Часть 1
ЛЕКЦИЯ
АНАБОЛИЗМ И КАТАБОЛИЗМ ПУРИНОВЫХ И ПИРИМИДИНОВЫХ НУКЛЕОТИДОВ
Переваривание нуклеиновых кислот начинается в желудке, где под действием желудочного сока происходит отщепление белковых компонентов от нуклеопротеинов (рис.1.).
ДНК-азы и РНК-азы панкриотического сока, являясь эндонуклеазами, гидролизуют макромолекулы до олигонуклеотидов. Последние, под действием фосфоэстераз, расщепляются до смеси 3’- и 5’-мононуклеотидов. Нуклеотидазы и неспецифические фосфатазы гидролитически отщепляют фосфатные остатки нуклеотидов, превращая их в нуклеозиды. Нуклеозиды либо всасываются клетками тонкого кишечника, либо расщепляются нуклеозидфосфорилазами кишечника с образованием рибозо- или дезоксирибозо-1-фосфатов, пуриновых и пиримидиновых оснований.
Как правило, образовавшиеся пурины и пиримидины очень мало используются для синтеза нуклеиновых кислот и в энтероцитах под действием активной ксантиноксидазы превращяют пуриновые основания в мочевую кислоту, которая в дальнейшем выводятся из организма с мочой. Пиримидины под действием микрофлоры кишечника расщепляются до NН3, СО2, β-аланина и β-аминоизобутирата.
Различные клетки организма синтезируют до 90% пуриновых и пиримидиновых нуклеотидов de novo.
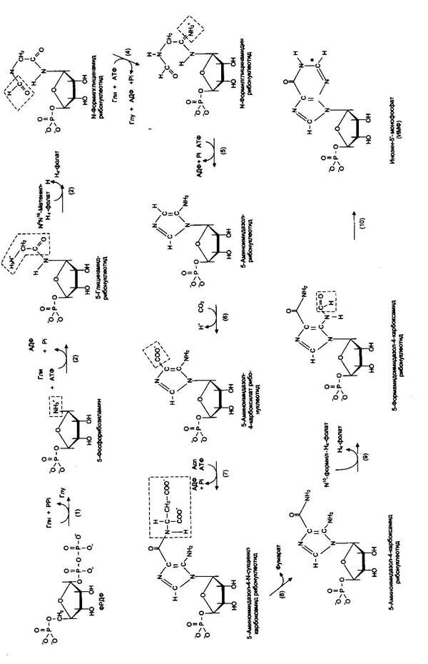
Синтез пуриновых нуклеотидов de novo
Было установлено, что в формировании пуринового кольца принимают участие аминокислоты: аспарагиновая, глутаминовая и глицин, СО2 и два одноуглеродных производных тетрагидрофолата (N1-аспартат, С2–N10-формил-Н4-фолат, N3 и N9-амидный азот глутамина, N7, С4 и С5–глицин, С6-СО2, С8-N5,N10-метенил-Н4-фолат).

Рекомендуемые материалы
Рис. 1. Переваривание нуклеиновых кислот в пище.


Общим предшественником синтеза всех пуриновых нуклеотидов является инозин-5-монофосфат (ИМФ), содержащий в качестве азотистого основания гипоксантин.
Первая реакция синтеза ИМФ требует наличия ФРПФ-фосфорибозилтрифосфата, который занимает центральное место не только в анаболизме пуринов, но необходим при синтезе пиримидинов (рис.2.).
Он образуется за счет переноса β,γ-пирофосфатного остатка АТФ на рибозил-5-фосфат, в реакции катализируемой ФРПФ-синтетазой.
Источником рибозил-5-фосфата может быть пентозофосфатный путь превращения глюкозы или катаболизма нуклеотидов, в ходе которого под действием нуклеозидфосфорилазы первоначально образуется рибозо-1-фосфат, а затем под действием соответствующей мутазы фосфорный остаток переносит в 5-положение.
Анаболический путь синтеза ИМФ заканчивается образованием гипоксантина. Этот путь значительно более сложный, чем путь синтеза пиримидиновых оснований.

Рис.3.Синтез АМФ и ГМФ из ИМФ. 1- аденилосукцинатсинтетаза; 2- аденилосукциназа; 3- ИМФ-дегидрогеназа, 4 –ГМФ-синтетаза.
Синтез пуриновых оснований через образование ИМФ требует затраты значительного количества энергии в форме АТФ. Так, на синтез циклической структуры пуринов затрачивается 5 молекул АТФ на каждую молекулу АМФ или ГМФ. ИМФ в основном используется для синтеза АМФ или ГМФ. Небольшое количество этого продукта обнаруживается также в т-РНК в качестве одного из минорных оснований (рис.3.).
Известен другой путь образования пула пуриновых оснований – путь реутилизации пуриновых оснований, образовавшихся в процессе распада эндогенных или экзогенных нуклеотидов. Очевидно, эти реакции можно рассматривать как «сберегающие», использующие пуриновые кольца до их превращения в ксантин и затем в мочевую кислоту перед экскрецией.
Регуляция синтеза пуриновых оснований связана с концентрацией ФРПФ, которая, в свою очередь, зависит от скорости его синтеза, утилизации и разрушения (рис.4.).
Количество ФРПФ определяется наличием рибозо-5-фосфата и активностью ФРПФ-синтетазы - фермента чувствительного к концентрации фосфатов и пуриновых нуклеотидов.
Внутриклеточная концентрация ФРПФ строго регулируется и обычно мала. ФРПФ-синтетаза является аллостерическим ферментом и активируется неорганическим фосфором и ингибируется пуриновыми нуклеозид-моно-, ди- и трифосфатами, при этом эффективность ингибирования распределяется в следующем порядке: НМФ>НДФ>НТФ.
ФРПФ служит не только субстратом, но и аллостерическим активатором второй реакции синтеза пуринонуклеотидов de novo, которую катализирует амидофосфорибозилтрансфераза.
Пуриновые нуклеотиды, особенно АМФ и ГМФ, по механизму отрицательной обратной связи ингибируют амидофосфорибозилтрансферазу, которая катализирует первую специфическую реакцию синтеза пуриновых оснований de novo.
Люди также интересуются этой лекцией: Требования к расположению оборудования ГРП.
Метаболическая цепь образования АМФ и ГМФ de novo регулируется в месте её разветвления: АМФ ингибирует аденилосукцинатсинтетазу, а ГМФ-
реакцию образования ксантиловой кислоты, которую катализирует ИМФ дегидрогеназа.
Перекрёстная регуляция путей использования ИМФ служит для того,чтобы снизить синтез одного пуринового нуклеотида при дефиците другого.
Помимо ферментов основного пути синтеза пуриновых нуклеотидов de novo, регулируется также активность ферментов «запасных» путей: аденинфосфорибозилтрансфераза ингибируется АМФ, а гипоксантин-гуанинрибозилтрансфераза – ИМФ и ГМФ.

Рис.4. Регуляция синтеза пуриновых нуклеотидов. 1- ФРПВ-синтетаза; 2 – амидофосфорибозилтрансфераза; 3 – ИМФ-дегидрогеназа; 4- аденилосукцинатсинтетаза.




















