Часть 2
Катаболизм пуриновых нуклеотидов
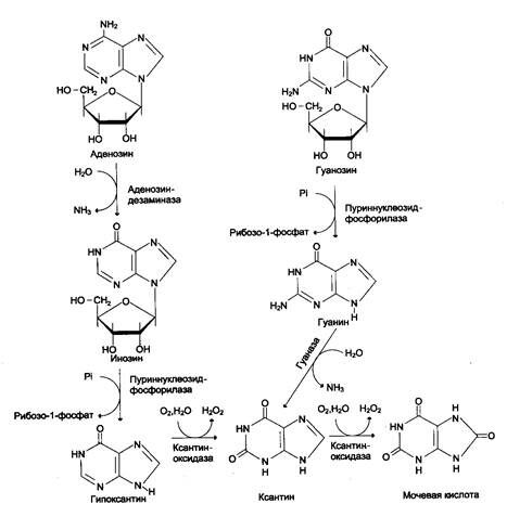
У человека основным продуктом катаболизма пуриновых нуклеотидов является мочевая кислота (рис.5.). Её образование идет путем гидролитического отщепления фосфатного остатка от нуклеотидов с помощью нуклеотидаз или фосфатаз, фосфоролиза N-гликозидной связи нуклеотидов пуриннуклеозидфосфорилазой, последующего дезаминирования азотисных оснований.
От АМФ и аденозина аминогруппа удаляется гидролитически аденозиндезаминазой с образованием ИМФ или инозина. ИМФ и ГМФ превращяются в соответствующие нуклеозиды: инозин и гуанозин под действием 5’-нуклеотидазы. Пуриннуклеозидфосфорилаза катализирует расщепление N-гликозидной связи в инозине и гуанозине с образованием рибозо-1-фосфата и азотистых оснований : гуанина и гипоксантина. Гуанин дезаминируется и превращяется в ксантин, а гипоксантин окисляется в ксантин с помощью ксантиноксидазы, которая катализирует и дальнейшее окисление ксантина в мочевую кислоту.
Ксантиноксидаза – аэробная оксидоредуктаза, простетическая группа которой включает ион молибдена, железа (Fе3+) и ФАД+. Подобно другим оксидазам, она окисляет пурины молекулярным кислородом с образованием пероксида водорода. В значительных количествах фермент обраруживается только в печени и кишечнике.

Рис. 5. Катаболизм пуриновых нуклеотидов до мочевой кислоты.
Мочевая кислота удаляется из организма с мочой и немного через кишечник. У всех млекопитающие кроме приматов и человека имеется фермент уриказа, расщепляющая мочевую кислоту с образованием аллантоина, хорошо растворимого в воде.
Амфибии, птицы и рептилии, подобно человеку лишены уриказы и экскретируют мочевую кислоту и гуанин в качестве конечных продуктов обмена.
В сыворотке крови у человека в норме содержание мочевой кислоты составляет 0,15 – 0,47 ммоль/л или 3-7 мг/дл. Ежесуточно из организма выводится от 0,4 до 0,6 г мочевой кислоты и уратов.
Рекомендуемые материалы
Биосинтез пиримидиновых нуклеотидов
Фонд пиримидиновых нуклеотидов в основном синтезируется de novo из простых предшественников и только 10-20% от общего количества образуется по «запасным» путям из азотистых оснований или нуклеотидов.
Пиримидиновое кольцо синтезируется de novo из простых предшественников: глутамина, СО2 и аспарагиновой кислоты и затем связывается с рибозо-5-фосфатом, полученным от ФРПФ.
Процесс протекает в цитозоле клетки. Синтез ключевого пиримидинового нуклеотида – УМФ идет с участием 3 ферментов, два из которых полифункциональны.
У млекопитающих ключевой, регуляторной реакцией в синтезе пиримидиновых нуклеотидов является синтез карбамоилфосфата из глутамина, СО2 и АТФ, в реакции катализируемой карбамоилфосфатсинтетазой II (КФС II), которая протекает в цитозоле клетки. В реакции NН2-группа карбамоилфосфата образуется за счет амидной группы глутамина, что отличает эту реакцию от реакции синтеза карбамоилфосфата в митохондриях в процессе синтеза мочевины из СО2, NH3 и АТФ с участием КФС I.

Рис.6. Синтез карбамоилфосфата.
Карбамоилфосфат, использующийся на образование пиримидиновых нуклеотидов, является продуктом полифункционального фермента, который наряду с активностью КФС II содержит каталитические центры аспартаттранскарбамоилазы и дигидрооротазы. Этот фермент назвали «КАД-фермент» - по начальным буквам ферментативных активностей, которыми обладают отдельные каталитические домены этого белка
Объединение первых трех ферментов метаболического пути в единый полифункциональный комплекс позволяет использовать почти весь синтезированный в первой реакции карбамоилфосфат на взаимодействием с аспартатом и образованием карбамоиласпартата, от которого отщепляется вода и образуется циклический продукт – дигидрооратат.Отщепляясь от КАД-фермента, дигидрооратат подвергается дегидрированию NAD-зависимой дигидроорататдегидрогеназой и превращяется в свободное пиримидиновое основание – оротовую кислоту или оратат.
Образование УМФ
В цитозоле, оротат становится субстратом бифункционального фермента – УМФ-синтетазы, которая обнаруживает оротатфосфорибозилтрансферазную и ОМФ-декарбоксилазную активности.
Первоначально фосфорибозильный остаток от ФРПФ переносится на оротат и образуется нуклеотид – оротидин-5-монофосфат (ОМФ), декарбоксилирование которого даёт уридин-5-монофосфат (УМФ)Таким образом, шесть последовательных реакций синтеза пиримидиновых нуклеотидов осуществляются тремя ферментами,которые кодируются в геноме человека тремя различными структурными генами.
Биосинтез УДФ, УТФ и цитидиловых нуклеотидов
УМФ под действием специфических нуклеозидмонофосфатов (НМФ) и нуклеизиддифосфатов (НДФ) киназ превращяется в УДФ и УТФ в результате переноса γ-фосфатного остатка АТФ на соответствующий субстрат.
НМФ-киназа катализирует соответствующую реакцию:
УМФ + АТФ → УДФ + АДФ,
а НДФ-киназа УДФ + АТФ → УТФ + АДФ.
Рис.7. Биосинтез УМФ de novo.
ЦТФ-синтетаза катализирует амидирование УДФ, осуществляя АТФ-зависимое замещение кетогруппы урацила на амидную группу глутамина с образованием цитидин-5/-трифосфата ( ЦТФ).
«Запасные» пути синтеза пиримидиновых нуклеотидов
Использование примидиновых оснований и нуклеозидов в реакциях реутилизации препятствует катаболизму этих соединений до конечных продуктов с расщеплением пиримидинового кольца.
В ресинтезе пиримидинов участвуют некоторые ферменты катаболизма нуклеотидов.Так, уридинфосфорилаза в обратимой реакции может рибозилировать урацил с образованием уридина. Превращение нуклеозидов в нуклеотиды катализирует уридин-цитидинкиназа.
Часть ЦМФ может превращятся в УМФ под действием цитидиндезаминазы и пополнять запасы уридиловых нуклеотидов.

Рис.8. Синтез ЦТФ из УТФ.
Регуляция синтеза пиримидиновых нуклеотидов
Регуляторным ферментом в синтезе пиримидиновых нуклеотидов является полифункциональный КАД-фермент. УМФ и пуриновые нуклеотиды аллостерически ингибируют, а ФРПФ активирует его карбамоилсинтетазную активность аспартаттранскарбамоилсинтетазную активность, тогда как активность аспартаттранскарбамоилазного домена ингибирует ЦТФ, но активирует АТФ.
Этот способ регуляции позволяет предотвратить избыточный синтез не только УМФ, но и всех других пиримидиновых нуклеотидов и обеспечить сбалансированное образование всех четырех основных пуриновых и пиримидиновых нуклеотидов, необходимых для синтеза РНК.

Рис.9. Регуляция синтеза пиримидиновых нуклеотидов.
Катаболизм пиримидиновых нуклеотидов
Уже отмечалось, что цитидиловые нуклеотиды могут гидролитически терять аминогруппу и превращяться в УМФ. Когда от УМФ при участии нуклетидазы или ( фосфатазы ) и уридинфосфарилазы отщепляется неорганический фосфат и рибоза, то остается азотистое основание – урацил. Аналогично распределяются дезоксирибонуклеотиды, и из dЦМФ образуется урацил, а из dТМФ – тимин.
"Воспалительные заболевания селезенки" - тут тоже много полезного для Вас.
Пиримидиновые основания при участии дигидропиримидиндегидрогеназы присоединяют 2 атома водорода по двойной связи кольца с образованием дигидроурацила или дигидротимина. Оба гетероцикла могут взаимодействовать с водой в реакции, катализируемой дигидропиримидинциклогидролазой, и дигидроурацил превращяется в β-уреидоизопропионовую кислоту, а дигидротимин - в β- уреидоизомасляную кислоту. Оба β-уреидопроизводных под действием общего для них фермента уреидопропионазы расщепляются с образованием СО2, NH4+ и β-аланина или β-аминоизомасляной кислоты.соответственно.

Рис.10. Катаболизм пиримидиновых оснований. 1- дигидропиримидиндегидрогеназа; 2- дигидропиримидинциклогидролаза; 3 – уреидопропеоназа.
β-аланин обнаруживают в плазме крови и многих тканях. Он используется в мышцах на образование дипептидов: карнозина и анзерина. Под действием бактериальной микрофлоры кишечника β-аланин включается в пантотеновую кислоту, которая всасывается и используется на образование КоА.
Часть β-аланина и β-аминбутирата трансаминируется с α-кетоглутаратом и даёт малонил полуальдегтд или метилмалонил полуальдегид соответственно, которые превращяются в малонил-КоА и сукцинил-КоА и используются в соотвутствующих метаболических путях, либо окисляется до СО2 и Н2О. Частично β-аминобутират экскретируется с мочой.






















