Часть 3
Ацетил Co-A вступает в циклический биохимический процесс, называющийся циклом Кребса. Он назван так по имени Ганса Кребса, описавшего его в 1937 г., за что он впоследствии получил Нобелевскую премию. Цикл представляет собой 10 последовательных химических реакций, в ходе которых 10 органических кислот последовательно преобразуются одна в другую. В одном месте в этот цикл входит уже знакомый нам ацетил-соА, который отдает свою ацетильную группу оксалоацетету (щавелевоуксусной кислоте), в результате чего образуется цитрат (лимонная кислота). Если первая молекула содержала четыре атома углерода, то вторая соответственно содержит уже шесть (в ацетильной группе имеется два углерода). Три из них находятся в карбоксильных группах, а три составляют остов молекулы – такие кислоты называют трикарбоновыми.
Вот схема цикла Кребса.

Она хороша всем кроме двух моментов. Цикл Кребса представляет собой замкнутая цепь последовательных взаимопревращений десяти разных молекул, а на этой схеме показано только восемь - там, где вдоль стрелок показано слишком много побочных реакций - восстановление коферментов и отщепление СО2, на самом деле происходят две реакции с еще одним посредником. Второе - показано, что идет фосфорилирование АДФ с образованием АТФ, тогда как на самом деле там фосфорилируется ГДФ с образованием ГТФ. Полная и правильная схема представлена в развернутой форме:

В ходе последовательных превращений всех этих кислот происходят события нескольких типов:
– кислоты теряют два атома углерода за счет образования двух молекул углекислого газа;
– кислоты присоединяют две молекулы воды;
– излишки водорода уходят на восстановление трех молекул НАД+ до НАД-H, а также на восстановление еще одного кофермента – флавинадениндинуклеотида (ФАД) до ФАД-Н2;
Рекомендуемые материалы

– образуется одна молекула гуанозинтрифосфата (ГТФ) из ГДФ. Это полностью эквивалентно образованию АТФ, так как ГТФ и АТФ находятся в химическом равновесии.
Цикл Кребса замыкается, когда в конце концов мы приходим к тому же оксалоацетату с его четырьмя атомами углерода, к которому может снова присоединяется ацетильная группа от ацетил-соА.
Все вещества цикла Кребса – и кислоты, и катализирующие реакции ферменты – находятся в одном и том же растворе внутри митохондрий (только один из ферментов иммобилизован на мембране – именно тот, который катализирует реакцию с образованием ГТФ), поэтому цикл не имеет пространственного содержания – это просто последовательность превращений веществ. Он играет центральную роль в метаболизме клетки, так как участвующие в нем вещества являются промежуточными веществами многих метаболических процессов. Этот цикл задействован в расщеплении и синтезе углеводов, в расщеплении и синтезе жирных кислот, в расщеплении и синтезе многих аминокислот, в синтезе азотистых оснований нуклеотидов и других важных веществ.
Три из тех 10 кислот, которые циклически преобразуются одна в другую в цикле Кребса, вам могут быть известны. Это лимонная, янтарная и яблочная кислоты. Фирменные составы для подкрепления спортсменов содержат не только глюкозу, но и лимонную кислоту. Это делается для того, чтобы не просто провести вливание энергии, но и стимулировать весь цикл Кребса. Янтарная кислота сейчас активно рекламируется как лекарство, которое помогает чуть ли не от всего, в том числе укрепляет иммунитет. Однако мы убедились, что это вещество всегда (по крайней мере, пока мы дышим) присутствует в митохондриях и находится в химическом равновесии с лимонной кислотой.
Как мы видели, в ходе образования ацетил-соА и цикла Кребса образуется всего одна молекула нуклеотидтрифосфата (ГТФ, что так же хорошо, как АТФ), хотя мы истратили все три атома углерода. Основной товар, добытый в ходе этой сложной коммерческой махинации, идущей через множество посредников, свободно блуждающих во внутреннем пространстве митохондрии как брокеры на бирже, состоит в восстановленных коферментах. Давайте теперь продадим их за нашу любимую валюту – АТФ. Для этого нам следует обратиться в фирму под названием «Цепь переноса электронов».
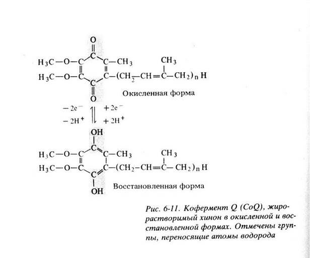
В отличие от цикла Кребса, у этой фирмы есть свое производственное помещение, впрочем, плавучее. Процесс, который будет иметь место, осуществляется тремя агрегатами определенных белков, расположенных на внутренней мембране митохондрии. На всякий случай поясним, что таких индивидуальных аггрегатов очень много (5–20 тыс. на митохондрию, причем три их типа не находятся в стехиометрических соотношениях); каждый из них представляет собой работоспособный цех. Поскольку мембрана полужидкая (в дальнейшем мы рассмотрим ее свойства подробнее), белковые агрегаты словно плавают по мембране словно баржи, при столкновении передавая друг другу электрон вместе с одним из подвижных веществ – в одном случае с убихиноном (небольшую молекулу, включающую ароматическое кольцо), в другом – с цитохромом с (о цитохромах – немного позже). Сам же процесс, который происходит в результате переноса электронов, называется окислительным фосфорилированием.
Работа цепи переноса электронов начинается с того, что молекула НАД-H отдает два электрона ферменту НАД-Н-оксидазе, превращаясь в окисленную форму НАД+. Образующийся при этом вротон при уходит в раствор во внешнее пространство митохондрии. НАД-оксидаза – это первый из названных белковых агрегатов. Эти два электрона передаются за счет сопряженных окислительно-восстановительных реакций по цепочке белков. В этой системе участвует еще два кофермента: специальный нуклеотид - флавинмононуклеотид и убихинон - молекула, включающая ароматическое кольцо

Обратите внимание на лекцию "8. Действие персонала при обнаружении разливов нефтепродуктов".
Белки в цепи переноса электронов содержат атом железа, который в ходе переноса электронов меняет степень окисления с +3 на +2 и обратно. За исключением одного из этих белков (ферродоксин), в котором атом железа соединен с серой, во всех остальных атом железа находится в уже знакомом нам по молекуле гемоглобина геме. Гем – это порфириновое кольцо – ажурная и почти симметричная органическая молекула с системой сопряженных двойных связей и четырьмя атомами азота, которая образует комплекс с атомом железа.

Белки, содержащие гем, в данном случае называются цитохромы (название происходит от греческого «хромос» – цвет, так как гем имеет окраску). Последний из цитохромов при помощи фермента цитохромоксидазы (они входят в состав третьего белкового агрегата) отдает электроны молекуле кислорода (мы помним, что гем способен связывать кислород), в результате чего образуется ион О2-. Соединяясь с протонами, этот ион образует молекулу воды. (При этом восстанавливается баланс по водороду. Мы помним, что протоны образовывались при окислении НАД-Н и ФАД-Н2, которые в свою очередь получали водород из органических веществ в цикле Кребса.) )
Таким образом, именно в результате переноса электронов в процессе клеточного дыхания расходуется кислород и образуется вода.

Зачем же все это нужно, спросите вы? Цепь переноса электронов устроена таким образом, что перенос по ней каждого электрона сопровождается переносом протонов через внутреннюю митохондриальную мембрану из внутреннего пространства митохондрии в наружное (относительно внутренней мембраны митохондрии). Также наружу выделяется протон, образующийся при окислении НАД-Н. Эти процессы идет против градиента концентрации ионов водорода и соответственно против электростатической силы и требует затрат энергии, которую по мере своего продвижения и отдает электрон. В результате внутри и снаружи внутренней мембраны митохондрии образуется разность рН (т. е. концентрации протонов), а на двух поверхностях мембраны – разность электрических потенциалов – внутренняя поверхность мембраны заряжается отрицательно, а наружная – положительно. Собственно, ради этого только и задействована столь сложная биохимия.























