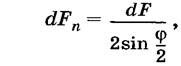
Клиновые ремни (рис. 3.42, б) имеют трапециевидное сечение с боковыми рабочими сторонами, соприкасающимися с канавками на шкивах. Благодаря клиновому действию ремни этого типа обладают повышенным сцеплением со шкивами. Рассмотрим малый участок ремня длиной dl, для этого участка силу натяжения можно приближенно принять постоянной. Из рис. 3.43 следует, что сила dFn, нормальная к поверхности канавки шкива, значительно больше силы натяжения dF:

тогда сила трения

Таким образом, клиновые ремни при том же натяжении обеспечивают примерно втрое большую силу трения по сравнению с плоскими ремнями. Однако из-за большой высоты сечения в клиновых ремнях возникают значительные напряжения при изгибе ремня на шкивах. Эти напряжения являются переменными и вызывают усталостное разрушение ремня.
Клиновые ремни выпускаются трех типов: нормального сечения, узкие и широкие (для вариаторов). Узкие ремни допускают большее натяжение и более высокие скорости (до 40 м/с), передают в 1,5—2 раза большую мощность по сравнению с ремнями нормального сечения. В настоящее время узкие ремни становятся преобладающими. Ремни выпускают различными по площади поперечного сечения и по несколько штук в одном комплекте. Это позволяет уменьшить диаметральные размеры передачи. Число ремней в комплекте обычно от 2 до 8 и ограничивается неравномерностью распределения передаваемой нагрузки между ремнями.
Поликлиновые ремни (см. рис. 3.42, в) — бесконечные плоские ремни с продольными клиновыми ребрами на внутренней поверхности- Эти ремни сочетают гибкость плоских ремней и повышенное сцепление со шкивами, характерное для клиновых ремней.
Многопрофильные ремни состоят из 2—4 клиновых, соединенных тканевым слоем, и применяются вместо комплектов клиновых ремней. Круглые ремни (обычно резиновые диаметром от 3 до 12 мм) используются для передачи небольших мощностей в приборах и бытовой технике. Ремни квадратного сечения используют для передачи небольших мощностей в приборах.
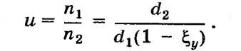
3.8.3 Основные геометрические соотношения
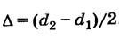
При проектировании ременных передач определяют (рис. 9.4): угол γ между ветвями ремня, угол α1 охвата ремнем малого шкива, длину ремня L и при использовании бесконечных ремней — межосевое расстояние а. Расчетные диаметры шкивов и длины ремней определяют по нейтральному слою поперечного сечения ремня.

Рис. 3.44
Угол между ветвями ремня находят из треугольника
, где
,
тогда угол между ветвями ремня в радианах

Угол охвата ремнем малого шкива в градусах

Минимальный угол охвата αlmin должен быть для плоскоременной передачи — 150°, для клиноременной — 120°. Длина ремня (без учета его деформации на шкивах) определяется как сумма длин прямолинейных участков и длин дуг охвата ремнем малого и большого шкивов

Используя приближенное соотношение:
и принимая
, получаем зависимость для определения длины ремня

Для бесконечных ремней следует уточнить предварительно заданное межосевое расстояние, определяя его как

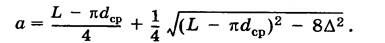
9.4. Взаимодействие ремня со шкивами, критерии расчета ременных передач
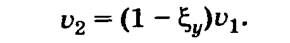
Передача работает с неизбежным упругим скольжением ремня по шкивам, так как силы натяжения ведущей F1 и ведомой F2 ветвей ремня при передаче полезной нагрузки различны (рис. 9.5). Тогда по закону Гука различно и относительное уд-линение ветвей ε1 и ε2. Натяжение ремня по ведущему шкиву падает, ремень укорачивается и проскальзывает по шкиву.

Рис. 3.45
На ведомом шкиве ремень удлиняется и вновь проскальзывает. Скольжение происходит не по всей дуге охвата а, а на ее части β, называемой дугой скольжения. Сила трения между ремнем и шкивами передается в основном на дугах скольжения.
Со стороны набегания ремня находится дуга сцепления, на которой ремень движется совместно со шкивом, без проскальзывания. Окружная скорость каждого шкива равна скорости набегающей ветви ремня. По мере роста нагрузки на передачу дуга скольжения растет, когда она достигает всей дуги охвата, начинается буксование передачи. Упругое скольжение ремня равно разности относительных удлинений ведущей и ведомой ветвей ремня:

Выразив ε1 и ε2 по закону Гука для участка ремня единичной длины через силы Ft и F2, площадь сечения А и модуль упругости ремня Е, получаем значение упругого скольжения ремня, используемого при определении передаточного отношения:

Основными критериями расчета ременной передачи являются тяговая способность или сцепление ремня со шкивом и его долговечность. Если сцепление недостаточно, возникает буксование передачи, если долговечность ремня мала, требуется частая его замена. Для проведения расчета передачи необходимо определить скорость ремня, силы и напряжения в нем.
3.8.4 Кинематика ременных передач
Окружные скорости на шкивах (см. рис. 9.1), м/с:

где d1 и d2 — диаметры ведущего и ведомого шкивов, мм; n1 и n2 — частоты вращения шкивов, мин-1. Окружная скорость на ведомом шкиве v2 меньше скорости на ведущем v1 вследствие скольжения:

Передаточное отношение:

Обычно упругое скольжение находится в пределах 0,01...0,02 и растет с увеличением нагрузки, что обусловливает непостоянство передаточного отношения ременной передачи.
3.8.5 Критерии работоспособности и расчет ременных передач
Работоспособность ременной передачи может ограничиваться сцеплением ремня со шкивами — тяговой способностью и долговечностью ремня. Помимо этого при проектировании передачи следует учитывать и возможные потери, так как при неблагоприятном выборе параметров передачи они значительно возрастают.
Показателем тяговой способности являются величины окружной силы Ft или полезного напряжения K, которые имеют место при данном натяжении и скольжении ремня. Наилучшей характеристикой тяговой способности являются кривые скольжения, получаемые при соответствующих испытаниях.
Тяговая способность ремен-вой передачи зависит от коэффициента трения f, т. е. фрикционных свойств поверхности ремня, угла обхвата α, силы предварительного натяжения F0 ремня или напряжения σ0 и центробежных сил, а также диаметра шкива. Чем больше σ0, f, α и d, тем выше тяговая способность. С увеличением скорости центробежные силы растут, при жатие ремня к шкивам при натяжении его за счет упругости уменьшается, и тяговая способность падает.
Ремень за один пробег испытывает переменные напряжения. При многократном действии переменных напряжений возникают усталостные повреждения ремня — порыв элементов несущего слоя, трещины резиновых подушек и обертки, расслоения. Поэтому долговечность ремня определяется его сопротивлением усталости. Из опытов получены кривые усталости ремньй, описываемые выражением.

где σmах — наибольшее напряжение в опасных волокнах ремня; р и С1 — опытные постоянные; для плоских ремней р=6, для клиновых и поликлииовых р=11; величина С1 заиисит от конструкции ремня и материала его элементов; NЕ — эффективное число циклов за весь период службы,
Из зависимости видно, что при указанных значениях показателя р даже небольшое увеличение натяжения значительно снижает срок службы.
Введя в зависимость выражение для σmах с учетом выражений для напряжений σи и σц, получаем выражение кривой усталости для ремней

Расчет ременной передачи сводится к расчету ремня по наиболее опасным в отношении усталостного разрушения элементам ремня. Метод расчета базируется одновременно на показателях как тяговой способности, так и долговечности.
За исходное уравнение в расчете принимают уравнение кривой усталости. В нем тяговая способность определяется величиной m = eαf', долговечность — эффективным числом циклов NЕ за срок службы ремня и показателем С1, используя уравнение кривой усталости, получают исходное полезное напряжение K0.
Расчет клиноременных нормальных и поликлиновых ремней проводят для определенных стандартных условий: для двухшкивной передачи при условной долговечности Lh = 24 000 ч, коэффициент тяги принят ψ = 0,67, что соответствует m = 5. Для нормальных клиновых и поликлиновых ремней

Для узких клиновых ремней при условной долговечности Lh = 25 000 ч исходное полезное напряженке определяется по зависимости

Допустимое полезное напряжение
[К] = К0СаСр, (8.14)
где Са — коэффициент, учитывающий влияние угла обхвата на тяговую способность; Ср — коэффициент режима работы, учитывающий вид привода, рабочей машины и время работы передачи на протяжении суток.
Целью расчета передани клиновыми ремнями является определение необходимого числа ремней

а для поликлиновой передачи — числа ребер ремня

В ГОСТ 1284.3—80 и РТМ 38.40545—79 принято во внимание, что в многоручьевых передачах нагрузка распределяется по ремням неравномерно. Это учитывается введением коэффициента числа ремней Сz . Тогда окончательно число ремней z = z' /Cz.
Расчет можно проводить по мощности, передаваемой эдним клиновым ремнем или поликлиновым с десятью ребрами. Мощность, допускаемая на один ремень при данных условиях работы, [Р] = P0CαCiCp.
Коэффициент Ci учитывает влияние длины ремня. Здесь табличные значения мощности Р0 для клиновых ремней обоих типов даны в ГОСТах в зависимости от переда-гочного числа.
Определение исходного полезного напряжения для пло-:коременной передачи при спокойной работе, при угле обхвата α = 180' и скорости ремня v = 10 м/с производится по формуле

где δ — толщина ремня; s и ω — опытные постоянные, зависящие от материала ремня и напряжения σ0, МПа.
Для заданных условий работы допускаемое полезное напряжение

Здесь коэффициенты, учитывающие влияние на тяговую способность ремня: С0 — положения ремня в пространстве; Сα — угла обхвата на меньшем шкиве; Cv — влияние скорости; Ср — режима работы.
Расчет плоскоременной передачи ведется по формуле
ω
из которой находится необходимая ширина ремня b при предварительно выбранной его толщине б. Опытные данные s и ω выбирают по табличным значиям при рекомендуемом напряжении от предварительного натяжения: σ0=1,6..в 1,8 МПа — при натяжении за счет упругости и σ0 = 2,0... 2,4 МПа — при автоматическом натяжении.
3.8.6 Последовательность расчета ременных передач
Порядок проектировочного расчета ременных передач определяется типом ремня.
Клиноременная передача.
1. При заданных передаваемой мощности Р, угловых скоростях ведущего (быстроходного) ω1 и ведомого (тихоходного) ω2 валов и режиме работы Ср определить момент на быстроходном валу Ср. В зависимости от вращающего момента установить по табличным значениям сечение ремня.
2. Определить расчетный диаметр (мм) меньшего шкива
по формуле
, где М1 — крутящий момент на быстроходном валу, Н*м; коэффициент С = 38...42 — для клиновых ремней нормального сечения; С = 20 — для узких клиновых ремней. Определить расчетный диаметр большого шкива. Округлить значения dM и d6 до стандартных значений.
3. Уточнить окружную скорость v, угловую скорость ведомого (тихоходного) вала ω2, действительное передаточное отношение и, окружную силу Ft »
4. Определить оптимальное межосевое расстояние а или при заданном межосевом расстоянии определить длину ремня L, округлить ее до стандартного значения и уточнить межосевое расстояние а.
5. Определить угол обхвата а и частоту пробегов П.
6. Определить исходное полезное напряжение K0 по формуле (8.12).
7. Определить по таблице допустимое полезное напряжение [K], задавшись поправочными коэффициентами Кu и Сα.
8. Установить предварительно число ремней z' и, уточнив число ручьев, с учетом коэффициента Сp установить окончательно число ремней z.
9. По формуле ψ = ψ0CαС'р найти рабочий коэффициент тяги, по нему коэффициент т = (1 + ψ) / (1 — ψ). Здесь ψ0 = 0,67 — исходный коэффициент тяги, принятый в стандартном методе расчета; Ср — коэффициент режима работы.
10. Определить натяжение ремня от центробежных сил по формуле (8.4); силы F1 и F2 в ветвях ремней; натяжение ветвей в покое и силу, действующую на валы передачи.
Плоскоременная передача. 1. В зависимости от условий работы и заданной нагрузки выбрать тип ремня.
2. Произвести геометрический расчет передачи. Опре-
делить диаметр малого шкива
диаметр большого шкива d6, угол обхвата а, межосевое расстояние а, длину ремня L. При применении конечных плоских ремней найденную длину до стандартного значения не округлять.
Ещё посмотрите лекцию "8 Приближённые методы поиска экстремальных значений функций нескольких переменных" по этой теме.
3. Задаться толщиной ремня б так, чтобы отношение dM/δ было не меньше величин, приведенных в табл. 8.8.
4. Задаться напряжением σ0 от предварительного натяжения и по формуле (8.16) определить исходное полезное напряжение K0.
5. Установить поправочные коэффициенты Сα, Ср, С0 и Cv.
6. Вычислить допустимое полезное напряжение [K].
7. Определить необходимую ширину ремня b с округлением ее до стандартного значения.
8. Определить силу предварительного натяжения F0 = σ0δb и из выражения (8.9) силу FQ > действующую на вал.























