Нелинейные искажения
§ 4. Нелинейные искажения. КОЭФФИЦИЕНТ ГАРМОНИК
Нелинейными искажениями называют изменения формы кривойсигнала, вызванные нелинейностью характеристик элементов схемы усилителя (транзисторов, ламп, диодов, трансформаторов).
При нелинейных характеристиках нет прямой зависимости между токами и напряжениями, вследствие чего при синусоидальном сигнале на входе выходной сигнал получается несинусоидальным. Чем больше нелинейность используемого участка характеристики, т. е. больше отклонение ее от прямой линии, тем сильнее искажается сигнал.
Появление нелинейных искажений в транзисторных усилителях иллюстрируется графиками рис. 3. При подаче синусоидального напряжения сигнала Uвх на базу транзистора в первый полупериод используется

Рис. 3. Нелинейные искажения: а - из-за нелинейности входной характеристики транзистора; б — из-за неравномерности семейства выходных характеристик
участок входной характеристики РБ, имеющий большую крутизну; поэтому кривая тока базы iBX имеет большую амплитуду. Во второй полупериод используется участок РА, крутизна которого уменьшается с уменьшением напряжения базы; поэтому кривая входного тока получается притуплённой (рис. 3а). Нелинейность входной характеристики —это одна из причин искажений выходного сигнала. Другие причины — нелинейность выходных характеристик, а также неравномерность их расположения при разных токах базы: с увеличением тока базы характеристики ближе друг к другу (рис. 3 б). Из-за этого при синусоидальном входном токе (токе базы) форма кривой выходного тока искажается.
Получающуюся вследствие нелинейных искажений несинусоидальную
кривую выходного сигнала можно разложить на синусоидальные (гармонические) составляющие. При этом первая (основная) гармоника имеет ту же частоту, что и несинусоидальная кривая, т. е. частоту входного сигнала, а остальные — высшие гармоники — имеют частоту в целое число раз больше основной. Например, при подаче на вход синусоидального сигнала с частотой 400 Гц на выходе помимо сигнала с частотой 400 Гц (основная гармоника) появятся колебания с частотой 800 Гц — вторая гармоника, 1200 Гц — третья гармоника и. т. д.
Рекомендуемые материалы
Высшие гармоники можно разделить на четные (вторая, четвертая, шестая и т. д.) и нечетные (третья, пятая, седьмая и т. д.).
В симметрично искаженной кривой, в которой оба полупериода, при наложении друг на друга совпадают, преобладают нечетные гармоники, а в несимметричной —четные (рис. II.5). Наибольшую величину имеет, как правило, вторая или третья гармоника.
В рассмотренном случае появления нелинейных искажений предполагалось, что на вход усилителя подаются синусоидальные колебания одной определенной частоты. Тогда на выходе кроме основного сигнала появляются только высшие гармоники, которые субъективно воспринимаются как изменение тембра, поскольку добавляются к обертонам естественного источника звука и нарушают соотношения между ними и основным тоном.
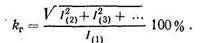
Величина нелинейных искажений в этом случае измеряется коэф
фициентом гармоник kr, который определяется как отношение сум-
марного действующего значения напряжения или тока высших гар-
моник к действующему значению напряжения или тока основной
частоты:


Эти формулы равноценны, т. е. дают одинаковую величину kr, если сопротивление нагрузки для всех гармоник одно и то же, что справедливо только в случае активного характера нагрузки.
В общем случае коэффициент гармоник зависит от отношения суммарной мощности всех высших гармоник к мощности основной частоты:
Нелинейные искажения наиболее велики в мощном оконечном каскаде, где амплитуда сигнала большая и предельно используются характеристики усилительных элементов, а также в выходном трансформаторе.
Рассмотренный наиболее простой случай — усиления синусоидального колебания одной частоты — на практике встречается очень редко. Обычно входной сигнал усилителя звуковой частоты представляет собой сложные колебания, состоящие из множества гармонических
составляющих разных частот.
В этом случае нелинейность элементов усилителя, вызывая искажение формы кривой сигнала, приводит к появлению не только высших гармоник для каждой синусоидальной составляющей, но и к образованию так называемых комбинационных тонов — колебаний с частотами, равными сумме или разности частот этих составляющих или их гармоник.
Например, при двух составляющих с частотами /4 и /2 на входе усилителя нелинейные искажения вызовут появление на выходе, помимо частот сигнала /i и /2> высших гармоник с частотами 2/4, 2/2> 3/i, 3/a, Afu 4/2 и т. д. и комбинационных частот: /t + /2, /t — f2t 2/i + /2. 2/i —/2, ft + 2/2, /j — 2/2 и т. д. Как видно, таких комбинаций может быть множество.
Февральская революция в Кыргызстане - лекция, которая пользуется популярностью у тех, кто читал эту лекцию.
Субъективное восприятие нелинейных искажений определяется главным образом комбинационными частотами. Если высшие гармоники на слух воспринимаются как изменение тембра звука, то комбинационные тона приводят к тому, что звучание теряет свою чистоту» становится хриплым и дребезжащим, отдельные голоса и инструменты плохо различаются при хоровом пении или игре оркестра.
Нелинейные искажения проявляются тем сильнее, чем сложнее сигнал и шире диапазон частот усилителя.
Существуют различные способы измерения комбинационных тонов, однако они все очень сложны и практически редко применяются. Поэтому о нелинейных искажениях судят по величине коэффициента гармоник, тем более, что он позволяет также косвенно судить и о величине комбинационных тонов: при большей нелинейности цепи
амплитуды гармоник и комбинационных тонов увеличиваются примерно в равной степени.
Для первоклассной звуковоспроизводящей аппаратуры коэффициент гармоник усилителя на средних частотах не должен превышать 0,5—1%, для массовой аппаратуры 1—2%.
В заключение подчеркнем, что нелинейные искажения приводят к появлению на выходе совершенно новых колебаний — с частотами, которых не было во входном. сигнале, в то время как линейные искажения только нарушают соотношения между амплитудами и фазами тех составляющих разной частоты, которые содержал сигнал на входе.





















