Вероятность случайного события
Вопрос № 12: Вероятность случайного события:
1. Формула Больцмана.
2. Термодинамическая вероятность состояния системы.
3. Функция распределения вероятности.
4. Условие нормировки.
Больцман доказал, что существуют связи между энтропией и термодинамической вероятностью:
, где к – постоянная Больцмана.
Изометрическая система, предоставленная самой себе, переходит из менее вероятного состояния в более вероятное. Вероятность перехода от порядка к хаосу всё время возрастает.
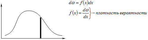
Функция распределения:
От х до x+dx:
Рекомендуемые материалы
dN – число опытов, когда результат лежит в заданном диапазоне значений.
N – общее число опытов.
Люди также интересуются этой лекцией: Общая характеристика психологических особенностей следственной деятельности.
Вероятность зависит от самой величины
и от диапазона.
f(x) – функция распределения вероятности – показывает, как распределяется вероятность на интервале dx в зависимости от величины x.

Условия нормировки:
– вероятность того, что событие вообще произойдёт – достоверность.























