Основные кинематические величины
Вопрос № 1: Основные кинематические величины:
1. Система отсчёта.
2. Радиус-вектор.
3. Закон движения.
4. Уравнение траектории.
5. Перемещение.
6. Путь.
7. Вектора средней и мгновенной скорости.
8. Вектора среднего и мгновенного ускорения.
Рекомендуемые материалы
Механика – наука, изучающая простое движение тел в пространстве и во времени.
Система отсчёта – тело, или система тел, считающихся неподвижными, относительно которых рассматривается движение, + часы.
Материальная точка – тело, размерами которого можно пренебречь в условиях данной задачи.
Абсолютно твёрдое тело – тело, форма и размеры которого не изменяются под воздействием других тел. Система жёстко связанных между собой материальных точек.
Кинематика изучает движение тела без выяснения причин, породивших данное движение.
Декартова система координат:
Число степеней свободы – линейное число независимых координат, с помощью которых можно однозначно определить положение тела в пространстве. 
Положение материальной точки в пространстве удобно определять при помощи радиус-вектора. Он определяется проекциями на соответствующие оси. xi(-) + yj(-) + zk(-) = r(-).
![]() |
Закон движения – это зависимость r(-)(t) = x(t)i(-) + y(t)j(-) + z(t)k(-)
![]() |
Траектория – линия, которую описывает материальная точка при движении в пространстве.
Пример:
В уравнении траектории не должно быть параметра времени – это строгая зависимость одной координаты от другой.
Путь, перемещение:
Путь – длина траектории.

Перемещение – расстояние между началом и концом пути. Кратчайшее расстояние от начала до конца.
Путь неравен перемещению, если только не рассматривается прямолинейное движение в одном направлении (в одну сторону).
Среднепутевая скорость и её вектор:
Vср – это весь путь за всё время.
4 Приложения тройного интеграла - лекция, которая пользуется популярностью у тех, кто читал эту лекцию.
Вектор мгновенной скорости – это первая производная от пути по времени.

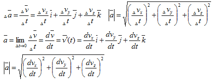
Вектора среднего и мгновенного ускорения:
Средним ускорением неравномерного движения в интервале времени от t до Δt называется вектор, равный отношению вектора изменения скорости к промежутку времени: 
Мгновенным ускорением точки в определённый момент времени называют векторную величину, равную пределу, к которому стремиться среднее ускорение этой точки в промежуток времени от t до Δt при Δt à 0: 
























