Энергия гармонических колебаний
2020-06-032021-03-09zzyxelСтудИзба
Вопрос № 11: Энергия гармонических колебаний:
1. Энергия:
а) Кинетическая.
б) Потенциальная.
"Контроль отношения испытуемых к эксперименту или обследованию" - тут тоже много полезного для Вас.
в) Полная.
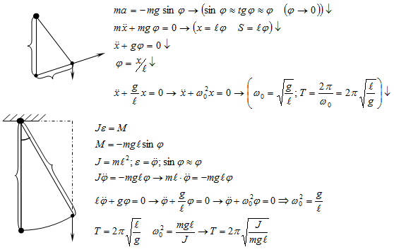
2. Математический маятник (вывод периода колебаний).
Энергия гармонических колебаний:

Математический маятник:






















