Уравнения движения вязкой несжимаемой жидкости (Навье-Стокса)
Уравнения движения вязкой несжимаемой жидкости (Навье-Стокса).
Рассмотрим изотермическое движение вязкой несжимаемой жидкости:
,
.
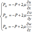
В этом случае нормальные напряжения примут вид:

Уравнения движения получим из уравнения движения среды в напряжениях:

Обратите внимание на лекцию "6.3 Культурологическая теория З.Фрейда".
Отличается от уравнений Эйлера тем, что в правой части появляется дополнительный член, который учитывает влияние сил вязкости.
Полученная система содержит 4 неизвестных
. Для ее замыкания обычно используется уравнение сплошности. Полученная система может быть использована для решения бесконечного количества задач. Для перехода к конкретной задаче и ее решения, задачу необходимо описать с помощью условий однозначности. Условия однозначности состоят из четырех видов:
1) геометрические условия – задается геометрия изучаемой системы (канала и т.д.)
2) физические условия однозначности – задается вид движения жидкости и значения ее основных параметров
.
3) граничные условия – определяют условия течения на границе рассматриваемой системы. Часто в качестве граничных условий используют условия прилипания потока, т.е. скорость потока на поверхности равна 0. Скорость набегающего потока задается
или среднемассовая скорость
или скорость на границе пограничного слоя.
4) Временные или начальные граничные условия задаются только для нестационарных задач и определяют особенности течения потока в начальный момент времени.





















