Потери напора по длине
5.6. Потери напора по длине
При установившемся движении реальной жидкости основные параметры потока: величина средней скорости в живом сечении (v) и величина перепада давления
зависят от физических свойств, движущейся жидкости и от размеров пространства, в котором жидкость движется. В целом, физические свойства жидкости определяются через размерные величины, называемые физическими параметрами жидкости.
Можно установить взаимосвязь между всеми параметрами, от которых зависит движение жидкости. Условно эту зависимость можно записать как некоторую функцию в неявном виде.

где:
- линейные величины, характеризующие трёхмерное
пространство,
- линейная величина, характеризующая состояние стенок канала (шероховатость), величина выступов,
- средняя скорость движения жидкости в живом сечении потока,
- разность давления между начальным и конечном живыми сечениями потока (перепад давления),
Рекомендуемые материалы
- удельный вес жидкости,
- плотность жидкости,
- динамический коэффициент вязкости жидкости,
- поверхностное натяжение жидкости, К - модуль упругости жидкости.
Для установления зависимости воспользуемся выводами так называемой
-теоремы. Суть её заключается в том, что написанную выше зависимость, выраженную в неявном виде, можно представить в виде взаимозависимых безразмерных комплексов. Выберем
три основных параметра с независимыми размерностями
, остальные парамет-
ры выразим через размерности основных параметров.
Эта операция выполняется следующим образом: пусть имеется некоторый параметр i, выразим его размерность через размерности основных параметров; это будет означать:
?
т.е. размерности левой и правой частей равенства должны быть одинаковыми. Тогда можно записать:

Полученные в результате такой операции безразмерные параметры будут называться пи-членами. Эти безразмерные комплексы имеют глубокий физический смысл, они представляют собой критерии подобия различных сил, действующих в тех или иных процессах.
Проделаем такую операцию с некоторыми из параметров.
Параметр А.
i
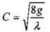
Теперь запишем показательные уравнения по размерностям последовательно в следующем порядке: L (длина), М (масса), и Т (время):

Из этой системы уравнений:
Таким образом, безразмерным
комплексом по этому параметру может быть:
Параметр у.
>* ' откуда получим:

и найдём:
. Таким образом, безразмерным комплексом по
этому параметру может быть:
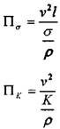
. Эта безразмерная величина называется
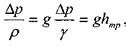
числом Фруда, Fr. Параметр /и.


и найдём:

Полученный безразмерный комплекс называется числом Рейнольдса, Re. Выполняя аналогичные операции с остальными параметрами можно найти:
число Эйлера, число Вебера, We.
число Коши, Са. В итоге получим как результат:

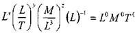
Поскольку, в большинстве случаев силами поверхностного натяжения можно пренебречь, а жидкость считать несжимаемой средой, можно упростить запись предыдущего выражения, решив последнее уравнение относительно Ей:

Считая канал круглой цилиндрической трубой, и принимая
, получим:

Множитель был вынесен за скобки ввиду того, что потери напора по длине пропорциональны длине канала конечных размеров. Далее учитывая, что:
, получим:

Обозначим:
Эту величину принято называть коэффициен-
том сопротивления трения по длине или коэффициентом Дарси. Окончательно для круглых труб, учитывая, что
:

Эта формула носит название формулы Дарси-Вейсбаха и является одной из основных формул гидродинамики.
Коэффициент потерь напора по длине будет равен:

Запишем формулу Дарси-Вейсбаха в виде:

"Действия в горах и лесу" - тут тоже много полезного для Вас.
Величину
называют гидравлическим уклоном, а величину
называ-
ют коэффициентом Шези.

Величина
имеет размерность скорости и носит название динамической
скорости жидкости.
Тогда коэффициент трения (коэффициент Дарси):



















