Электролиз
ЭЛЕКТРОЛИЗ
Электролиз - разложение электротоком.
Электролиз - это процесс, обратный процессу, происходящему при работе гальванических элементов.
Электролизом называется превращение электрической энергии в химическую.
Через электролизёр, содержащий расплав или раствор электролита, проходит постоянный ток от внешнего источника питания. В результате на электродах начинают протекать окислительная и восстановительная реакции.
Существует три вида электролиза:
1. Электролиз расплава
Электроды в данном случае выполнены из пассивных материалов (платина, графит)
.
На катоде всегда происходит восстановление, на аноде - окисление
Рекомендуемые материалы
.
2. Электролиз водного раствора электролита с пассивными электродами
.
К катоду подходят ионы натрия и молекулы воды.
Чтобы выбрать, какое вещество будет восстанавливаться на катоде в первую очередь, надо сравнить потенциалы данных веществ
.
По соотношению потенциалов этих двух веществ вода является более сильным окислителем и восстанавливается в первую очередь.
Катодное восстановление воды:
.
Чтобы выбрать, какое из веществ будет преимущественно окисляться на аноде, надо также сравнить их потенциалы
.
По соотношению потенциалов видно, что ионы хлора являются более сильными восстановителями и, следовательно, будут окисляться в первую очередь.
Анодное окисление хлора:
.
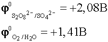
Рассотрим ещё один пример электролиза раствора электролита с пассивными электродами:
.
При таком соотношении потенциалов в первую очередь будет восстанавливаться вода:
.
По соотношению потенциалов на аноде в первую очередь будет окисляться вода.
.
Анодное окисление воды:
.
3. Электролиз раствора с активным анодом
Cu - активный анод, в качестве электролита - водный раствор H2SO4
.
По соотношению потенциалов в первую очередь будут восстанавливаться ионы водорода из кислоты
.
.
На аноде могут окисляться три вещества:
анионы электролита, молекулы воды и сам активный анод.
Информация в лекции "Культура допетровской Руси" поможет Вам.
.
По соотношению потенциалов активный анод будет окисляться в первую очередь:
.
В силу диффузии ионы меди из анодого пространства, где их концентрация высока, будут перемещаться к катоду.
Когда
достигнет катода, то по соотношению потенциалов меди и водорода, начнется восстановление ионов меди:
.























