Тормозные свойства автомобиля
Лекция 11. Тормозные свойства автомобиля
План лекции
11.1. Измерители тормозных свойств
11.2. Уравнение движения при торможении
11.3. Экстренное торможение
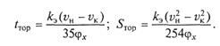
11.4. Время торможения
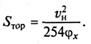
11.5. Тормозной путь
11.6. Коэффициент эффективности торможения
11.7. Остановочный путь и диаграмма торможения
11.8. Служебное торможение
Рекомендуемые материалы
11.9. Распределение тормозных сил по колесам автомобиля
11.10. Торможение автопоезда
11.10. Влияние различных факторов на тормозные свойства
Тормозные свойства имеют важное значение при эксплуатации автомобилей, так как от них во многом зависит безопасность движения. Чем лучше тормозные свойства, тем выше безопасность движения, средняя скорость и производительность автомобиля.
11.1. Измерители тормозных свойств
Измерителями тормозных свойств автомобиля являются замедление при торможении jз м/с2, время торможения tтор, с, и тормозной путь Smp, м. Наиболее важное значение из указанных измерителей имеют замедление и тормозной путь.
Нагрузка на автомобиль оказывает существенное влияние на его тормозные свойства. Поэтому в процессе эксплуатации для проверки эффективности тормозных механизмов в качестве измерителей используют максимально допустимый тормозной путь и минимально допустимое замедление автомобиля без нагрузки и с полной нагрузкой.
Нормативные значения измерителей тормозных свойств автомобиля без нагрузки при торможении на сухой асфальтовой горизонтальной дороге регламентированы правилами дорожного движения.
11.2. Уравнение движения при торможении
Уравнение движения автомобиля выведем для случая торможения на горизонтальной дороге (рис. 11.1). Спроецируем все силы, действующие на автомобиль, на плоскость дороги и получим следующее уравнение движения при торможении:

Замедление при торможении определим из этого уравнения, представив его в следующем виде:


Рис. 11.1. Силы, действующие на автомобиль при торможении откуда

Значение замедления зависит от режима торможения автомобиля. При эксплуатации применяется экстренное (аварийное) и служебное торможение.
11.3. Экстренное торможение
Экстренным называется режим торможения, при котором тормозные силы на колесах автомобиля достигают максимально возможного значения по сцеплению.
При этом колесо находится на грани юза (полного скольжения), но еще катится с некоторым проскальзыванием. Как показали исследования, максимальное значение тормозной силы на колесе достигается при его 15...30%-ном проскальзывании.
Экстренное торможение применяется сравнительно редко и обычно составляет 3...5% общего числа торможений. При экстренном торможении замедление достигает наибольшего значения и на сухом асфальтобетоне составляет 7,5... 8 м/с2. Экстренное торможение очень неприятно для сидящих пассажиров и опасно для стоящих. Оно вызывает повышенный износ шин и тормозных механизмов. При экстренном торможении для увеличения замедления необходимо уменьшить влияние вращающихся масс, поэтому двигатель отключается от трансмиссии при помощи сцепления. Процесс торможения осуществляется только тормозной системой.
При экстренном торможении скорость автомобиля резко падает, поэтому влияние силы сопротивления воздуха незначительно. Уравнение движения автомобиля при экстренном торможении принимает следующий вид:

Так как при экстренном торможении касательные реакции дороги на передних и задних колесах имеют максимально возможные значения по сцеплению, то

С учетом этого выражения для горизонтальной дороги и современных автомобильных дорог, имеющих небольшие уклоны, при экстренном торможении замедление

где φx — коэффициент сцепления колес с дорогой.
Если во время торможения значение коэффициента сцепления колес с дорогой не изменяется, то замедление не зависит от скорости в течение всего периода торможения (рис. 11.2).

Рис. 11.2. Зависимости замедления jз времени торможения tтор,
тормозного Smop остановочного S0 путей автомобиля от скорости движения v
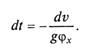
11.4. Время торможения
(Для определения времени торможения представим замедление следующем виде:
oткуда

Проинтегрировав последнее выражение, определим время торможения:

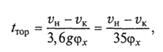
где vH и vK — значения скорости автомобиля соответственно в начале и конце торможения, выраженные в м/с, или

где vН и vK выражены в км/ч.
При торможении автомобиля до полной остановки, когда vK = 0, время торможения

Из этого выражения следует, что время торможения автомобиля связано линейной зависимостью со скоростью (см. рис. 11.2).
11.5. Тормозной путь
Тормозным называется путь, проходимый автомобилем за время полного торможения, в течение которого замедление имеет максимальное значение.
Используя соотношения
, выражение для
dS представим в виде 
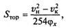
Проинтегрировав это выражение, найдем тормозной путь:

где vН и vK измеряются в м/с, или

где vH и vK измеряются в км/ч.
При торможении до полной остановки

Из этого выражения видно, что тормозной путь автомобиля характеризуется квадратичной зависимостью от скорости. При возрастании начальной скорости тормозной путь быстро увеличивается (см. рис. 11.2).
11.6. Коэффициент эффективности торможения
В приведенных ранее формулах для определения времени торможения и тормозного пути автомобиля не учтен ряд конструктивных и эксплуатационных факторов, существенно влияющих на эффективность торможения. Поэтому в действительности значения времени и пути торможения могут быть на 20...60 % больше рассчитанных по этим формулам.
Для согласования результатов теоретических расчетов с эксплуатационными данными служит коэффициент эффективности торможения кэ. Он учитывает непропорциональность тормозных сил на колесах нагрузкам, приходящимся на колеса, а также износ, регулировку, замасливание и загрязненность тормозных механизмов. Данный коэффициент показывает, во сколько раз действительное замедление автомобиля меньше теоретического, максимально возможного на данной дороге. Значение коэффициента эффективности торможения составляет 1,2 для легковых автомобилей и 1,4... 1,6 — для грузовых автомобилей и автобусов.
С учетом коэффициента эффективности торможения формулы для определения времени торможения и тормозного пути автомобиля преобразуются к следующему виду:

Для случая торможения до полной остановки

где vН и vK выражены в км/ч.
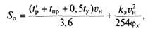
11.7. Остановочный путь и диаграмма торможения
Остановочным называется путь, проходимый автомобилем от момента, когда водитель заметил препятствие, до полной остановки автомобиля.
Остановочный путь больше, чем тормозной, так как он кроме тормозного пути дополнительно включает в себя путь, проходимый автомобилем за время реакции водителя, время срабатывания тормозного привода и увеличения замедления. Остановочный путь

где Sa — дополнительный путь, м, или

где t'p = 0,2... 1,5 с — время реакции водителя, зависящее от его возраста, квалификации, утомляемости и т.д.; tnp — время срабатывания тормозного привода от момента нажатия на тормозную Педаль до начала действия тормозных механизмов, зависящее от конструкции тормозного привода и его технического состояния (составляет 0,2 с для гидравлического, 0,6 с — для пневматического, 1,0 с — для автопоезда с пневмоприводом); ty = 0,2...0,5 с — время увеличения замедления от нуля до максимального значения; vH — скорость автомобиля в начале торможения, км/ч.
Выражение для остановочного пути получено при наличии допущения, что в течение времени увеличения замедления автомобиль движется равнозамедленно и замедление в этом случае составляет 0,5 jmax - Из формулы для остановочного пути следует, что он, как и тормозной путь, характеризуется квадратичной зависимостью от скорости. При увеличении начальной скорости он существенно возрастает (см. рис. 11.2).
Остановочный путь автомобиль проходит за остановочное время

Диаграмма торможения (рис. 11.3) представляет собой график изменения замедления и скорости автомобиля во времени при торможении. Она характеризует интенсивность торможения автомобиля с учетом всех составляющих остановочного времени.

Рис. 11.3. Диаграмма торможения автомобиля
11.8. Служебное торможение
Служебным называется такой режим торможения, при котором тормозные силы на колесах автомобиля не достигают максимально возможного значения по сцеплению.
Служебное торможение является наиболее распространенным режимом торможения. При эксплуатации автомобилей оно составляет 85... 87 % общего числа торможений. Максимальное значение замедления при служебном торможении не превышает 4 м/с2. Торможение с таким замедлением вызывает неприятные ощущения и дискомфорт у пассажиров и применяется в исключительных случаях. Обычно в условиях эксплуатации используется плавное служебное торможение, при котором замедление составляет 1,5... 2,5 м/с2.
При эксплуатации автомобилей применяются различные способы служебного торможения. Оно может осуществляться двигателем, с отсоединенным двигателем, с неотсоединенным двигателем (комбинированное торможение), тормозом-замедлителем (вспомогательным тормозом) и с периодическим прекращением действия тормозной системы.
Торможение двигателем. При торможении этим способом не используются тормозные механизмы колес автомобиля. В этом случае тормозом служит двигатель, который не отсоединяется от трансмиссии, но работает на режиме холостого хода (с уменьшенной подачей горючей смеси) или на компрессорном режиме (без подачи в цилиндры горючей смеси). Ведущие колеса принудительно вращают коленчатый вал двигателя. В результате в двигателе за счет трения возникает сила сопротивления, которая замедляет движение автомобиля.
Торможение двигателем применяют в горных условиях, при движении на длинных затяжных спусках и в тех случаях, когда требуется небольшое замедление. Оно обеспечивает плавное торможение, сохранность колесных тормозных механизмов и устойчивость автомобиля против заноса (благодаря равномерному распределению тормозных сил по колесам). Однако торможение двигателем на режиме холостого хода очень вредно для окружающей среды, загрязняемой отработавшими газами, с которыми на этом режиме выбрасывается большое количество оксидов углерода.
Торможение с отсоединенным двигателем. Торможение осуществляется только тормозными механизмами колес автомобиля без использования двигателя. Двигатель отсоединяют от трансмиссии путем выключения сцепления или установкой нейтральной передачи в коробке передач. Торможение с отсоединенным двигателем — основной способ служебного торможения. Оно чаще всего используется при эксплуатации автомобилей, так как обеспечивает необходимое замедление. Однако торможение с отсоединенным двигателем уменьшает устойчивость автомобиля на дорогах с малым коэффициентом сцепления (скользких, обледенелых и др.).
Торможение с неотсоединенным двигателем. Это комбинированный способ торможения, который осуществляется тормозными механизмами колес совместно с двигателем автомобиля. Перед приведением в действие тормозных механизмов уменьшают подачу горючей смеси в цилиндры двигателя. Угловая скорость коленчатого вала двигателя снижается, чему препятствуют ведущие колеса, принудительно вращающие коленчатый вал через трансмиссию. В результате происходит торможение двигателем, после чего приводятся в действие тормозные механизмы колес. Торможение с неотсоединенным двигателем увеличивает срок службы тормозных механизмов, которые при длительных торможениях с отсоединенным двигателем сильно нагреваются и выходят из строя. Кроме того, оно повышает устойчивость автомобиля против заноса вследствие более равномерного распределения тормозных сил по колесам автомобиля.
Торможение с периодическим прекращением действия тормозной системы. Этот способ торможения обеспечивает наибольший эффект.
При таком способе торможения колеса автомобиля необходимо удерживать на грани юза, не допуская их скольжения. Колесо, катящееся и не скользящее, обеспечивает большую тормозную силу, а при движении колеса юзом его сцепление с дорогой резко уменьшается.
При скольжении колеса в месте контакта шины с дорогой резина протектора нагревается и размягчается. При многократном последовательном нажатии на тормозную педаль и затем частичном отпускании ее с дорогой соприкасаются новые (не нагретые) части протектора шины, вследствие чего сохраняется максимальное сцепление колеса с дорогой. В начале скольжения колес автомобиля усилие, приложенное к тормозной педали, уменьшают. В этом случае колеса перекатываются, и в соприкосновение с дорогой входят новые части протектора шин, которые не участвовали в торможении и в меньшей степени нагреты и размягчены.
Торможение с периодическим прекращением действия тормозной системы рекомендуется выполнять только водителям высокой квалификации, так как для удержания колес автомобиля на грани юза без их скольжения необходимы большой опыт и внимание.
Торможение тормозом-замедлителем. Торможение осуществляют с помощью вспомогательного тормозного механизма, обычно действующего на вал трансмиссии автомобиля (рис. 11.4, б). Этот способ обеспечивает плавное торможение с замедлением 1... 2 м/с2 в течение длительного времени.
Торможение тормозом-замедлителем целесообразно в горных условиях, где при частых торможениях колесные тормозные механизмы быстро нагреваются и выходят из строя. Так, например, торможение автомобиля в горных условиях производится в 8—10 раз чаще, чем в обычных условиях на загородном шоссе.
При торможении тормозом-замедлителем повышается безопасность движения и уменьшается износ тормозных механизмов, шин и двигателя. Тормозами-замедлителями обычно оборудуют грузовые автомобили и автобусы, предназначенные для особых условий эксплуатации (горных и т.п.).

Рис. 11.4. Схемы моторного (а) и электродинамического (б) тормозов-замедлителей:
1 — заслонка; 2 — ротор; 3 — электромагнит
11.9. Распределение тормозных сил по колесам автомобиля
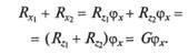
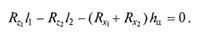
При торможении на горизонтальной дороге (см. рис. 11.1) действие силы инерции Ри, приложенной в центре тяжести, которое характеризуется плечом, равным hц, приводит к перераспределению нагрузки на колеса. При этом нагрузка на передние колеса увеличивается, а на задние уменьшается. Следовательно, нормальные реакции RZ1 и RZ2, воспринимаемые колесами при торможении, значительно отличаются от нагрузок G1 и G2, приходящихся на колеса в статическом состоянии.
Изменение нагрузок на колеса при торможении оценивается коэффициентами изменения реакций, которые для передних и задних колес соответственно равны

Для определения значений тР1 и тР2 найдем сначала нормальные реакции RZ1 и RZ2 при торможении. С этой целью составим уравнение моментов относительно центра тяжести, пренебрегая силой сопротивления воздуха, так как при торможении скорость быстро падает и влияние силы незначительно:

При экстренном торможении на горизонтальной дороге

Тогда уравнение моментов примет вид

Спроецируем все силы на вертикальную плоскость и получим

Решим совместно два последних уравнения и найдем нормальные реакции дороги, действующие на передние и задние колеса при торможении:

Используя полученные выражения для RZi и RZ2 и учитывая, что
находим коэффициенты изменения реакций при торможении для передних и задних колес соответственно:

Как показали исследования, при торможении предельные значения коэффициентов изменения реакций составляют 1,5... 2,0 для передних колес и 0,5...0,7 — для задних.
Наибольшая интенсивность торможения автомобиля достигается при полном использовании сцепления всеми его колесами, что возможно только на дороге с оптимальным коэффициентом сцепления φопт = 0,40...0,45.
На дорогах с другими значениями коэффициента сцепления полное использование сцепления невозможно без блокировки колес одного из мостов. Так, при торможении на дорогах с коэффициентом сцепления, большим оптимального (φх > φопт), первыми будут блокироваться (доводиться до юза) задние колеса, что может вызвать занос и нарушение устойчивости автомобиля. При торможении на дорогах с коэффициентом сцепления, меньшим оптимального (φ, < φопт), в первую очередь будут блокироваться передние колеса, что может привести к нарушению управляемости автомобиля.
Тормозные системы автомобилей часто выполнены так, что между тормозными силами передних и задних колес существует неизменное соотношение. Оно оценивается коэффициентом распределения тормозных сил по колесам

где PT0Pl = RZ1φx — суммарная тормозная сила передних колес;
Ртор = Gφх — тормозная сила автомобиля.
Распределение тормозных сил по колесам автомобиля считается оптимальным, если передние и задние колеса могут быть одновременно заблокированы (доведены до юза). В этом случае коэффициент распределения тормозных сил

Для того чтобы торможение автомобиля в любых дорожных условиях происходило с максимальным замедлением, необходимо, чтобы тормозные силы на его колесах всегда были пропорциональны нагрузкам или нормальным реакциям, приходящимся на колеса:

Такая пропорциональность между тормозными силами и нагрузками на колеса может быть достигнута различными конструктивными мерами, например с помощью регуляторов тормозных
сил, которые изменяют значение тормозной силы на колесах моста в зависимости от нагрузки, приходящейся на мост.
11.10. Торможение автопоезда
Рассмотрим торможение прицепного автопоезда (рис. 11.5) на горизонтальной дороге, пренебрегая силой сопротивления воздуха (Рв = 0), так как ее влияние при небольшой скорости незначительно.
При торможении замедление будет равно:
для автомобиля-тягячя

для прицепа

где Gа и Gпр — вес с полной нагрузкой соответственно автомобиля-тягача и прицепа; mа и тпр — полная масса автомобиля-тягача и прицепа; Рс — максимальная сила тяги на крюке.
С учетом суммарной тормозной силы, которая равна:
для автомобиля-тягача

для прицепа

можно записать

где
— удельная тормозная сила автомобиля-тягача
и прицепа.

Рис. 11.5. Силы, действующие на автопоезд при торможении
Для случая использования сцепного устройства автомобиля с прицепом, не имеющего зазоров, можно считать, что при торможении значения замедления автомобиля-тягача и прицепа равны
(jз = jпр)
Приравняв правые части выражений для замедлений автомобиля-тягача и прицепа, получим

где
— приведенный вес автопоезда с полной нагрузкой.
Из выражения для силы тяги на крюке следует, что при торможении автопоезда характер взаимодействия автомобиля-тягача и прицепа зависит от соотношения между их удельными тормозными силами.
При равенстве удельных тормозных сил автомобиля-тягача и прицепа сила тяги на крюке Рс = 0 и их торможение происходит одновременно. Однако достичь этого в обычных тормозных системах с пневматическим приводом не удается.
Если удельная тормозная сила автомобиля-тягача меньше, чем у прицепа, то сила Рс > 0 и прицеп тормозится с опережением, растягивает автопоезд и исключает его складывание, однако ухудшается эффективность торможения автопоезда. При этом прицеп может сползать вбок и тянуть за собой автопоезд.
Если удельная тормозная сила автомобиля-тягача больше, чем у прицепа, то сила Рс < 0 и прицеп тормозится с запаздыванием, накатывается на автомобиль-тягач, что может вызвать складывание автопоезда и нарушение его устойчивости. Это и наблюдается у современных автопоездов с пневматическим тормозным приводом.
11.10. Влияние различных факторов на тормозные свойства автомобиля
На тормозные свойства автомобиля оказывают влияние различные конструктивные и эксплуатационные факторы. К ним относятся конструкция тормозных механизмов и их техническое состояние, состояние дорожного покрытия и протекторов шин, распределение тормозных сил по колесам автомобиля, применение регуляторов тормозных сил и антиблокировочных систем, способы служебного торможения и др. Рассмотрим влияние указанных факторов на тормозные свойства.
Тормозные механизмы и их техническое состояние. Тормозные свойства автомобиля во многом зависят от типа тормозных механизмов и их технического состояния. В передних и задних колесах грузовых автомобилей и автобусов применяют барабанные тормозные механизмы (рис. 11.6, а). В передних колесах легковых автомобилей используют дисковые тормозные механизмы (рис. 11.6, б), а в задних колесах — барабанные.
При торможении более эффективными являются барабанные тормозные механизмы, а более стабильными — дисковые. Дисковые тормозные механизмы по сравнению с барабанными имеют меньшую массу, более компактны и лучше охлаждаются. Однако у них быстрее изнашиваются фрикционные накладки колодок, и они хуже защищены от загрязнения.
Техническое состояние тормозных механизмов серьезно влияет на эксплуатационные свойства автомобиля. От технического состояния во многом зависит безопасность движения. Так, например, самой распространенной причиной дорожно-транспортных происшествий, возникающих из-за технической неисправности автомобиля, является неудовлетворительное состояние тормозных механизмов (замасливание, загрязнение, износ, нарушение регулировки и др.). Как показывает статистика дорожно-транспортных происшествий, около 15 % общего числа аварий с гибелью людей происходит вследствие неисправности тормозных механизмов.
Дорожное покрытие и протекторы шин. Состояние дорожного покрытия и протекторов шин определяет возможность реализовать создаваемую тормозными механизмами тормозную силу автомобиля, значение которой зависит от силы сцепления колес с дорогой.
Новое дорожное покрытие имеет шероховатую поверхность, и ее микроскопические выступы увеличивают сцепление шин с дорогой. При износе дорожного покрытия микронеровности его поверхности сглаживаются и коэффициент сцепления колес с дорогой уменьшается.

Рис. 11.6. Схемы барабанного (а) и дискового (б) тормозных механизмов: 1, 4 — тормозные колодки; 2 — тормозной барабан; 3 — тормозной диск

Рис. 11.7. Зимний рисунок протектора шины (а) и шипы противоскольжения (б): 1 — сердечник; 2 — корпус
Зимой на заснеженных и обледенелых дорогах коэффициент сцепления существенно снижается, и для его увеличения необходимо использовать шины с зимним рисунком протектора и ошипованные шины (рис. 11.7).
Регуляторы тормозных сил. Наибольшая интенсивность торможения автомобиля достигается при полном использовании сцепления всеми колесами автомобиля, что возможно только при оптимальном распределении тормозных сил по колесам. Поэтому для торможения автомобиля в любых дорожных условиях с максимальным замедлением необходимо, чтобы тормозные силы на колесах автомобиля всегда были пропорциональны нагрузкам на колеса. Это достигается при помощи регулятора тормозных сил, который изменяет значение тормозной силы в зависимости от нагрузки на задний ведущий мост. При этом исключается занос (юз) колес моста, повышаются устойчивость автомобиля и безопасность движения.
Антиблокировочные системы. Такие системы устраняют блокировку колес автомобиля при торможении, регулируют тормозной момент и обеспечивают одновременное торможение всех колес автомобиля. При этом достигается оптимальная эффективность торможения (минимальный тормозной путь) и повышаются устойчивость автомобиля и безопасность его движения.
Эффективность торможения с антиблокировочной системой (АБС) зависит от схемы установки ее элементов. Наиболее эффективной является АБС с отдельным регулированием колес автомобиля (рис. 11.8, а). В этом случае на каждое колесо установлен отдельный датчик 2 угловой скорости, а в тормозном приводе к колесу — отдельный модулятор 3 давления и блок управления 1. Однако такая схема установки АБС наиболее сложная и дорогостоящая.
В более простой схеме установки элементов АБС (рис. 11.8, 6) используются один датчик 2 угловой скорости, установленный на валу карданной передачи, один модулятор 3 давления и один блок управления 1.

Рис. 11.8. Схемы АБС с отдельным (а) и общим (б) регулированием колес:
"14. Рецензия" - тут тоже много полезного для Вас.
1 — блок управления; 2 — датчик; 3 — модулятор давления
Такая схема установки элементов АБС имеет более низкую чувствительность и обеспечивает меньшую эффективность торможения автомобиля.
Применение АБС обеспечивает наибольший эффект на скользкой дороге, когда тормозной путь автомобиля уменьшается на 10... 15 %. На сухой асфальтобетонной дороге такого сокращения тормозного пути автомобиля может и не быть.
Способ торможения. Из различных способов служебного режима торможения автомобиля — торможение двигателем, с отсоединенным двигателем (тормозной системой), совместно с двигателем, тормозом-замедлителем и с периодическим прекращением действия тормозной системы — наиболее эффективным является последний способ.
При торможении с периодическим прекращением действия тормозной системы обеспечиваются наиболее значительные тормозные силы на колесах автомобиля и сохраняется максимальное сцепление колес с дорогой. Однако из-за сложности такого способа торможения его рекомендуется применять только водителям высокой квалификации.























